成本与费用估算

成本与费用估算

成本与费用估算应遵循国家现行的《企业会计制度》和《企业会计准则》规定的成本和费用核算方法,同时应遵循有关税法中准予在所得税前列支科目的规定。估算时,要注意成本费用与收入的计算口径对应一致,各项投入物与产出物的价格体系对应一致;划分清楚各项费用,防止重复计算或低估漏算。

(一)总成本费用估算方法

总成本费用指在一定时期(通常为一年)为生产和销售产品或提供服务而发生的全部费用。与会计制度规定有所不同,项目评价中,将管理费用、财务费用和营业费用这三项费用与生产成本合并为总成本费用。总成本费用的构成及估算通常按照以下两种方法进行,其中生产要素估算法是项目评价中通常采用的方法。

1.总成本费用构成及计算公式

(1)生产成本加期间费用估算法

总成本费用=生产成本+期间费用

式中 生产成本=直接材料费+直接燃料和动力费+直接工资或薪酬+其他直接支出+制造费用

期间费用=管理费用+营业费用+财务费用

财务分析中一般只考虑财务费用中的利息支出,所以上式可改成

期间费用=管理费用+营业费用+利息支出

(2)生产要素估算法 与前面的方法不同,此方法是从估算各种生产要素的费用入手汇总得到项目总成本费用,而不管其具体应归集到哪个产品上。此方法不必考虑项目内部各生产环节的成本结转,同时也较容易计算项目的可变成本、固定成本和增值税进项税额。计算公式为

总成本费用=外购原材料、燃料及动力费+工资或薪酬+折旧费+摊销费+修理费+利息支出+其他费用

式中 其他费用=制造费用+管理费用+营业费用-(以上三项费用中所含的工资或薪酬、折旧费、摊销费、修理费)

注意:本部分第6章第6.3节流动资金估算中也涉及了其他费用的计算公式。

2.生产要素估算法的估算要点

(1)外购原材料、燃料及动力费

1)相关专业所提出的外购原材料和燃料动力年耗用量。

2)应按入库价格计算,即到厂价格并考虑途库耗量;或者按到厂价格计算,同时把途库耗量换算到年耗用量中。

3)适用的增值税税率,以便估算进项税额。

(2)工资或薪酬 执行新《企业会计准则》的项目(企业),应当用“职工薪酬”代替“工资”。职工薪酬包括:

1)职工工资、奖金、津贴和补贴(这是原来“工资”的概念)。

2)职工福利费。

3)社会保险费(包括医疗保险费、养老保险费、失业保险费等)。

4)住房公积金。

5)工会经费和职工教育经费。

6)非货币性福利。

7)因解除与职工的劳动关系给予的补偿。

8)其他与获得职工提供的服务相关的支出。

注意:按照生产要素估算法估算总成本费用时,其中的工资或薪酬是指项目全部定员的工资或薪酬。如采用分档工资或薪酬,最好编制工资或薪酬估算表。

(3)固定资产原值及折旧费

1)固定资产原值。是指项目投产时(达到预定可使用状态)按规定由投资形成固定资产的部分,包括:工程费用、工程建设其他费用中应计入固定资产原值的部分(也称固定资产其他费用)、预备费用和建设期利息。其中,工程费用包括:建设工程费、设备购置费、安装工程费;工程建设其他费用中应计入固定资产原值的部分见第6章6.1节。

注意:可抵扣固定资产进项税不得计入固定资产原值。

2)固定资产折旧。是指固定资产在使用过程中由于损耗而减少的价值。财务分析中折旧费通常按年计列,符合税法的折旧费允许在所得税前列支。

计算固定资产折旧一般采用直线法,包括年限平均法和工作量法;对某些机械设备也可采取快速折旧法,包括双倍余额递减法和年数总和法。各种折旧方法的计算公式如下:

①年限平均法

978-7-111-49223-8-Part04-193.jpg

年折旧额=固定资产原值×年折旧率

注意:预计净残值是指固定资产预计使用寿命已满并处于使用寿命终了时,残余固定资产能够变现的价值;预计净残值率是指预计净残值与固定资产原值之比。

②工作量法。工作量法又分两种,一是按照行驶里程计算折旧,二是按照工作小时计算折旧。按照行驶里程计算折旧的公式

978-7-111-49223-8-Part04-194.jpg

年折旧额=单位里程折旧额×年行驶里程

按照工作小时计算折旧的公式

978-7-111-49223-8-Part04-195.jpg

年折旧额=每工作小时折旧额×年工作小时

③双倍余额递减法

978-7-111-49223-8-Part04-196.jpg

年折旧额=年初固定资产净值×年折旧率

年初固定资产净值=固定资产原值-以前各年累计折旧

使用该法时,应在折旧年限到期前两年内,将固定资产净值扣除净残值后的净额平均摊销。

④年数总和法

978-7-111-49223-8-Part04-197.jpg

年折旧额=(固定资产原值-预计净残值)×年折旧率

3)几种折旧方法的比较。无论采用何种折旧方法,只要折旧年限相同,取定的净残值率相同,总折旧额就是相同的。三种方法的特点见表8-3。

8-3 三种折旧方法特点对比表

978-7-111-49223-8-Part04-198.jpg

【例8-2】 某新购设备的固定资产原值为500万元,设备折旧年限为4年,期末净残值率为4%。试分别采用年限平均法、双倍余额递减法和年数总和法计算各年折旧额。

【解答】

(1)年限平均法:

978-7-111-49223-8-Part04-199.jpg

各年折旧额=500×24%=120万元

(2)双倍余额递减法:

978-7-111-49223-8-Part04-200.jpg

第一年折旧额=500×50%=250万元

第二年折旧额=(500-250)×50%=125万元

第三、四年折旧额=(500-250-125-500×4%)/2=52.5万元

(3)年数总和法:

978-7-111-49223-8-Part04-201.jpg

第四年折旧额=(500-500×4%)×10%=48万元

从以上三种方法计算结果可以看出,4年的总折旧额均为480万元。

(4)固定资产修理费 它是在运营期内对固定资产进行必要修理所发生的费用,在项目评价中,修理费可按固定资产原值(扣除所含的建设期利息)的一定百分数估算。

(5)无形资产和其他资产摊销费 项目评价中,可以将项目投资中包括的技术转让或技术使用费(包括专利权、非专利技术)、土地使用权、商标权等费用直接转入无形资产原值;可将生产准备费、办公和生活家具购置费等开办费直接形成其他资产。两者一般均采用年限平均法,不计残值。

注意:房地产开发企业开发商品房时,相关的土地使用权账面价值应当计入所建造的房屋建筑物成本中。

(6)其他费用 其他费用包括其他制造费用、其他管理费用和其他营业费用,是指由制造费用、管理费用和营业费用中分别扣除工资或薪酬、折旧费、摊销费和修理费等后的其余部分。其他费用估算方法见表8-4。

8-4 其他费用估算方法表

978-7-111-49223-8-Part04-202.jpg

注意:若管理费用中的技术使用费、研究开发费和土地使用税等数额较大,则可单独核算后并入其他管理费用,或另外列项计入总成本费用。

(7)利息支出 财务费用是指企业为筹集资金而发生的费用,包括利息支出(减利息收入)、汇兑损失(减汇兑收益)以及相关的手续费等。项目评价中只考虑利息支出,具体包括建设投资借款利息、用于流动资金的借款利息和短期借款利息三部分。

1)建设投资借款利息。一般是长期借款,是指建设投资借款在还款起始年年初(或运营期初)的余额(含未支付的建设期利息),应在运营期支付的利息。还本付息方式主要有等额还本付息和等额还本、利息照付两种。

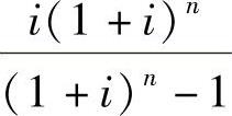
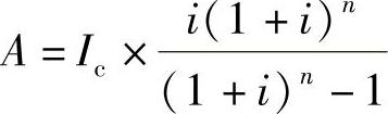
①等额还本付息方式。每年还本付息的总额相同,每年支付的利息逐年减少,每年偿还的本金逐年增多。计算公式如下

978-7-111-49223-8-Part04-203.jpg

式中 A——每年还本付息额;

Ic——还款起始年年初的借款余额(含未支付的建设期利息);

i——年利率;

n——预定的还款期;

978-7-111-49223-8-Part04-204.jpg——资金回收系数,参见本部分第5章。

其中:每年支付利息=年初借款余额×年利率

每年偿还本金=A-每年支付利息

年初借款余额=Ic-本年以前各年偿还的本金累计

②等额还本、利息照付方式。每年等额还本的同时,支付逐年相应减少的利息。计算公式如下:

978-7-111-49223-8-Part04-205.jpg

式中 At——第t年的还本付息额;

978-7-111-49223-8-Part04-206.jpg——每年偿还本金额。

其中:每年支付利息=年初借款余额×年利率

978-7-111-49223-8-Part04-207.jpg

③其他还本付息方式。如最大能力还本付息方式,是指每年偿还本金按最大偿还能力计算,偿还能力主要包括可以用于还款的折旧费、摊销费以及税后利润(一般是扣除法定盈余公积金和公益金后的税后利润)。

【例8-3】 某项目还款起始年年初的借款余额为500万元,借款年利率为5%,预定的还款期为3年,试分别按等额还本付息方式、等额还本利息照付方式计算每年还本付息额及每年偿还本金和每年支付利息。

【解答】

(1)等额还本付息方式

首先计算年还本付息额,然后再逐年分别求出付息和还本额。

978-7-111-49223-8-Part04-208.jpg

第一年 付息:500×5%=25万元

还本:183.61-25=158.61万元

第二年 付息:(500-158.61)×5%=17.07万元

还本:183.61-17.07=166.54万元

第三年 付息:(500-158.61-166.54)×5%=8.74万元

还本:183.61-8.74=174.87万元

计算得出的各年利息,分别计入各年总成本费用中的利息支出科目中。

(2)等额还本、利息照付方式

首先计算每年偿还本金额=500/3=166.67万元

第一年付息:500×[1-(1-1)/3]×5%=25万元

第二年付息:500×[1-(2-1)/3]×5%=16.67万元

第三年付息:500×[1-(3-1)/3]×5%=8.33万元

2)流动资金借款利息。项目评价中估算的流动资金借款一般按年终偿还、下年初再借的方式处理,并按一年期利率计息。计算公式为

年流动资金借款利息=年初流动资金借款余额×借款年利率

财务分析中对流动资金的借款可以在计算期最后一年偿还,也可以在还完长期借款后安排。

3)短期借款。它是指运营期间由于资金的临时需要而发生的短期借款,数额应在财务计划现金流量表中有所反映,其利息应计入总成本费用表的利息支出中。短期借款的偿还按照随借随还的原则处理,即当年借款尽可能于下年偿还,并按一年期利率计息。

(二)其他类别成本的估算

1.经营成本

经营成本是项目评价中的特有概念,是项目运营期的主要现金流出。经营成本与融资方案无关,因此在完成建设投资和营业收入估算后,就可以估算经营成本,为项目融资前的现金流量分析提供数据。计算公式为

经营成本=外购原材料、燃料及动力费+工资或薪酬+修理费+其他费用

财务分析中,经营成本可看做是从总成本费用中分离出来的一部分费用,写作:

经营成本=总成本费用-折旧费-摊销费-利息支出

注意:折旧费与摊销费既不属于现金流出也不属于现金流入,计算项目运营期间各年的现金流出时,必须从总成本费用中剔除;借款利息虽然对于企业来说是实际的现金流,但在评价项目全部投资的经济效果时,并不考虑资金来源问题,因此也不计入现金流量。

2.固定成本与可变成本

固定成本是指不随产品产量变化而变化的各项费用,可变成本是指随着产品产量增减而成正比变化的各项费用。盈亏平衡分析中用到了这两个概念(见本部分第11章)。

现实中还存在半可变成本,如工资、营业费用、流动资金利息等,项目评价中对其进行了简化处理。通常固定成本主要包括工资或薪酬(计件工资除外)、折旧费、摊销费、修理费和其他费用等;可变成本主要包括外购原材料、燃料及动力费和计件工资等。

注意:长期借款利息应视为固定成本,流动资金借款和短期借款利息虽为半可变成本,但一般简化处理视为固定成本。

3.维持运营的投资费用

在运营期内设备、设施等需要更新或拓展的项目,应估算项目维持运营的投资费用,并在现金流量表中将其作为现金流出,同时应调整相关报表。

(三)成本与费用估算的相关表格

在分项估算上述各成本费用科目的同时,应编制相应的成本费用估算表,包括总成本费用估算表和各分项成本费用估算表。为了编制总成本费用估算表,还需配套编制“外购原材料费估算表”、“外购燃料和动力费估算表”、“固定资产折旧费估算表”、“无形资产和其他资产摊销费估算表”、“长期借款利息估算表”(可与“借款还本付息计划表”合二为一)等。