8.3.1 拉氏反演积分
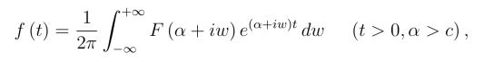
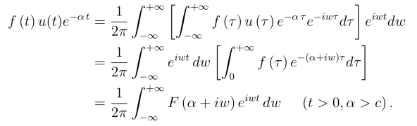
函数f(t)的拉氏变换,实际上是f(t)u(t)e-α t 的傅氏变换,当f(t)u(t)e-α t满足傅氏积分定理条件时,按傅氏积分公式,在f(t) 的连续点处有

两边乘以eα t,并考虑到它与积分变量w无关,则
(https://www.daowen.com)
令p=α+i w,有

这就是从象函数F(p)求它的象原函数f(t)的一般公式,我们称(8.3.1)右端的积分为拉氏反演积分.它和(8.1.1)式F (p) =
成为一对互逆的积分变换式,也称f(t) 和F(p)构成了一个拉氏变换对.