1.2.4 复数的运算性质
2026年01月14日
1.2.4 复数的运算性质
以上我们介绍了复数的共轭复数、复数的模以及四则运算,下面我们列出这些运算所具有的性质,这些性质很容易由定义、几何意义及运算法则得出.
(1) 设z =x+iy,由(图1-1),我们有不等式
|x|≤|z|,|y|≤|z|,|z|≤|x|+|y|,
-|z|≤Rez ≤|z|,-|z|≤Imz ≤|z|.
(2) 根据三角形两边之和大于第三边(图1-2),我们可推出复数的三
角不等式:
|z1+z2|≤|z1|+|z2|.
我们知道,|z1-z2|表示点z1与z2之间的距离,又三角形两边之差小于第三边(图1-3)有
||z1|-|z2||≤|z1-z2|.
(3) |z1z2|=|z1||z2|,![]()
(4) |z|=|
|.
(5)
=z.
(6) z
=|z|2 =|Rez|2+|Imz|2,|z|2 =|z2|.(https://www.daowen.com)
(7)![]()
(8) ![]()
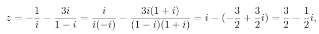
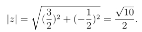
例4 求复数
的模.
解 因为

所以,

例5 若z为非零复数,证明:![]()
证明 由于
由和、差的模的不等式得到
![]()
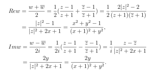
例6 设z =x+iy,w =
求w的实部和虚部.
解
