一、双代号绘图法

双代号绘图法

双代号绘图法(Arrow Diagramming Method,ADM)就是利用箭线表示工作而在节点处将工作连接起来表示依赖关系的一种绘制项目网络图的方法。这种方法也叫箭线工作法(Activi-ty-on-arrow,AOA)。

(一)双代号网络图的组成要素(图2-1)

978-7-111-49223-8-Part03-13.jpg

图2-1 双代号网络图

1.工作(活动、作业或工序)

箭线用来表示工作,工作的名称写在箭线的上面,完成工作所需要的时间写在箭线的下面,箭尾表示工作的开始,箭头表示工作的结束。圆圈中的两个号码可代表这项工作的名称。

工作通常可以分为三种:第一种为需要消耗时间和资源,用实箭线(978-7-111-49223-8-Part03-14.jpg)表示;第二种为只消耗时间不消耗其他资源(如混凝土养护),用点画线箭线(978-7-111-49223-8-Part03-15.jpg)表示;第三种为既不消耗时间,也不消耗资源,我们称为虚工作,用虚箭线(978-7-111-49223-8-Part03-16.jpg)表示。虚工作是人为的虚设工作,只表示相邻前后工作之间的逻辑关系。

2.节点(结点或事件)

箭线的出发和交汇处画上圆圈用来表示节点。它不同于工作,不需要消耗时间或资源,它只标志着工作的结束和开始的瞬间,起着连接工作的作用。起点节点是指网络图的第一个节点,表示执行项目计划的开始,没有内向箭线;终点节点是指达到了项目计划的最终目标,它没有外向箭线。

3.紧前工作、紧后工作和平行工作

在网络图中,相对于某工作而言,紧排在该工作之前的工作称为该工作的紧前工作。在双代号网络图中,工作与其紧前工作之间可能有虚工作存在。如图2-1所示,支模1是支模2在组织关系[1]上的紧前工作;扎筋1和扎筋2之间虽然存在虚工作,但扎筋1仍然是扎筋2在组织关系上的紧前工作;支模1则是扎筋1在工艺关系[2]上的紧前工作。

在网络图中,相对于某工作而言,紧排在该工作之后的工作称为该工作的紧后工作。在双代号网络图中,工作与其紧后工作之间可能有虚工作存在。如图2-1所示,扎筋2是扎筋1在组织关系上的紧后工作;混凝土1是扎筋1在工艺关系上的紧后工作。

在网络图中,相对于某工作而言,可以与该工作同时进行的工作即为该工作的平行工作。如图2-1所示,扎筋1和支模2互为平行工作。

4.线路

网络图中从起点节点开始,沿箭头方向顺序通过一系列箭线与节点,最后到达终点节点的通路称为线路。线路既可依次用该线路上的节点编号来表示,也可依次用该线路上的工作名称来表示。

(二)双代号网络图的绘制原则

1)网络图应只有一个起点节点和一个终点节点(多目标网络计划除外)。

除终点和起点节点外,不允许出现没有内向箭线的节点和没有外向箭线的节点。如果一个网络图中出现多个起点或多个终点,那么其解决方法就是将没有紧前工作的节点合并为一个点,把没有外向箭线的节点合并为一个点。

2)网络图中所有节点都必须编号,并应使箭尾节点的代号小于箭头节点的代号。

3)在网络图中不允许出现重复编号的节点。

一条箭线和其相关的节点只能代表一项工作,不允许代表多项工作。

4)网络图中不允许出现没有箭尾节点的箭线(包括虚箭线,以下同)和没有箭头节点的箭线。错误的画法如图2-2所示。

978-7-111-49223-8-Part03-17.jpg

图2-2 错误的画法

a)存在没有箭尾节点的箭线 b)存在没有箭头节点的箭线

5)严禁在箭线上引入或引出箭线。

6)应尽量避免网络图中工作箭线的交叉。当交叉不可避免时,可以采用过桥法或指向法处理(图2-3)。

978-7-111-49223-8-Part03-18.jpg

图2-3 箭线交叉的表示方法

a)过桥法 b)指向法

7)网络图中不允许出现从一个节点出发、顺箭线方向又回到原出发点的循环回路。

循环回路会造成逻辑关系混乱,使工作无法按顺序进行。网络图中存在循环回路CDEF。当然,此时的节点编号也发生错误(图2-4)。

978-7-111-49223-8-Part03-19.jpg

图2-4 存在循环回路的错误网络图

8)网络图中的箭线应保持自左向右的方向,不应出现箭头向左或偏向左方的箭线。若遵循该规则绘制网络图,就不会出现循环回路。

9)网络图必须按照已定的逻辑关系绘制。

网络图是有向、有序网状图形,所以必须严格按照工作之间的逻辑关系绘制,这同时也是保证工程质量和资源优化配置及合理使用所必需的。

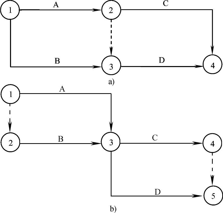
【例2-1】 有A、B、C、D四项工作(图2-5),它们之间有一定的逻辑关系(表2-1)。问:图2-5a、b哪一个正确地表达了它们之间的约束关系?

【解答】

网络图2-5a正确,图2-5b错误。因C的紧前工作没有B,所以必须在A与D之间引入虚工作。

2-1 逻辑关系表

978-7-111-49223-8-Part03-20.jpg

978-7-111-49223-8-Part03-21.jpg

图2-5 A、B、C、D四项工作的网络图

(三)双代号网络图的绘制步骤

1)根据已知的紧前工作确定出紧后工作。

2)从左到右确定出各工作的始节点位置号和终节点位置号。

3)根据节点位置号和逻辑关系绘出初步网络图。

4)检查逻辑关系有无错误,如与已知条件不符,则可加虚工作加以改正。

【例2-2】

已知工作之间的逻辑关系(表2-2),绘制其双代号网络图。

2-2 工作逻辑关系表

978-7-111-49223-8-Part03-22.jpg

【解答】

(1)绘制工作箭线A(图2-6a)。

(2)按前述原则分别绘制工作箭线B和工作箭线C(图2-6b)。

(3)按前述原则绘制工作箭线D和工作箭线E(图2-6c)。

(4)按前述原则绘制工作箭线F,当确认给定的逻辑关系表达正确后,再进行节点编号。本题对应的双代号网络图如图2-6d所示。

978-7-111-49223-8-Part03-23.jpg

图2-6 例2-2绘图过程