5.3.1 形如的积分
2026年01月14日
5.3.1 形如
的积分
对于积分
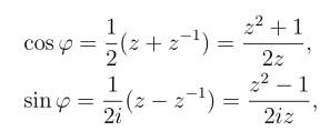
若令φ=
则有

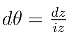
其中φ可看作圆周|z|=1的参数方程的参数.于是令z =eiφ(0 ≤φ ≤2π),则有dz =izdφ,且有

当φ从0变到2π时,沿z圆周|z|=1正向绕行一周,于是有

若函数F(z) =
在|z| <1内只有有限个奇点z1,z2,··· ,zn,则由留数定理得

于是有下面的定理:
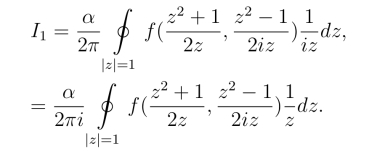
定理1 设I1 =
若函数F(z) =
在|z|=1 圆周上解析,在|z|<1 内除有限个奇点z1,z2,··· ,zn外解析,则有

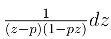
实际计算中,只要令

就可将定积分I1变为沿单位圆周|z|=1的复积分,然后再利用留数定理进行计算.
特别地,当α=2π时,![]()
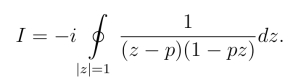
例1 计算积分

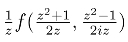
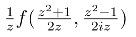
解 令z =eiθ,则![]()
(https://www.daowen.com)
从而有

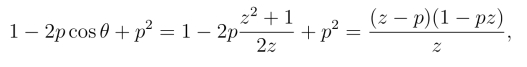
函数f(z) =
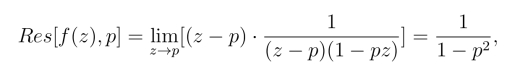
在|z| <1内只有一个简单奇点z = p,在|z| =1上无奇点,且

由留数定理得

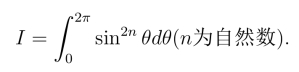
例2 计算积分

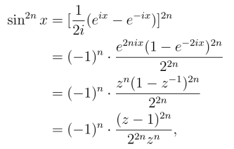
解 由于sin2n x以π为周期,因此

令z =
则

由于

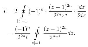
从而有

由于函数f(z)=
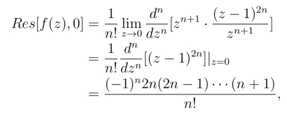
在|z|=1的内部只有一个n+1级极点z =0,在|z|=1上无奇点,而

由留数定理得
