5.2.3 洛必达法则
在复变函数中,对一些未定型的极限可使用复变函数的洛必达(L’Hospital)法则.
洛必达法则设z0为函数f(z)和g(z)的零点,且在z0的某去心邻域内f(z)和g(z)都不为零,则当z →z0时,函数
的极限一定存在或为无穷,且有

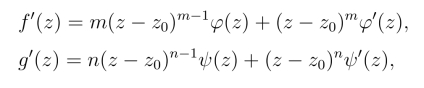
证明设z0分别为f(z)和g(z)的m,n级零点,则有

其中φ(z)与ψ(z)均在z0解析,且φ(z)
0,ψ(z)
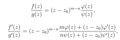
0.因此

并且

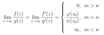
从而当z →z0时,有

同理可证,当z0为极点时,洛必达法则也成立.
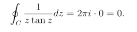
例7 计算积分
C为正向圆周: |z|=1.
解 f(z)的奇点是使z tan z = 0的点.z = 0为f(z) 的二级极点,zk =kπ(k =±1,±2,···)为f(z)的一级极点.这些奇点中只有z =0 在圆周|z|=1内.

从而有
