3.6.1 正交矩阵的定义和性质
定义3.6.1 如果n阶方阵A满足ATA=E,则称A为正交矩阵.
正交矩阵有下述性质.
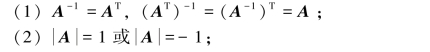
设A为正交矩阵,则有

(3)若A,B都是正交矩阵,则AB也是正交矩阵.
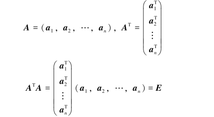
设A为正交矩阵,a1,a2,…,an为矩阵A的n个列向量,则

即

反之亦然.于是,得到如下定理.
定理3.6.1 方阵A为正交矩阵的充分必要条件是A的列(或行)向量是单位向量,且两两正交.
因ATA=E与AAT=E等价,所以上述定理对A的行向量也成立.
n阶正交矩阵A的n个列向量或A的n个行向量都是正交向量组,且必线性无关.