习题五

习题五

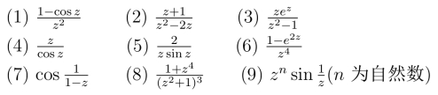
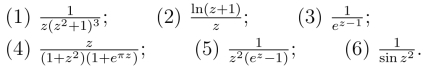
1.下列函数有些什么奇点?如果是极点,指出它的级:

2.求证:如果z0是f(z)的级零点,则z0是f(z)的m-1级零点.

3.设z0是函数f(z)的m级极点,又是g(z)的n级极点,试问下列函数在z0处具有何种性质?

4.函数f(z)=在z =1处有一个2级极点; 这个函数又有下列洛朗展式

于是就说“z =1又是f(z)的本性奇点”,这个说法对吗?

5.下列函数在扩充复平面内有些什么类型的奇点?如果是极点,指出它的级.

6.求下列函数f(z)在有限奇点处的留数

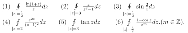
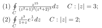
7.利用留数计算下列沿正向圆周的积分.

8.求Res[f(z),∞]的值,如果

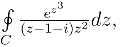
9.计算下列各积分,C为正向圆周.

10.设P(z)与Q(z)是多项式,其中Q(z)的次数至少比P(z)的次数高两次.证明P(z)/Q(z)在有限奇点的留数的和等于零.

11.若函数φ(z)在点z0解析且φ(z0) 0,又f(ξ) 在ξ = φ(z0)有留数为A的简单极点,求Res{f[φ(z)],z0}.

12.计算的值.

13.计算积分 的值.

14.计算拉普拉斯积分

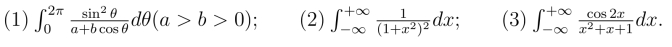
15.利用留数计算下列积分

16.试用下图中的积分路线,求例6中的积分

17.利用公式(5.4.1)计算下列积分

18.求方程z7-5z4+z2-2=0在|z|<1内根的个数.

19.设φ(z)在圆周C :|z|=1上及其内部解析,且在C上|φ(z)|<1,证明在C 内只有一个点z0使φ(z0)=z0

20.证明当|a|>e时,方程ez-azn =0在单位圆周|z|=1内有n个根.

21.试证方程z5-z+3的所有根都在圆环1 <|z|<2 内.

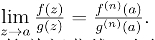
22.下列函数有些什么奇点?如果是极点,指出它的级.

23.求下列函数在有限奇点处的留数.

24.求Res[f(z),∞]的值,若

25.求函数f(z)=在它所有有限奇点处的留数之和.

26.利用留数计算下列积分.

27.计算下列各积分,C为正向圆周.

28.计算积分 其中C是圆环域1 <|z|<3的正向边界.

29.计算积分

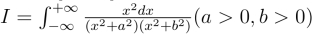
30.利用留数计算下列定积分.

31.计算积分并由此证明

32.设函数f(z)与g(z)均在点心z0 = a解析,且a为它们的n级零点,试证a为的可去奇点,且有

33.设函数f(z)在正向简单闭曲线C上解析,在C 的内部D除去有限个点zk(k = 1,2,··· ,m)外处处解析,如果对每个zk都有试证

34.设函数f(z)在正向简单闭曲线C的外部D内解析,在C上也解析,并且=A(A为常数),试证

35.设函数f(z)在简单闭曲线C上及其内部D解析,如果f(z) 在D内点z0处有n级零点,而在D及C上无其他零点,试证对C的正向有

36.设函数f(z)在简单闭曲线C上及其内部D除在D内有m级极点z0外处处解析,且在C 上及D内无零点,试证对C的正向有

37.若f(z)在分段光滑闭曲线C上及其所围区域内除点z = a外解析,且a是f(z)的n级极点,求证: 当(z-a)nf(z)=g(z) 时,

38.设φ(z)在C : |z| = l上及其内部解析,且在C上|φ(z)| <1.证明在C内只有一个点z0使φ(z0)=z0.

39.证明方程z7-z3+12=0的根都在圆环域1 ≤|z|≤2 内.