8.4.1 卷积的概念

8.4.1 卷积的概念

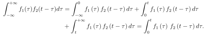
由上一章我们知道,若函数f1(t)与f2(t)在(-∞,+∞)上可积,称积分

图示

为函数f1(t)与f2(t)的卷积.

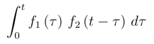
若当t <0时,f1(t) =f2(t)=0,则t >0时

图示

这样我们有如下定义

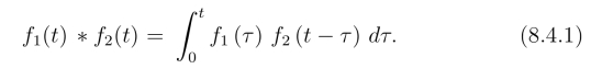
定义1 设函数f1(t)与f2(t)满足t <0时f1(t) =f2(t)=0,则称积分(https://www.daowen.com)

图示

为f1(t)与f2(t)的卷积,记作f1(t) *f2(t),即

图示

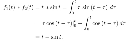
例1 求f1(t) =t与f2(t)=sin t的卷积.

图示