8.3.2 利用留数计算反演积分
2026年01月14日
8.3.2 利用留数计算反演积分
反演积分是复变函数的积分,计算起来比较困难,但当F(p)满足一定条件时,可以用留数来计算这个反演积分.特别是当F(p)为有理函数时,计算更为简单.
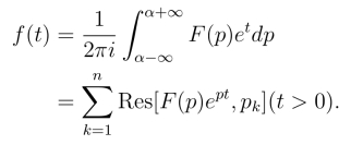
定理1 设p1,p2,··· ,pn 是函数F(p) 的所有奇点,(适当选取α >c,使得这些奇点全在半平面Re(p)<α内),当p →∞时,F (p)→0,则有

证明从略.
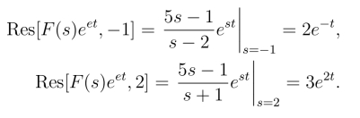
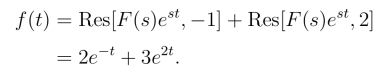
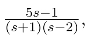
例1 已知F(s)=
求f(t)=L-1[F(s)].
解 (1)s1 =-1,s2 =2为F(s)的一阶极点,

(2)

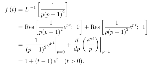
例2 求F (p)=
的拉氏逆变换.
解 p1 = 0,p2 = 1分别是F (p)ep t 的一阶极点和二阶极点.由留数计算方法,
(https://www.daowen.com)
求有理函数的拉氏逆变换,有时可以先把有理函数分解为部分分式,把求较复杂的函数的逆变换,化为几个较为简单的函数逆变换的和.
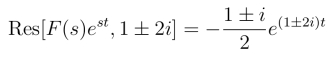
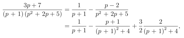
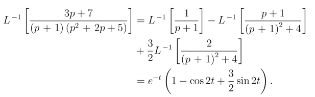
例3 已知F(s)=
求f(t)=L-1[F(s)]
解 (1)s1 =3,s2,3 =1±2i为F(s)的一阶极点,
![]()

(2) f(t)=2e3t-
=2e3t-et cos 2t-et sin 2t
例4 求![]()
解 因为

所以
