评价指标体系稳定性检验

四、评价指标体系稳定性检验

为验证确立的分级诊疗绩效评价指标体系的稳定性,运用CRITIC法和熵权法对样本数据进行权重计算,并计算各样本的评价得分值,对两种方法的总得分的排名采用符号秩检验。

(一)…CRITIC法

1.数据归一化处理

将数据标准化:使用极差变换法对数据进行处理,使正、逆向指标均化为正向指标,取值在0-1之间,最优值为1,最劣值为0。

对于正向指标:

对于逆向指标:

式中xij表示第个样本的第j项指标的值,yij表示无量纲化处理后的数值,i=1,…,n,j=1,…,p。

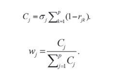
2.权重值计算

指标权重的确定:CRITIC法综合考虑了指标变异大小对权重的影响及各指标之间的冲突性:由标准差体现指标对比强度,由相关系数体现指标冲突程度。

式中,Cj表示第j个评价指标对体系的影响程度;为第个评价指标的标准差,表示第j项指标与其他指标之间的对比强度;为rjk评价指标和之间的相关系数,表示第j个指标和其他指标之间的冲突性。因此,Cj越大,说明该指标包含信息量越多,权重就越大。上式中,Wj表示第j个指标的客观权重。

3.综合得分计算

在计算出以上权重的基础上,对归一化后的数据进行加权平均,可得各样本的综合得分,公式如下:

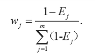
(二)熵权法

在信息统计中,熵权法通常被用于作为确定权重的一种方法,熵权法是一种客观赋权方法,能更客观、真实地反映出变量对评价结果的影响。主要包括以下4个步骤:

1.数据归一化处理

(同“8.1.4.1 CRITIC法”中的步骤(1)。)

2.计算信息熵

根据归一化结果,计算信息熵。

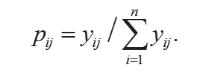
第i个对象第j个指标下比重pij的计算公式为:

各指标信息熵Ej的计算公式为:

如果pij=0,则定义

3.各指标权重wj

各指标权重Wj的计算公式为:

4.计算各对象的综合得分Zi

(三)符号秩检验法

Wilcoxon符号秩检验是检验两配对样本所来自的总体的分布是否存在显著差异的非参数方法,假设各个样本的排名比较接近,那么两种方法下的排名分布应该是比较接近的,用这个方法则可以检验出两种方法下的排名分布是否存在显著性差异,基本思路和步骤如下。

首先,将各个指标CRITIC法所得的排名减去熵权法所得的排名,按两种方法排名之差的绝对值| di |大小,从小到大进行排列,并赋予相应的秩次。出现差值项0,就略去该项,不给秩次,并相应减少样本量n;出现差值相同的项,取平均秩,用秩次的算术平均数来代替原来的秩次。

假设各差值之间独立同分布,并同为关于点θ对称的分布,则检验两总体分布是否有差异的问题就可以转化为检验对称中心θ是否等于0的问题,由此建立如下原假设:

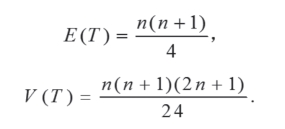
假设在差数总体D中,正差和负差个数相同,且在均值0的两侧对称分布。也就是表明,总体X和总体Y没有差异。两个秩中较小的一个,通常作为威尔科克森T统计量,将其作为检验统计量。在原假设成立的前提下,T统计量的数学期望和方差分别为:

当n≥25时(n是正负号的总数,不包括差值项为0的个数),T统计量近似服从正态分布。可构造Z统计量:

根据标准正态分布概率分布表或使用统计软件得出P值或者T临界值。

(四)稳定性检验

基于已有的数据,利用Minitab软件分别进行符号秩和检验,可得P值为0.625,没有充分的理由拒绝原假设,因此可以认为两种方法计算的权重值无明显差异,从而认定本评价指标体系客观且稳定。如表8-2所示。

表8-2 CRITIC法和熵权法计算的各样本评价值及其排名

续表