基于障碍度模型的分级诊疗绩效核心指标分析
2025年10月13日
一、基于障碍度模型的分级诊疗绩效核心指标分析
障碍因素的诊断综合考虑了指标偏离度和因子贡献度,指标偏离度是指离理想值的偏离度,因子贡献度即考虑权重的情况,因此障碍因素的分析讲究的是效率,可以从根本上发现福建省分级诊疗制度整体上在哪方面哪项指标上是薄弱环节。
(一)障碍度模型计算方法
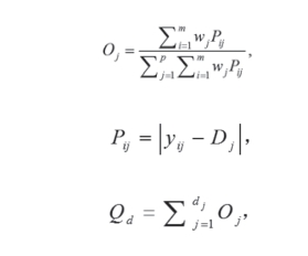
其中,wj是指CRITIC得到的每个三级指标权重,yij为各三级指标准化后的值,Pij为每个yij和正理想值之间差值的绝对值,Dj为每个二级指标理想值(这里根据归一化方法可知,均为1),Oj为第j个三级指标的障碍度(数值越大,表明阻碍作用越大),Qd表示各二级指标的障碍度,dj表示各二级指标所包含的三级指标个数,同理,一级指标的障碍度等于其所包含的二级指障碍度相加得到。
(二)计算结果
运用障碍度模型计算方法,计算得出分级诊疗绩效评价各二级和三级指标的障碍度,如表9-4和表9-5。
表9-4 分级诊疗绩效评价各二级指标的障碍度及其排序
表9-5 分级诊疗绩效评价各三级指标的障碍度及其排序
续表
由表9-4和表9-5可得,二级指标障碍度从大到小依次为:分级诊疗资源配置(47.89%)>分级诊疗实施效果(36.60%)>分级诊疗管理制度建设(17.51%),三级指标障碍度从大到小排名前三位的为:医院每百名卫生技术人员到基层指导的人次数(5.54%)>每百名卫生技术人员医院和基层合作开展的新技术新项目数(5.50%)>上下转诊人次占比(5.37%)。