3.5.3 施密特正交化方法

定理3.5.2(施密特正交化方法) 从线性无关的向量组a1,a2,…,ar出发,用构造性方法求出一个正交向量组b1,b2,…,br,再将b1,b2,…,br单位化,即可得到规范正交向量组η1,η2,…,ηr,此规范正交向量组η1,η2,…,ηr与a1,a2,…,ar等价.
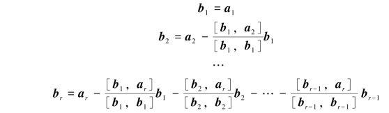
施密特正交化过程:令

可以证明b1,b2,…,br两两正交,且b1,b2,…,br与a1,a2,…,ar等价.
取

η1,η2,…,ηr就是规范正交向量组,且η1,η2,…,ηr与a1,a2,…,ar等价.
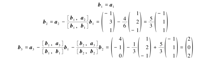
例3.5.2 设

试用施密特正交化方法把这组向量规范正交化.
解 取

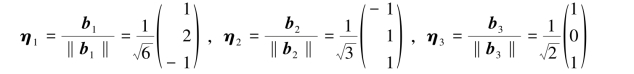
再将b1,b2,b3单位化,取

η1,η2,η3即为所求.