8.1.3 一些常用函数的拉氏变换
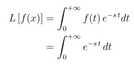
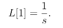
例1 求函数f(t)=1的拉氏变换.
解

当Re(s)>0时,显然

所以当Re(s)>0时,

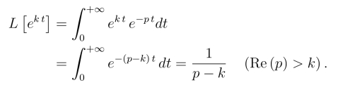
例2 求指数函数f(t)=e(kt)的拉氏变换(k为实常数).
解

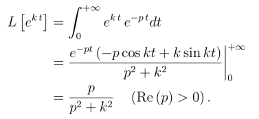
例3 求余弦函数f(t)=
的拉氏变换.
解

同理可求

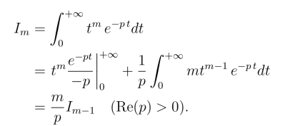
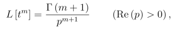
例4 求幂函数f(t)=tm 的拉氏变换(m为非负整数)
解 设

当m=0时,
当m >0时,由分部积分公式得

因此

即

特别地,对实数m >-1,有

其中,Γ(·)为Γ(伽马)函数.
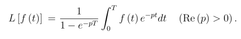
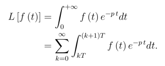
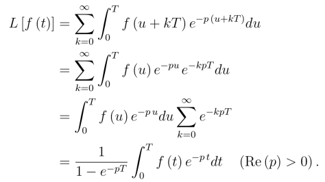
例5 设f(t)是以T为周期的周期函数,即f(t + T) = f(t)(t >0),在一个周期上分段连续,证明:

证明

令t=u+kT,得
