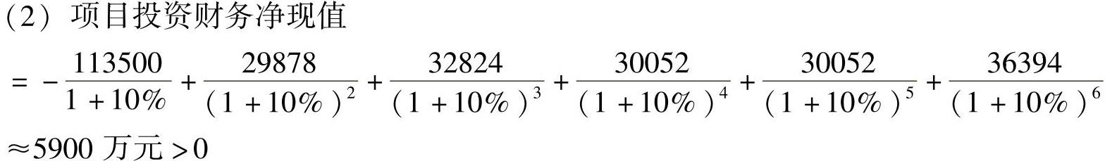
参考答案

第四部分 涉及科目四的内容

科目五“现代咨询方法与实务”的大纲中涉及科目四“项目决策分析与评价”的案例知识点有:

978-7-111-49223-8-Part04-1.jpg 市场分析与战略分析。

978-7-111-49223-8-Part04-2.jpg 产品方案和建设规模、场(厂)址比选、总图运输方案、工程方案及配套工程。

978-7-111-49223-8-Part04-3.jpg 能源资源优化配置与合理性分析;循环经济与资源综合利用。

978-7-111-49223-8-Part04-4.jpg 环境影响评价的要求、内容及环境影响的经济损益分析。

978-7-111-49223-8-Part04-5.jpg 建设投资、建设期利息和流动资金的估算,项目总投资与分年投资计划。

978-7-111-49223-8-Part04-6.jpg 资本金筹措、债务资金筹措和融资方案设计与优化,资金结构、资金成本和融资风险分析。

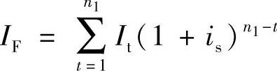
978-7-111-49223-8-Part04-7.jpg 资金时间价值与等值换算、现金流量分析方法和方案经济比选方法。

978-7-111-49223-8-Part04-8.jpg 财务效益与费用估算、财务盈利能力分析、偿债能力分析和财务生存能力分析。

978-7-111-49223-8-Part04-9.jpg 经济效益与费用的识别、估算,经济费用效益分析报表编制与指标计算,经济分析中的费用效果分析和经济分析参数及应用。

978-7-111-49223-8-Part04-10.jpg 社会评价的内容、方法及社会评价报告的编写,国家发展改革委重大固定资产投资项目社会稳定风险分析及评估的内容。

978-7-111-49223-8-Part04-11.jpg 不确定性分析与风险分析的作用、区别和联系,敏感性分析的内容和方法,线性盈亏平衡分析的内容、条件及方法。

978-7-111-49223-8-Part04-12.jpg 风险等级、风险概率和风险评价矩阵运用,投资项目风险识别,风险分析方法和风险对策分析。

项目决策分析与评价是项目前期阶段工作的核心,其主要工作包括投资机会研究、初步可行性研究、可行性研究和项目前评估(具体内容可见第一部分第4章4.3)。本书此部分的内容基本上是按照可行性研究报告的编制步骤安排的,融入了《建设项目经济评价方法与参数》(第3版)(简称《方法与参数》)的有关知识。同时还涉及《规划环境影响评价条例》《循环经济法》等法律法规的有关内容,尤其是去年新增考的《国家发展改革委重大固定资产投资项目社会稳定风险评估暂行办法》《重大固定资产投资项目社会稳定风险分析篇章及说明(试行)》和《重大固定资产投资项目社会稳定风险评估报告编制大纲及说明(试行)》(放入第10章社会评价)需要重点研读。

第1章 市场分析与战略分析

【本章结构】

978-7-111-49223-8-Part04-13.jpg

【重点难点】

(1)一元线性回归、弹性系数法、移动平均法、指数平滑法和德尔菲法。

(2)竞争态势矩阵、SWOT分析、波士顿矩阵和通用矩阵。

【内容精解】

市场分析是项目决策分析与评价的基础,通过对项目的产出品、投入品或服务的市场容量、价格、竞争格局等进行调查、分析、预测,从而确定项目的目标市场、建设规模和产品方案;战略分析是在投资方向和目标市场定位后,对产品生命周期内占有、扩大市场份额,竞争获胜,提高品牌知名度等方面进行的战略和策略研究。本章仅就市场调查方法、市场预测方法和战略分析方法进行阐述。

1.1 市场调查方法

市场调查的内容

市场调查的主要内容包括市场需求、市场供应、消费者和竞争者调查。

(1)市场需求调查 它包括有效需求、潜在需求、需求的增长速度三个方面。

(2)市场供应调查 它主要调查供应现状、供应潜力以及正在或计划投资建设的相同产品项目的生产能力。

(3)消费者调查 明确产品的消费者后,对其消费层次、消费需求、心理状况、消费动机、消费方式进行调查和分析。

(4)竞争者调查 对同类生产企业的市场竞争特征进行调查,包括提供同类及替代产品或服务的企业数量、市场占有率、成本水平、管理能力等。

市场调查的类型

市场调查的类型见表1-1。

1-1 市场调查类型

978-7-111-49223-8-Part04-14.jpg

市场调查的方法

市场调查的方法见表1-2。

1-2 市场调查的方法

978-7-111-49223-8-Part04-15.jpg

(续)

978-7-111-49223-8-Part04-16.jpg

选择调查方法要考虑收集信息的能力、调查研究的成本、时间要求、样本控制和人员效应的控制程度。

1.2 市场预测方法

预测方法体系

市场预测的内容侧重在市场需求预测、产品出口和进口替代分析和价格预测上。市场预测的方法一般可以分为定性预测和定量预测两大类。有关预测方法体系如图1-1所示。

978-7-111-49223-8-Part04-17.jpg

图1-1 预测方法体系

定性预测方法可以分为直观判断法和集合意见法两大类,其核心都是专家预测,都是依据经验、智慧和能力在个人判断的基础上进行预测的方法。其中直观判断法主要有类推预测法,集合意见法包括专家会议法和德尔菲法等。

定量预测方法是依据市场统计数据资料,选择或建立合适的数学模型,分析研究其发展变化规律并对未来作出预测。可归纳为因果性预测、延伸性预测和其他方法三大类。因果性预测法是通过寻找变量之间的因果关系,分析自变量对因变量的影响程度,进而对未来进行预测的方法,主要适用于存在关联关系的数据预测;延伸性预测法是根据市场各种变量的历史数据的变化规律,对未来进行预测的定量预测方法,适用于具有时间序列关系的数据预测。其他方法主要是借助复杂的数学模型模拟现实经济结构,分析经济现象的各种数量关系,适用于现实经济生活中的中长期市场预测。这些预测方法比较复杂,本章不作介绍。

不同方法的比较

不同的市场预测方法具有不同的适用条件、应用范围和预测精度。在实践中,常用定性预测与定量预测相结合的方法。常用预测方法的特点见表1-3。

1-3 常用预测方法的特点

978-7-111-49223-8-Part04-18.jpg

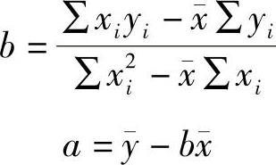
一元线性回归分析

(一)基本公式

如果预测对象(因变量y)与主要影响因素(自变量x)之间存在线性关系,则它们之间的关系可以用一元线性回归模型表示为如下形式

y=a+bx+e

其中,ab是揭示xy之间关系的系数,a为回归常数,b为回归系数,e是误差项或称回归余项。

在实际预测中,e是无法预测的,回归预测是借助a+bx得到预测对象的估计值y。通过确定ab,从而揭示变量yx之间的关系,因此可以表示为

y=a+bx

y=a+bxy=a+bx+e的拟合曲线。可以利用普通最小二乘法原理(OLS)[1]求出回归系数。由此求得的回归系数为

978-7-111-49223-8-Part04-19.jpg

式中 xiyi——自变量x和因变量y的观察值;

x978-7-111-49223-8-Part04-20.jpg——xy的平均值。

978-7-111-49223-8-Part04-21.jpg

式中 n——样本数量。

对于每一个自变量x的数值,都有拟合值:yi=a+bxiyi与实际观察值的差,便是残差项:ei=yi-yi

(二)一元线性回归预测步骤

(1)利用历史数据计算回归参数ab,建立回归模型。

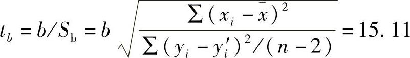
(2)进行回归检验 将历史数据代入模型对回归系数、回归方程进行检验,以判定预测模型的合理性和适用性。检验方法有方差分析、相关系数检验、t检验等。对于一元线性回归,这些检验效果是相同的,选择其中一项检验即可。

1)方差分析

①推导得出

978-7-111-49223-8-Part04-22.jpg

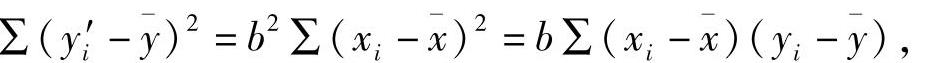
其中,978-7-111-49223-8-Part04-23.jpg,称为偏差平方和,反映了ny值的分散程度;

978-7-111-49223-8-Part04-24.jpg,称为回归平方和,反映了xy线性影响的大小;

∑(yi-yi)2=ESS,称为残差平方和,它反映了除xy的线性影响之外的一切使y变化的因素,其中包括xy的非线性影响及观察误差。即:

TSS=RSS+ESS

在进行检验时,通常先进行方差分析,一方面可以检验在计算上有无错误;另一方面,也可以提供其他检验所需要的基本数据。

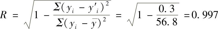
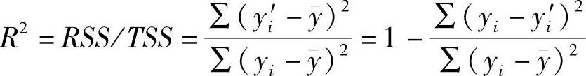
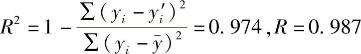
②定义可决系数R2,是评价两个变量之间线性关系强弱的一个指标,它的大小表明了y的变化中可以用x来解释的百分比,由前式可导出

978-7-111-49223-8-Part04-25.jpg

显然,可决系数R2≤1。R2越靠近1,说明xy的线性影响越强,拟合模型的误差也较小。

2)相关系数检验。相关系数是描述两个变量之间的线性相关关系的密切程度的数量指标,除上面公式以外,R还可用以下公式表示:

978-7-111-49223-8-Part04-26.jpg故,978-7-111-49223-8-Part04-27.jpg

R在-1和1之间,当R=1时,变量xy完全正相关;当R=-1时,为完全负相关;当0<R<1时,为正相关;当-1<R<0时,为负相关;当R=0时,变量xy没有线性关系。只有当R的绝对值大到一定程度时,才能采用线性回归模型进行预测。在计算出R值后,可以查相关系数检验表。在自由度(n-2)和显著性水平α(一般取α=0.05)下,若R大于临界值,则变量xy之间的线性关系成立;否则,两个变量不存在线性关系。

3)t检验。即回归系数的显著性检验,以判定预测模型变量xy之间线性假设是否合理。校验回归常数a是否为0的意义不大,通常只检验参数b

978-7-111-49223-8-Part04-28.jpg

式中 Sb——参数b的标准差,978-7-111-49223-8-Part04-29.jpg

n——样本个数。

Sy为回归标准差,S2y=∑(yi-yi)2/n-2),

也可以表达为:978-7-111-49223-8-Part04-30.jpg

tb服从t分布,可以通过t分布表查得显著性水平为α,自由度为n-2的数值tα/2,n-2)。若tb的绝对值大于t,表明回归系数显著性不为0,参数的t检验通过,说明变量xy之间线性假设合理;若tb的绝对值小于或等于t,表明回归系数为0的可能性较大,参数的t检验未通过,回归系数不显著,说明变量xy之间线性假设不合理。

(3)进行点预测和区间预测 点预测是在给定了自变量的未来值x0后,利用回归模型求出因变量的回归估计值y0,也称为点估计

y0=a+bx0

点估计的意义不大,通常还要得出可能偏离的范围。以一定的概率1-α预测的yy0附近变动的范围,称为区间预测。

数理统计分析表明,对于预测值y0而言,在小样本统计下(样本数据组n小于30时),置信水平为100(1-α%的预测区间为

y0±tα/2,n-2)So

其中,tα/2,n-2)可以查t检验表得出。通常取显著性水平α=0.05。

978-7-111-49223-8-Part04-31.jpg

此外,根据概率论中的3α原则,可以采取简便的预测区间近似解法,当样本n很大时,在置信度为68.2%、95.4%、99.7%的条件下,预测区间分别为:(y0-Syy0+Sy)、(y0-2Syy0+2Sy)、(y0-3Syy0+3Sy)。

(4)预测结果分析 如果预测得出的结果与实际情况存在明显不符,就要进行原因分析,重新查看数据处理或具体计算上是否存在问题,如果数据处理和计算没有问题,说明预测方法不适用,应选择其他方法。

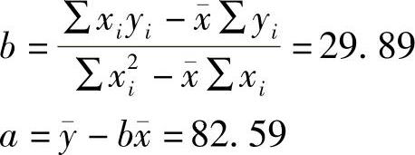
【例1-1】 某市2002~2009年第二产业电力消耗及同年第二产业产值见表1-4,假设该市未来三年第二产业产值的平均增长速度为15%,请用一元线性回归法预测2012年该市第二产业的耗电量。

1-4 某市第二产业产值与第二产业电力消耗

978-7-111-49223-8-Part04-32.jpg

【解答】

(1)建立回归模型

设:第二产业产值为自变量x,第二产业电力消耗量为因变量y,建立一元线性回归模型为:y=a+bx

(2)采用最小二乘法计算参数:

n=8,∑xi=38.9,∑yi=1822.91

978-7-111-49223-8-Part04-33.jpg千亿元,978-7-111-49223-8-Part04-34.jpg亿kW·h

xiyi=9758.17 ∑x2i=219.13

978-7-111-49223-8-Part04-35.jpg

故:y=82.59+29.89x

(3)相关系数检验

计算中用到的数据见表1-5。

1-5 相关计算数据

978-7-111-49223-8-Part04-36.jpg

978-7-111-49223-8-Part04-37.jpg(用另外一个公式计算结果一致)

α=0.05时,自由度8-2=6,查相关系数检验表,得R0.05=0.707

R=0.987>R0.05,故在α=0.05的显著性检验水平上,检验通过,说明第二产业耗电量与第二产业产值之间的线性关系成立。

(4)t检验

978-7-111-49223-8-Part04-38.jpg

α=0.05时,自由度n-2=6,查t检验表,得tα/2,n-2)=t(0.025,6)=2.4469。

tb=15.11>t(0.025,6),故在α=0.05的显著性检验水平上,t检验通过,说明第二产业耗电量与第二产业产值之间的线性关系成立。

(5)需求预测

2012年第二产业产值:x2012=x2009(1+15%3=12.55千亿元

2012年第二产业耗电量的点预测为

y2012=a+bx2012=82.59+29.89×12.55=457.71亿kW·h

2012年第二产业耗电量的区间预测为

978-7-111-49223-8-Part04-39.jpg

α=0.05的显著性检验水平上,2012年第二产业耗电量的置信区间为

y0±tα/2,n-2)S0=457.71±2.4469×19.06=457.71±46.64

即2012年耗电量有95%的可能性在(411.07,504.35)的区间内。

消费系数法

(一)概念

消费系数是指某种产品在各个行业(或部门、地区、人口、群体等)的单位消费量,即消费量与行业部门的产量等总量的比值。

表示为:消费系数=某部门产品消费量/该部门产量

消费系数法就是在分析得出消费系数的基础上,将各部门的规划产量乘以对应的消费系数得到各个行业或部门的需求量,汇总后就得到该产品总需求量的预测值。

(二)消费系数法预测需求量的步骤

1)分析产品x的所有消费部门或行业,包括现存的和潜在的市场。有时产品的消费部门众多,则需要筛选出主要的消费部门。

2)分析产品x在各部门或行业的消费量xi与各行业产品产量yi,确定在各部门或行业的消费系数。

某部门的消费系数ei=某部门产品消费量xi/该部门产品的产量yi

3)确定各部门或行业的规划产量,预测各部门或行业的消费需求量。

部门需求量xi=部门规划生产规模yi×该部门消费系数ei

4)汇总各部门的消费需求量。

产品总需求量X′=∑各部门的需求量xi

【例1-2】 某市某区2009年三大支柱产业汽车制造业、电子通信制造业、食品饮料制造业的产值和用水量见表1-6,假设:①以该年为基年,2012年各产业的产值预计为:汽车制造业695.5亿元、电子通信制造业458.5亿元、食品饮料制造业127.8亿元;②各产业单位产值和用水量保持不变。请用消费系数法预测2012年该区三大支柱产业的总用水量。

1-62009年该市三大支柱产业产值和用水量

978-7-111-49223-8-Part04-40.jpg

【解答】 根据消费系数法的公式:

(1)2009年汽车制造业的单位用水量=18500/463.5=39.9m3/万元

电子通信制造业的单位用水量为:11100/330.5=33.6m3/万元

食品饮料制造业的单位用水量为:4580/98.4=46.5m3/万元

(2)2012年汽车制造业的用水量为:695.5×39.9=27750.45万m3

2012年电子通信制造业的用水量为:458.5×33.6=15405.6万m3

2012年食品饮料制造业的用水量为:127.8×46.5=5942.7万m3

(3)2012年该区三大支柱产业的总用水量=49098.75万m3

弹性系数分析

弹性系数亦称弹性,弹性是一个相对量,它衡量某一变量的改变所引起的另一变量的相对变化。弹性总是针对两个变量而言的。一般来说,两个变量之间的关系越密切,相应的弹性值就越大;反之,相应的弹性值就越小。

用弹性分析方法处理经济问题的优点是简单易行、计算方便、计算成本低、需要的数据少、应用灵活广泛。

缺点:①弹性分析只考虑两个变量之间的关系,使其带有一定的局部性和片面性;②弹性分析的结果比较粗糙。以历史数据测算出的弹性系数未考虑未来的变化,有时还要分析弹性系数的变动趋势,对其进行修正。

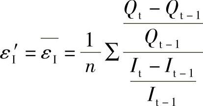
(一)收入弹性

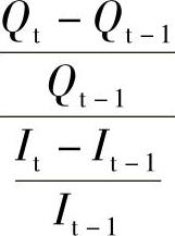
1.概念

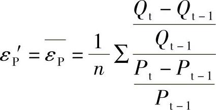
收入弹性是指商品价格保持不变时,该商品购买量Q的变化率与消费者收入I的变化率之比。表示为:收入弹性=购买量变化率/收入变化率

εI=(ΔQ/Q/(ΔI/I

收入弹性一般为正,即收入增加,需求量上升;反之,收入减少,需求量减少。

2.预测步骤

由于弹性系数可能随着时间的推移而变化,因此需要对根据历史数据测算的弹性系数进行修正,常用的简单修正方法就是取根据历史数据计算的弹性系数的平均值作为预测使用的弹性系数。具体步骤如下:

1)根据公式和已知数据计算各年的收入弹性系数。

2)求各年收入弹性系数的平均值作为预测年份的收入弹性系数

978-7-111-49223-8-Part04-41.jpg

其中,978-7-111-49223-8-Part04-42.jpg即为第t年的收入弹性系数。

3)根据已知,计算某一变量(一般为收入)在预测年份的增长率,一般以已知数据的最近年份作为计算基数年份。

4)根据2)、3)的结果计算需预测变量(一般为购买量)的增长率,带入基数年份的数据后得到所需的预测数据。

在计算收入弹性时,应根据所研究的问题来决定采用什么收入变量,收入水平的衡量既可以用国民收入,也可用人均收入或其他收入变量。

【例1-3】 根据2004~2008年某市个人计算机消费量及人均可支配年收入见表1-7,请用收入弹性法预测2012年该市个人计算机消费量(假设:年人口增长率为0.6%;2012年人均可支配收入较2008年增长50%。计算过程中结果保留整数)。

1-7 某市2004~2008年个人计算机消费量和人均可支配收入

978-7-111-49223-8-Part04-43.jpg

【解答】

(1)按照公式计算2004~2008年该市个人计算机收入弹性系数见表1-8。

1-82004~2008年该市个人计算机收入弹性系数

978-7-111-49223-8-Part04-44.jpg

2012年个人计算机收入弹性系数=(0.66+0.79+0.72+0.72)/4=0.72

(2)计算2012年每万人个人计算机需求增长率

=收入弹性系数×收入增长率

=0.72×50%=36%

(3)计算2012年每万人个人计算机的需求量

=2008年每万人个人计算机消费量×需求增长率

=1198×(1+36%)=1629台/万人

(4)2012年该市人口数量

=2008年人口数量×(1+0.6%)4=971万人

(5)2012年该市个人计算机的需求量

=2012年每万人个人计算机需求量×人口数

=1629×971=1581759台

(二)价格弹性

1.概念

价格弹性是指当收入水平保持不变时,某商品购买量Q的变化率与价格P的变化率之比。表示为:价格弹性=购买量变化率/价格变化率

εp=(ΔQ/Q/(ΔP/P

一般价格弹性均为负值,反映了价格的变动方向与需求量的变动方向相反。

2.预测步骤

与收入弹性类似,价格弹性预测也需要对根据历史数据测算的价格弹性系数进行修正。具体步骤如下:

1)根据公式和已知数据计算各年的价格弹性系数。

2)求各年价格弹性系数的平均值作为预测年份的价格弹性系数

978-7-111-49223-8-Part04-45.jpg

式中 978-7-111-49223-8-Part04-46.jpg——第t年的价格弹性系数。

3)根据已知计算某一变量(一般为价格)在预测年份的增长率,一般以已知数据的最近年份作为计算基数年份。

4)根据2)、3)的结果计算需预测变量(一般为购买量)的增长率,带入基数年份的数据后得到所需的预测数据。

【例1-4】 2006~2011年某市液晶电视消费量和平均销售价格见表1-9,如果2012年液晶电视平均销售价格下降到10000元/台,请用价格弹性系数法预测2012年液晶电视需求量。

1-9 某市2006~2011年液晶电视平均销售价格及销售量

978-7-111-49223-8-Part04-47.jpg

【解答】

(1)计算各年的液晶电视价格弹性系数(表1-10)。

由表1-10计算得出,2006~2011年价格弹性系数的平均值为:-2.77,作为2012年的价格弹性。

1-10 各年的液晶电视价格弹性系数

978-7-111-49223-8-Part04-48.jpg

(2)计算2012年液晶电视需求增长率

2012年液晶电视需求增长率=价格弹性系数×液晶电视价格下降率

=-2.77×(-1500/11500)=36.1%

(3)计算2012年液晶电视需求量

2012年液晶电视需求量=2011年液晶电视消费量×(1+2012年液晶电视需求增长率)

=207×(1+36.1%)=281.7万台

(三)能源需求弹性

能源需求弹性可以反映许多经济指标与能源需求之间的关系。能源消费可以分解为电力、煤炭、石油、天然气等消费,反映国民经济的重要指标包括社会总产值、国内生产总值、工农业总产值、国民收入、主要产品产量等。可按上述指标计算不同的能源弹性,下面以能源的国内生产总值弹性为例进行说明。

1.概念

能源的国内生产总值弹性,是指能源消费量E的变化率与国内生产总值GDP的变化率之比。表示为:能源的国内生产总值弹性=能源消费量变化率/国内生产总值变化率

εi=(ΔE/E/(ΔGDP/GDP

2.预测步骤

1)根据历史数据计算能源需求弹性,经修正后作为预测年份的能源需求弹性。

(注:由于能源需求问题较为复杂,对于能源需求弹性的修正一般不采用直接平均的方法,而需要由专家根据相关资料进行修正)。

2)根据已知,计算预测年份国内生产总值的增长率。

3)根据1)、2)计算能源需求的增长率,带入基数年份的数据后得到所需的能源需求预测数据。

【例1-5】 某市2010年地区生产总值为3695.62亿元,同年煤炭消耗量为4105.19万吨标准煤。预计未来10年中,前5年和后5年该市的GDP增长速度分别保持在12%和10%,同期煤炭需求弹性系数分别为0.6和0.49。请用弹性系数法预测2015年和2020年该市的煤炭需求量。

【解答】

由公式 εi=(ΔE/E/(ΔGDP/GDP

得2011~2015年煤炭需求增长速度为:0.6×12%=7.2%

2016~2020年煤炭需求增长速度为:0.49×10%=4.9%

则2015年该市的煤炭需求量=4105.19×(1+7.2%)5=5811.75万吨

2020年该市的煤炭需求量=5811.75×(1+4.9%)5=7382.18万吨

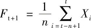
简单移动平均法

(一)概念

移动平均法分为简单移动平均法和加权移动平均法。简单移动平均法是以过去某一段时间的数据算术平均值作为将来某时期的预测值的一种方法;而加权移动平均法是在简单移动平均法的基础上,给不同时期的变量值赋予不同的权重来计算预测值。

(二)简单移动平均法的基本原理

1.公式

简单移动平均法可以表述为:978-7-111-49223-8-Part04-49.jpg

式中 Ft+1——t+1时的预测数;

n——在计算移动平均值时所使用的历史数据的数目,即移动时段的长度。

为了进行预测,需要对每一个t计算出相应的Ft+1,所得到的数据形成一个新的数列,经过两到三次同样的处理,历史数据序列的变化模式将会被揭示出来,这个变化趋势较原始数据的变化幅度小。因此,移动平均法从方法论上属于平滑技术。

2.n的选择

n的选择是移动平均法的难点,不同的n值对所计算的平均数有较大影响。n值越小,表明对近期观测值预测的作用越重视,预测值对数据变化的反应速度也越快,但预测的修匀程度较低,估计值的精度也可能降低;反之,n值越大,预测值的修匀程度越高,但对数据变化的反映程度较慢。

不存在一个确定n值的规则。n一般在3~200之间,视序列长度和预测目标情况而定。一般对水平型数据,n值的选取较为随意;如果历史序列的基本发展趋势变化不大,考虑到较长期观测数据的修匀程度,则n应取大一点;如果重视近期观测数据,例如数据具有趋势性或阶跃性特点、或预测目标的趋势正在不断发生变化,为减少预测误差,则n应取小一点,以使移动平均值更能反映目前的发展变化趋势。

(三)简单移动平均法的特点及应用范围

1.特点

(1)优点 简单易行,容易掌握。

(2)缺点 只是在处理水平型历史数据时才有效,每计算一次移动平均需要最近的n个观测值,而现实中的历史数据远比水平型复杂,所以限制了移动平均法的应用范围。

2.应用范围

一般只适用于以月份或周为单位的短期预测;历史数据最好是水平型的。该法的另外一个用途是对原始数据进行预处理,以消除数据中的异常因素或除去数据中的周期变动成分。

【例1-6】 某品牌游戏机某年1、2月各周及3月第一周销售量见表1-11,请用简单移动平均法预测该游戏机3月份的销售量(取n=3)。

【解答】

(1)采用简单移动平均法,n取3:

1-11 某游戏机专卖店各周销售量

978-7-111-49223-8-Part04-50.jpg

3月第二周销售量:978-7-111-49223-8-Part04-51.jpg

3月第三周销售量:978-7-111-49223-8-Part04-52.jpg

3月第四周销售量:978-7-111-49223-8-Part04-53.jpg

故:3月份的总销售量=XM1+QM2+QM3+QM4=54+71+65+63=253千台

(2)为了使预测更符合当前的发展趋势,可以采用加权移动平均法,即将不同时期的序列给予不同的权重。如对预测的前一期、前二期和前三期分别赋予3、2、1的权重,则:

3月第二周销售量:978-7-111-49223-8-Part04-54.jpg

3月第三周销售量:978-7-111-49223-8-Part04-55.jpg

3月第四周销售量:978-7-111-49223-8-Part04-56.jpg

于是,3月份的游戏机总销售量预测为:

XM1+QM2+QM3+QM4=54+65+62+62=243千台

指数平滑法

(一)概念

指数平滑法又称指数加权平均法,是选取各时期的权重数值为递减指数数列的均值方法,实际上是加权移动平均法的一种变化。它解决了移动平均法需要n个观测值和不考虑t-n前时期数据的缺点,通过某种平均方式,消除历史统计序列中的随机波动,找出其中的主要发展趋势。

指数平滑法有一次指数平滑法、二次指数平滑法、三次指数平滑法和高次指数平滑法,这里只介绍一次指数平滑法。

(二)一次指数平滑法

一次指数平滑法是只对时序数列进行一次平滑处理,将本期指数平滑值作为下期预测值的预测方法。与简单移动平均法相似,都能够提供简单适用的预测,不同的是简单指数平滑法对先前预测结果的误差进行了修正。

该法适用于市场观测呈水平波动,无明显上升或下降趋势情况下的预测。

1.一次指数平滑法的步骤

(1)对时间序列数据进行一次指数平滑处理。

对时间序列x1x2,…,xt,其公式为

Ft=αxt+(1-αFt-1

式中 α——平滑系数,0<α<1;

xt——历史数据序列xt时的观测值;

FtFt-1——t时和t-1时的平滑值。

(2)将本期指数平滑值作为下期的预测值x′t+1,预测模型为:x′t+1=Ft

结合平滑公式,预测模型可写成

x′t+1=αxt+(1-αxt

2.一次指数平滑法的说明

(1)平滑系数α的确定 α越接近1时,说明近期观测值对预测值影响较大,即对近期影响变量因素的作用考虑较多,对预测值误差的修正作用就越大;当α=1时,本期预测值等于前一期观测值;当α接近于0时,对预测值误差的修正作用较小;当α=0时,本期预测值等于前一期预测值。研究表明,大的α值导致较小的平滑效果,而较小的α值会产生客观的平滑效果。

一般情况下:

1)观测值呈现较稳定的水平发展时,0.1≤α<0.3。

2)观测值波动较大时,0.3≤α<0.5。

3)观测值波动很大时,0.5≤α<0.8。

(2)初始值F0的确定 用指数平滑法预测,首先要确定初始值F0,一般按下列方法处理:

1)时间序列期数在20个以上时,初始值F0对预测结果的影响很小,可取F0=x1

2)时间序列期数小于20个时,初始值F0对预测结果有一定影响,可取前3~5个观测值的平均数代替,如978-7-111-49223-8-Part04-57.jpg

【例1-7】 某家用电器商场2011年1~10月份的电冰箱销售额见表1-12,请用一次指数平滑法预测该家用电器商场2011年11月份的销售额(α=0.3)。

1-12 某家用电器商场电冰箱销售额

978-7-111-49223-8-Part04-58.jpg

【解答】

(1)计算初始平滑值:978-7-111-49223-8-Part04-59.jpg

(2)由指数平滑法公式

F1=αx1+(1-αF0=0.3×33+(1-0.3)×34.33=33.93万元

F2=αx2+(1-αF1=0.3×38+(1-0.3)×33.93=35.15万元

F3=αx3+(1-αF2=0.3×32+(1-0.3)×35.15=34.21万元

……

由此类推,各期指数平滑值见表1-13。

1-13 各期指数平滑值

978-7-111-49223-8-Part04-60.jpg

故,11月份的销售额为x11=F10=37.43万元

定性预测法

(一)类推预测法

1.概念

类推预测法是根据市场及其环境的相似性,从一个已知产品或市场区域的需求和演变情况,推测其他类似产品或市场区域的需求及其变化趋势的一种判断预测方法。

2.适用情况

类推预测法具有极大的灵活性和广泛性,非常适用于新产品、新行业和新市场的需求预测。类推结果存在非必然性,运用类推预测法需要注意类别对象之间的差异性,特别是地区类推时,要充分考虑不同地区政治、社会、文化、民族和生活等方面的差异,并加以修正,才能使预测结果更接近实际。

3.类推预测法分类

根据预测目标和市场范围的不同,类推预测法可以分为:

(1)产品类推预测法。

(2)行业类推预测法。

(3)地区类推预测法。

(二)专家会议预测法

1.概念

专家会议预测法就是组织有关方面的专家,通过会议的形式,对产品的市场发展前景进行分析预测,然后在专家判断的基础上,综合专家意见,得出市场预测结论。

2.专家会议预测法分类

专家会议预测法包括三种形式:

(1)头脑风暴法 会议不带任何限制条件,鼓励与会专家独立、任意地发表意见,没有批评或评论,以激发灵感,产生创造性思维。

(2)交锋式会议法 与会专家围绕一个主题,各自发表意见,并进行充分讨论,最后达成共识,取得比较一致的预测结论。

(3)混合式会议法 也称质疑式头脑风暴法,是对头脑风暴法的改进。它将会议分为两个阶段:第一阶段是非交锋式会议,产生各种思路和预测方案;第二阶段是交锋式会议,对上一阶段提出的各种设想进行质疑和讨论,也可提出新的设想,相互不断启发,最后取得一致的预测结论。

(三)德尔菲法

1.概念

德尔菲法是在专家个人判断法和专家会议预测法的基础上发展起来的一种专家调查法,它广泛应用在市场预测、技术预测、方案比选、社会评价等众多领域。

2.德尔菲法的预测步骤

德尔菲法一般包括五个步骤:

(1)建立预测工作组 负责调查预测的组织工作。

(2)选择专家 明确预测的范围和种类后,依据预测问题的性质选择专家。

专家组由技术专家、宏观经济专家、企业管理者、行业管理者等构成,数量一般为20人左右,可根据预测问题的规模和重要程度进行调整。

(3)设计调查表 调查表的基本要求是:所提问题应明确,回答方式应简单,便于对调查结果的汇总和整理。比较常见的调查表有:请专家进行选择性预测,即从多种方案中择优选择;或是进行排序性预测,即对多种方案进行优先排序。

(4)组织调查实施 一般调查要经过2~3轮。对第一轮专家调查表进行收集统计后,须将结果表发送给专家;要求其对较为集中的预测事件提出进一步的意见,经预测工作组整理统计后,形成初步预测意见;如有必要再进行第三轮预测。

(5)汇总处理调查结果 进行进一步的统计分析和数据处理。

研究表明,专家应答意见的概率分布一般接近或符合正态分布,这是对专家意见进行数据统计处理的理论基础。因此调查结果通常取专家估计值的平均值、中位数、众数及平均主观概率等指标。

3.德尔菲法的优缺点

德尔菲法的匿名性、反馈性、收敛性、广泛性的特点,克服了一般集合意见法和其他预测法的不足,形成了德尔菲法较为突出的优点;同时,也存在一定的缺点(表1-14)。

4.适用范围

德尔菲法在下述领域运用较其他方法更能体现效果:

(1)缺乏足够的资料,如新产品的市场预测。

(2)长远规划或大趋势预测。

1-14 德尔菲法的优缺点

978-7-111-49223-8-Part04-61.jpg

(3)影响预测事件的因素太多。

(4)主观因素(如政策、方针、个人意志等)对预测事件的影响较大。

另外,德尔菲法也常用于风险分析,详见本部分第11章。

【例1-8】 某汽车制造企业为了提高产品销售量,委托一家咨询公司对某地区家用轿车市场进行分析。

咨询公司采用德尔菲法进行市场分析,选择了汽车经销商、企业和消费者代表共135人对中档汽车市场进行调查,以了解影响购买汽车的主要因素。

在第一轮调查中,咨询公司没有指定影响因素,而是让被调查者提出5个他认为最重要的因素。经过整理得出的主要因素见表1-15。

1-15 影响汽车购买的主要因素

978-7-111-49223-8-Part04-62.jpg

咨询公司将排名前五位的因素筛选出来,设计了第二轮调查,请被调查者从中选择3个他认为最重要的因素并排序(表1-16)。

1-16 第二轮调查意见整理

978-7-111-49223-8-Part04-63.jpg

【问题】

(1)请对第二轮调查结果进行分析,如果给予第一位3分,第二位2分,第三位1分,对影响销售量的五大主要因素进行排序,指出影响消费的三个最重要的因素。

(2)咨询公司建议企业采用降价竞争策略是否合理,为什么?

【解答】

(1)计算各因素得分(表1-17)(其中,权重为每项因素得分与全部因素得分总数的比例)。

从表中数据可知,价格、油耗、质量是影响销售量的三个最重要的因素。

(2)采用降价竞争策略是合理的,因为从上面的得分看出,消费者对价格高度敏感。

1-17 各因素得分表

978-7-111-49223-8-Part04-64.jpg

【解题思路】 2006年考过类似的案例,这是对注册咨询工程师实际工作能力的考查,知识不仅仅是记忆,而且应灵活运用。题目考核的是德尔菲的最后一步:汇总处理调查结果,进行进一步的统计分析和数据处理。处理的方法是加权平均法。案例比较简单,关键是在理解咨询方法的基础上,学会如何应用。

1.3 战略分析方法

市场战略类型

市场战略一般包括三个层次,即总体战略、基本竞争战略和职能战略,如图1-2所示。

(一)总体战略

总体战略是确定企业的发展方向和目标,明确企业应该进入或退出哪些领域,选择或放弃哪些业务。总体战略包括稳定战略、发展战略和撤退战略三大类。

978-7-111-49223-8-Part04-65.jpg

图1-2 市场战略类型图

1.稳定战略

又称防御型战略,是指限于经营环境和内部条件,企业基本保持在战略起点和范围的战略,包括无变化战略、利润战略等。

2.发展战略

发展战略又称进攻型、增长型战略,是指充分利用企业外部机会,挖掘企业内部优势资源,以求得企业更高层次发展的战略。发展战略是企业基本的战略选择,根据侧重不同又可细分为:

(1)新领域进入战略 是指企业为了摆脱困境或发现了新机会,为培育新的增长点而采取的产业拓展或市场拓展战略,包括进入新的市场、进入新的行业等。

(2)一体化战略 它包括纵向一体化战略和横向一体化战略。

1)纵向一体化战略又称垂直一体化战略,它是将企业生产的上下游组合起来一起发展的战略。纵向一体化战略又分后向一体化战略和前向一体化战略,前者是指企业进入其上游原料生产领域,后者是指企业进入其产品的下游消费领域。

2)横向一体化战略又称水平一体化战略,是企业为了扩大生产规模,降低生产成本,巩固企业市场地位,提高竞争能力而与同行的企业进行联合的一种战略。

(3)多元化战略 它包括相关多元化战略和不相关多元化战略。

1)相关多元化战略是以企业现有的设备和技术能力为基础,发展与现有产品或服务不同的新产品和服务。

2)不相关多元化战略是指企业进入完全不相关的行业。

3.撤退战略

又称退却型战略,是在那些没有发展或者发展潜力很小的行业退出的战略,包括紧缩战略、转向战略和放弃战略。

(二)基本竞争战略

基本竞争战略是确定开发哪些产品,进入哪些市场,如何与竞争者展开有效竞争等,包括成本领先战略、差异化战略和重点集中战略等三大类(表1-18)。

1-18 三种竞争战略的概念和特征

978-7-111-49223-8-Part04-66.jpg

(三)职能战略

职能战略是研究企业的营销、财务、人力资源和生产等不同职能部门如何组织,为企业总体战略服务的问题,包括研发战略、投资战略、营销战略、生产战略、财务战略、人力资源战略等,是实现企业目标的途径和方法。

总体战略和基本竞争战略的选择主要是根据产品特点、市场(行业)竞争状况和企业资源状况来决定的。

产品生命周期

(一)产品生命周期的划分

产品生命周期是指一种产品从发明推广到应用、普及和衰败的过程,传统上可分为四个阶段:导入期、成长期、成熟期和衰退期,如图1-3所示。产品处于不同的生命周期会影响企业战略的选择。

978-7-111-49223-8-Part04-67.jpg

图1-3 产品生命周期的四个阶段

产品生命周期模型提供了观察、分析行业成长性的一种方法,通过分析产品的市场发展前景,判断该行业是上升、稳定,还是处于衰退,从而把握行业的战略特征。

(二)各阶段的主要特点

判断产品处于生命周期的哪个阶段,主要的依据是产品在特性、生产和市场表现方面的不同特点(表1-19)。

1-19 产品生命周期各阶段的主要特点

978-7-111-49223-8-Part04-68.jpg

行业竞争结构分析

(一)行业竞争结构

行业竞争结构是指行业内企业的数量和规模的分布。一般按市场集中程度、进入和退出障碍、产品差异和信息完全程度等方面体现的不同特征分为完全竞争、寡头垄断、双头垄断、完全垄断四种类型(表1-20)。

(二)行业竞争结构分析模型

在这里主要介绍波特的“五因素模型”。他认为一个行业中的竞争,存在五种基本的竞争力量,即潜在的进入者、替代者的威胁、客户讨价还价的能力、供应商讨价还价的能力以及现有竞争对手之间的抗衡。供应商和购买者讨价还价可视为来自“纵向”的竞争,其他三种竞争力量可视为“横向”的竞争,如图1-4所示。

1-20 四种行业竞争结构的特征

978-7-111-49223-8-Part04-69.jpg

978-7-111-49223-8-Part04-70.jpg

图1-4 波特的五因素模型

主要的分析内容是:

(1)行业新进入者的威胁 带来的威胁可能是挤占现有企业的一部分市场份额,减少了原有的市场集中度;可能是带来行业资源供应的竞争,引起行业生产成本上升,导致现有企业利润下降。威胁的大小取决于行业的进入障碍和可能遭遇的现有企业的反击策略。

(2)现有竞争对手之间的竞争 这是五因素中最重要的竞争力量。包括行业内竞争者的数量、均衡程度、增长速度、固定成本比例、产品或服务的差异化程度、退出壁垒等;同时,还要考虑竞争者目前的战略及未来可能的变化、竞争者对风险的态度、竞争者的核心竞争能力等方面。

(3)替代品的威胁 威胁包括三个方面:替代品在价格上的竞争力;替代品质量和性能的满意度;客户转向替代品的难易程度;替代品还可能带来机会。

(4)供应商讨价还价的能力 影响企业与供应商的关系及其竞争优势的因素,包括供应商的数量、品牌、产品特色和价格,企业在供应商的战略地位,供应商之间的关系,从供应商中转移的成本,购买者采购的部件或原材料产品占其成本的比例,各买方之间是否有联合等。

(5)客户讨价还价能力 客户要求企业降低价格,提供更高质量的产品和服务,并使业内企业相互对立,从而导致行业盈利水平的降低。客户讨价还价的能力取决于客户的集中程度、产品市场的集中程度、客户自身垂直整合能力、客户对产品的了解、市场供求状况等因素。

从战略形成的角度看,五种竞争力量共同决定行业的竞争强度和获利能力。对同一行业或不同行业的不同时期,各种力量的作用是不同的。最危险的环境是进入壁垒低、存在替代品、由供应商或客户控制、行业内竞争激烈的产业环境。

企业竞争能力分析

企业竞争能力分析,主要基于企业内部要素进行分析评价,它取决于行业结构和企业相对市场竞争地位。企业竞争地位可以通过一些信号反映出来,涉及因素包括行业竞争分析和竞争对手分析两个层面,前者揭示了行业中各企业关键的成功因素和区别行业成功者的重要因素,后者提供了判断关键竞争企业相对优势和能力的信息。

企业竞争能力分析的工具有核心竞争能力分析、竞争态势矩阵等。

(一)核心竞争能力分析

1.概念

核心竞争能力是一家企业在竞争中拥有的比其他企业更具优势的关键资源或活动,它具有竞争对手难以模仿、不可移植,不随员工离开而流失等特点,它对公司的竞争力、市场地位和盈利能力起着至关重要的作用。

核心竞争能力对战略制订的重要意义在于:它能给公司带来具有宝贵竞争价值的能力,具有成为公司战略基石的潜力,为公司带来竞争优势。

2.企业竞争成功关键因素分析

竞争成功关键因素是指影响企业在市场上盈利能力的主要因素,是企业在特定市场获利必须拥有的技能、条件或资产。

处于不同行业的企业,其竞争成功关键因素可能存在较大差异;即使是在同一行业,在不同的发展时期,企业的竞争成功关键因素也会发生变化(表1-21)。

行业成功关键因素分析主要用来描述以下一些问题:顾客选择产品的因素、企业竞争成功具备的资源和能力、企业获得持续竞争优势的因素。成功企业一般在行业主要成功关键因素上都会保持竞争力,同时至少要在一项因素上超群。

1-21 不同行业的竞争成功关键因素

978-7-111-49223-8-Part04-71.jpg

(二)竞争态势矩阵

竞争态势矩阵,是通过行业内关键战略因素的评价比较,对比分析企业与主要竞争对手间的竞争能力、所面临的机会与风险大小,为企业制订战略提供一种竞争优势分析工具。分析步骤如下:

(1)首先确定行业中的关键战略因素,如市场份额、生产规模、设备能力、研发水平、财务状况、管理能力、成本水平等,这些是行业的关键成功因素和竞争优势的决定因素。不同行业的竞争关键因素可能完全不同(表1-21)。

(2)根据每个因素在该行业中成功经营的相对重要程度,确定每个因素的权重,从0(最不重要)~1(最重要),权重和为1。同一因素在不同行业的权重可能是不同的,反映了该指标对不同行业竞争成功的重要性不同。

(3)筛选出主要竞争对手,按每个指标对企业进行评分。对该行业中各竞争者在每个要素上的能力相对强弱进行评价,评价分数为1(最弱)、2(较弱)、3(相同)、4(较强)、5(最强)。在特定指标上得分最高的企业就拥有在那个指标上的竞争优势,其得分与其竞争对手得分的差值反映了其优势的大小。

(4)将各要素的评价值与相应的权重相乘,得出加权评分值。

(5)加总得到企业的总加权分,通过比较确定处于竞争能力最强和最弱地位的公司,以及被评价公司之间竞争优势的差异。

【例1-9】 2011年,杀毒软件开发行业市场竞争日趋激烈,AB公司为了改变企业的竞争战略,利用竞争态势矩阵对该企业的竞争能力与主要竞争对手X公司和Y公司进行了对比分析(表1-22)。请根据所给数据,分析该企业的竞争能力。

1-22AB公司的竞争态势矩阵

978-7-111-49223-8-Part04-72.jpg

(续)

978-7-111-49223-8-Part04-73.jpg

【解答】 通过计算各因素的加权平均分(填入表1-22中),得出各公司的总加权分,可看出,AB公司的综合竞争能力强于X公司和Y公司。

、SWOT分析

SWOT分析是对比竞争对手,分析企业自身的实力(即优势Strengths、劣势Weakness)和企业外部环境变化可能对企业带来的机会与挑战(即机会Opportunities和威胁Threats),进而制订企业最佳战略的方法。

SWOT分析实际上是企业外部环境分析和企业内部要素分析的组合分析。因此,企业外部环境评价矩阵(PEST分析[2])和内部要素评价矩阵构成了SWOT分析的方法基础。

(一)优势与劣势分析

竞争优势是指一个企业超越其竞争对手、实现企业目标的能力,可以是一个企业或它的产品有别于其竞争对手的任何优越的东西。如果一个企业在某一方面或几个方面的优势正是该行业企业应具备的关键成功要素,该企业的综合竞争优势就强。

影响企业竞争优势的持续时间,主要有三个关键因素:①建立这种优势要多长时间?②能够获得的优势有多大?③竞争对手作出有力反应需要多长时间?只有分析清楚了这三个因素,企业才能明确建立和维持竞争优势。

企业的优势和劣势通过企业内部因素来评价,相对竞争对手,企业的内部因素可以表现在研发能力、资金实力、生产设备、工艺水平、产品性能和质量、销售网络、管理能力等方面。可利用企业内部因素评价矩阵(表1-23),通过加权计算,定量分析企业的优、劣势。

(二)机会与威胁分析

机会与威胁分析主要着眼于企业外部环境带来的机会和威胁。外部环境发展趋势分为两大类:一类表示环境威胁,另一类表示环境机会。企业外部的不利因素包括:新产品替代、销售商拖延结款、竞争对手结盟、市场成长放缓、供应商讨价还价能力增强等,这些都将影响企业目前的竞争地位;外部机会如政策支持、技术进步、供应商良好关系、银行信贷支持等。

机会与威胁分析可利用企业外部因素评价矩阵来进行定量分析(表1-24)。

(三)企业战略选择

根据企业优、劣势分析和机会威胁分析,可以画出SWOT分析图,并据此制订企业所应采取的策略。SWOT分析图划分为四个象限,根据企业所在的不同位置,应采取不同的战略,SWOT提供了四种战略选择,如图1-5所示。

978-7-111-49223-8-Part04-74.jpg

图1-5 企业SWOT分析图

【例1-10】 近年来,随着国内外彩色电视市场的变化,竞争日益白热化,纷纷打出降价牌,力求在市场上占有一席之地。彩色电视生产厂家对彩色显像管的讨价还价能力增加,致使彩色显像管价格不断下降;同时,随着平板电视、等离子电视、液晶电视等的出现,对彩色显像管的需求正在发生变化。彩色显像管企业FIX面对市场变化,需要调整企业战略。试利用SWOT分析,帮助企业进行战略选择。假定企业内外因素评价矩阵的得分已知(表1-23和表1-24)。

1-23 某企业内部因素评价矩阵

978-7-111-49223-8-Part04-75.jpg

1-24 某企业外部因素评价矩阵

978-7-111-49223-8-Part04-76.jpg

【解答】

(1)根据企业内外因素评价矩阵,计算得出该企业的优、劣势加权得分和机会威胁加权得分。

(2)根据计算结果,在SWOT图上找到该企业目前所处的位置(用978-7-111-49223-8-Part04-77.jpg表示),如图1-6所示。

978-7-111-49223-8-Part04-78.jpg

图1-6 该企业的SWOT分析

FIX公司应采取增长性战略,利用优势和机会,保持现有的经营领域,并且继续全力以赴地在该领域扩大产品规模和品种,加大技术研发,增加大屏幕产品,引进新产品生产线,积极拓展国内和海外市场。

投资组合分析

对于拥有多种产品的企业,由于其不同的产品可能具有不同的市场地位和价值优势,要综合评价企业的价值能力,应进行投资组合分析。广泛采用的投资组合分析方法是矩阵分析方法,包括波士顿矩阵、通用矩阵等。

(一)波士顿矩阵

1.基本原理

波士顿矩阵也称成长—份额矩阵,是以企业经营的全部产品或业务的组合为研究对象,分析企业相关经营业务之间现金流量的平衡问题,寻求企业资源的最佳组合。波士顿矩阵示意如图1-7所示。

978-7-111-49223-8-Part04-79.jpg

图1-7 波士顿矩阵

图1-7横坐标表示企业相对市场份额,是指企业的某项产品或服务的市场份额与最大竞争对手的市场份额的比率,以1.0为界限划分为高低两个区域。纵坐标表示企业所在行业的增长率,表示该行业过去2年和今后2年的平均市场销售增长速度,通常以10%的增长速度为限划分为两个区域。

这样,波士顿矩阵将企业的业务划分为“明星”业务、“金牛”业务、“问题”业务和“瘦狗”业务四种类型,如图1-7所示。

2.波士顿矩阵的应用

(1)不同业务对应的战略应用 波士顿矩阵将企业的不同业务组合到一个矩阵中,可以简单地分析企业在不同业务中的地位,从而针对不同业务制订有效战略,集中企业资源,提高企业在有限领域的竞争能力。四种业务类型的特点和战略应用见表1-25。

1-25 波士顿矩阵四种业务类型特点和战略应用一览表

978-7-111-49223-8-Part04-80.jpg

(续)

978-7-111-49223-8-Part04-81.jpg

注:1.发展策略:目的是扩大产品的相对市场份额,甚至不惜放弃近期利润。

2.稳定策略:目的是为了保持产品的相对市场份额,增加短期现金收入。

3.撤退策略:目的在于出售或清理某些业务,以便把资源转移到更有潜力的领域。

(2)产品组合的发展战略 企业往往同时拥有“明星”、“金牛”、“问题”和“瘦狗”四种业务,因此,企业在总体上存在如何对各业务战略进行协调的问题。

1)成功的战略协调路线是:企业利用“金牛”业务提供的现金收益,用于支持“问题”业务的发展,使其成为“明星”业务;“明星”业务经过一段时间的发展后,由于市场的增长率水平逐渐下降,成为能够为企业提供大量现金收益的“金牛”业务;对于“瘦狗”业务企业则采取收缩或者撤退战略,从而使企业发展进入良性循环。如图1-8a所示。

978-7-111-49223-8-Part04-82.jpg

图1-8 波士顿矩阵的应用

a)成功的战略路线 b)失败的战略路线

2)企业错误的战略协调路线是:往往因为将“金牛”业务带来的现金收益和应该用于支持“明星”业务的投资转而投入“瘦狗”业务或风险较大的“问题”业务,从而导致一系列问题。如图1-8b所示。

【例1-11】 X公司为食品生产公司,旗下分别有A、B、C、D四大类产品。这些产品相关的市场数据,见表1-26。在该四类产品市场上,X公司最大的竞争对手为Z公司。

1-26 四类食品2011年市场销售数据 (单位:万元)

978-7-111-49223-8-Part04-83.jpg

【问题】

(1)请用波士顿矩阵分析X公司四类产品分别属于哪种业务?

(2)X公司对B、C、D产品应分别采取什么策略,并分析采取该策略的原因。

(3)请分析该企业A、B、C三类产品今后的战略发展方向。

【解答】

(1)A产品的相对市场份额为:4000/3200=1.25>1.0;市场增长率为:15%>10%。故A产品为“明星”业务。

B产品的相对市场份额为:3600/2900=1.24>1.0;市场增长率为:2%<10%。故B产品为“金牛”业务。

C产品的相对市场份额为:2500/4000=0.625<1.0;市场增长率为:16%>10%。故C产品为“问题”业务。

D产品的相对市场份额为:600/2000=0.3<1.0;市场增长率为:3%<10%。故D产品为“瘦狗”业务。

四类产品相对市场份额如图1-9所示。

978-7-111-49223-8-Part04-84.jpg

图1-9 四类产品相对市场份额

(2)B产品是“金牛”业务。该类产品相对市场份额很高,可以为企业带来大量稳定的现金流。但由于行业前景不看好,应对其采取稳定策略,不再追加投资,保持产品的市场份额。

C产品是“问题”业务。该类产品的市场增长率达到16%,发展前景良好,同时其相对市场份额达到0.625,超过了0.5,说明该公司自身在C产品上具有一定的竞争优势,应该对C产品实行发展战略,追加投资、扩大市场份额,使其成为“明星”业务。

D产品为“瘦狗”业务,该产品的市场增长率及相对市场份额都较低,行业前景不看好,同时该类产品自身获利能力也较差,应对其采取撤退策略,逐步缩小规模,最后退出该领域。

(3)X公司三类产品的策略路线如图1-10所示。

A产品为“明星”业务,随着市场增长率的降低,逐步成为可以提供大量现金收益的“金牛”业务。

B产品为“金牛”业务,公司应尽力维持其相对市场份额,用B产品产生的现金收益支持C产品(问题业务)的发展,使C产品成为“明星”业务。

此外,因B产品的市场增长率仅为2%,今后该产品的市场可能逐渐萎缩,该产品可能成为“瘦狗”业务,公司应逐步缩减该业务并最终退出该领域。

978-7-111-49223-8-Part04-85.jpg

图1-10 X公司四类产品的策略路线

(二)通用矩阵

1.概念

通用矩阵是为克服波士顿矩阵的局限性而提出的改良分析矩阵,也称行业吸引力—企业实力矩阵。在理论上与波士顿矩阵类似,但考虑了更多的因素。

建立通用矩阵,需要找出内部和外部因素,然后对各因素加权,得出衡量内部因素和行业吸引力外部因素的标准。可以采用行业吸引力分析方法和企业内部评价矩阵,对行业吸引力和企业实力进行评价。

(1)行业吸引力分析 影响行业吸引力的主要因素包括行业发展潜力、盈利水平和行业竞争结构等,行业吸引力可以利用加权评分表来进行评价(表1-27)。

1-27 某行业的行业吸引力加权评分表

978-7-111-49223-8-Part04-86.jpg

注:1.影响行业吸引力的因素较多,不同行业的具体评价因素有所差别,且实力不同的企业,所选择的评价因素也有差别,表中列出的是一些通常认为的主要评价因素。

2.对实力不同的企业来说,同一关键因素的权重也有差别。

(2)企业内部因素评价矩阵见表1-23。

2.通用矩阵图

该矩阵的实质是把企业外部环境与企业内部实力归纳在一个矩阵内,如图1-11所示。图1-11中标出了某企业的7种产品,圆圈的大小表示这些产品的总体市场规模,圆圈中的数字表示企业产品的绝对市场份额。

978-7-111-49223-8-Part04-87.jpg

图1-11 通用矩阵

通用矩阵的纵坐标用行业吸引力代替了行业增长速率,横坐标用企业实力代替了相对市场份额,同时还增加了中间等级,消除了波士顿矩阵坐标尺度过粗的缺陷。

3.通用矩阵的应用

根据业务单元在市场上的实力和所在地市场的吸引力,通用矩阵可以用来对这些业务单元进行评估,评价一个公司的业务单元组合的强弱,并以之为基础进行战略规划。

通用矩阵可以划分为三部分、9个方格,如图1-12所示。右下角格子里的产品吸引力很低,企业因此采取利用或退出战略,迅速获利,收回投资,放弃该业务;右上角到左下角对角线的格子里的产品吸引力中等,企业可采取区别对待战略、适当盈利策略;左上角格子里的产品最具有发展前途,企业应采取积极的投资发展战略、择优重点发展战略,扩大生产,增加盈利能力。

营销策略研究

(一)消费分析

978-7-111-49223-8-Part04-88.jpg

图1-12 通用矩阵的企业战略选择

消费者的需求是市场营销的出发点和回归点,消费分析是营销策略研究的基础。

1.消费行为研究的主要内容

(1)消费习惯和偏好 研究消费者的消费动机、消费频率、购买习惯、价格偏好、质量偏好等,识别企业的主要消费群体。

(2)消费行为的变化 认识消费行为的变化规律,为制订营销策略提供指导。

(3)影响消费的因素 识别影响消费的主要因素,分析这些因素的变化趋势,从而制订有效的营销策略。

2.影响消费行为的主要因素

1)消费者自身条件。

2)消费环境。

3)企业形象。

4)客观因素。

3.消费行为的产生

消费行为的产生如图1-13所示。

(二)市场营销策略

营销策略研究一般应分析产品或服务的销售方式、销售渠道、销售网点、价格定位、宣传手段、结算方式、售后服务等。营销策略研究必须以市场为导向,以消费者为中心,为顾客及股东创造价值。

(1)4P组合理论 即产品、价格、渠道和促销。

(2)11P组合策略 科特勒在原有的4P组合的基础上加上政治权力、公共关系、探查、分割(市场细分)、优先、市场定位和人员,即11P组合策略。

(3)4C和4R理论 4C是消费者的需求与欲望、成本、便利和沟通;4R是关联、反应、关系和回报。

【专家点评】

978-7-111-49223-8-Part04-89.jpg

图1-13 消费行为的产生过程

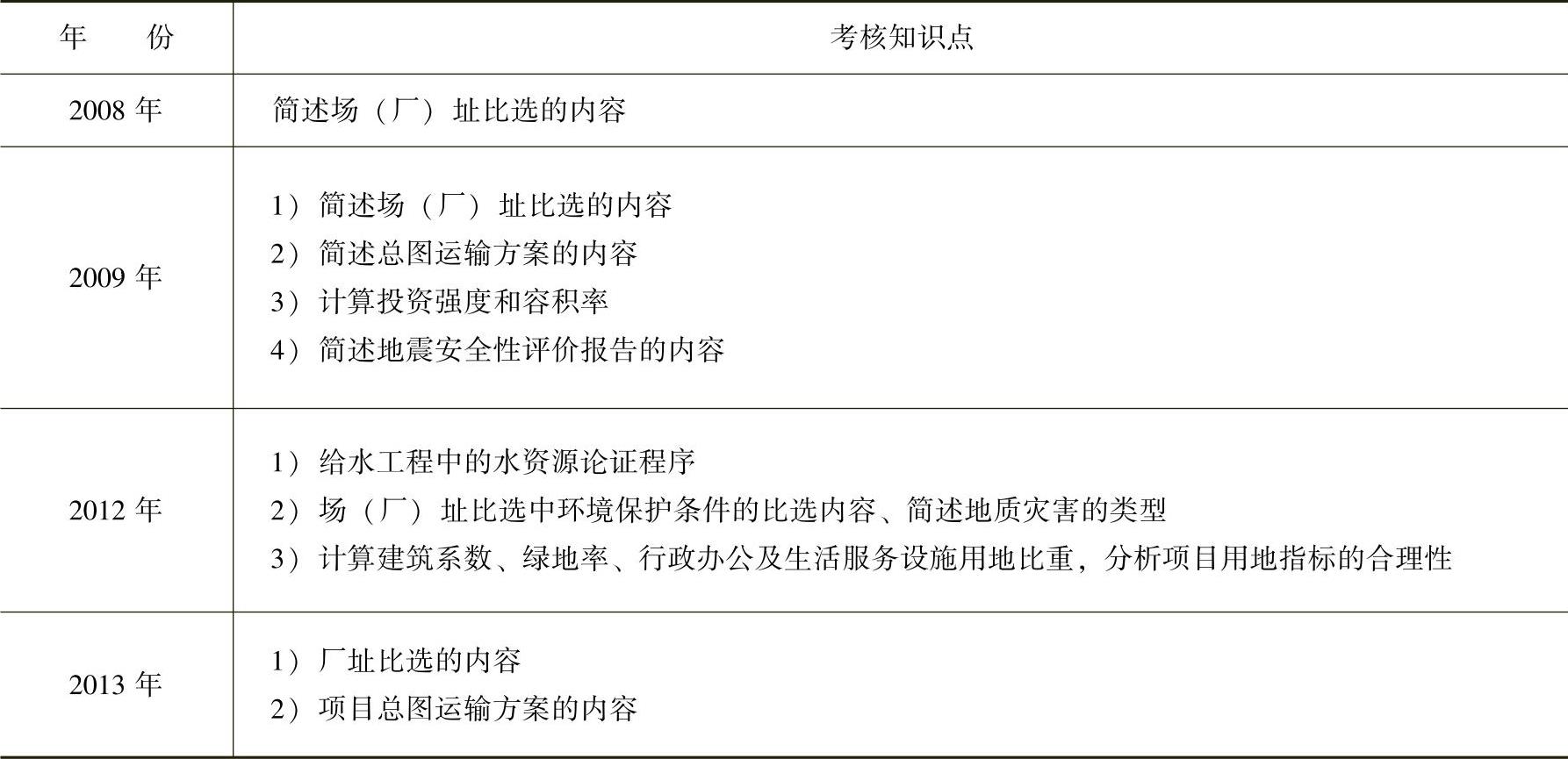
本章内容的考核方式通常是市场分析和战略分析单独考核,每题考2~3种方法,或两块内容结合出题,不管哪种题型,关键是按照所给问题的顺序答题,形成清晰的解题思路。2010—2014年考核过的知识点见表1-28,以前年份的真题可作练习之用。

1-282010—2014年考核过的知识点

978-7-111-49223-8-Part04-90.jpg

考核方式是定量和定性相结合,因此复习时不能只顾训练计算而忽略对定性内容的复习,尤其是战略分析案例,定性内容考核比较多。下面是总结的一些复习方法和解题思路。

(1)定量的市场预测方法复习一定要记牢公式,弄清各种方法所涉及的变量之间的关系,不要混淆。

(2)除了考核定性分析方法外,定量方法中的特点、适用范围等定性内容也在考核之列;难度都不大,一般不会要求写很多内容,写出要点即可得分。

(3)战略分析的案例容易摸不清思路,战略问题的解决通常是先对行业的竞争状况进行分析,在此基础上分析企业在市场中的竞争能力,然后进一步分析企业的内外因素,利用SWOT分析、产品投资组合分析(波士顿矩阵和通用矩阵)等工具,判断产品所处的特征区域,从而确定企业的战略应用。

练习题

C公司所处行业内,排名前五位企业A、B、C、D、E的市场占有率分别为30%、25%、22%、10%和6%。已知该行业具有以下特征:

(1)企业面临的消费者比较分散,产品一般可以通过大众零售渠道进行销售,消费者的议价能力不高,但是由于产品特别是市场前3位企业生产的产品之间差异越来越小,因此顾客选择的机会较多。

(2)行业生产所需的原材料供应主要集中在两家供应商,而且两家供应商目前在区域市场划分和价格方面达成了“默契”,主要原材料目前暂无替代品。

(3)行业产品升级随科技的发展越来越快,因此,原有的替代产品由于更新速度较慢,对本产业的替代威胁反而下降,但是仍然存在近年内出现新技术推动的更具威胁的新替代产品的可能。

(4)本行业属于资本和技术密集型产业,目前面临的国内新进入者较少,但随着中国入世开放承诺的实现,对外国投资者的限制将逐渐消除。

【问题】

(1)运用五因素模型对市场的特征进行简单分析,并考虑其对该市场竞争强度的影响。

(2)C公司的内部外部因素评价见表1-29,根据表中的数据画出SWOT分析图,分析C公司应选择何种战略,并说明理由。

1-29C公司的内部外部因素评价

978-7-111-49223-8-Part04-91.jpg

参考答案

(1)根据五因素模型分析得出:

特征1)属于客户讨价还价能力的因素,该因素削弱了竞争强度。

特征2)属于供应商讨价还价能力的因素,该因素增强了行业的竞争强度。

特征3)属于替代品威胁的因素,目前该因素削弱了行业的竞争强度,但未来有增强竞争强度的可能。

特征4)属于新进入者威胁的因素,该因素目前削弱了行业的竞争强度,但未来可能会增强竞争强度。

(2)计算C公司优劣势和机会威胁得分:

优劣势:3×0.3+4×0.15+4×0.15+3×0.15+(-1)×0.15+(-2)×0.1=2.2

机会威胁:3×0.2+4×0.2+(-2)×0.15+(-1)×0.2+(-2)×0.25=0.4

根据计算结果可以画出SWOT分析图,如图1-14所示。

978-7-111-49223-8-Part04-92.jpg

图1-14 SWOT分析图

从图1-14中可以看出,企业的竞争优势较为明显,外部的机会和威胁同时存在,因此,应当增加投资,充分发挥企业的优势占领市场,企业应选择发展战略,具体说是增长型战略。

【解题思路】 解答战略分析案例题,一般的思路就是先对行业的竞争状况进行分析,然后在此基础上分析企业在市场中竞争地位以及优势和劣势,最后根据分析结果确定企业的战略选择。

第2章 建设方案研究

【本章结构】

978-7-111-49223-8-Part04-93.jpg

【重点难点】

关键是各研究方案的比选内容

【内容精解】

根据大纲要求,本章仅就产品方案和建设规模、场(厂)址比选、总图运输方案、工程方案及配套工程,进行简单介绍。

2.1 产品方案和建设规模

产品方案

(一)概述

产品方案(也称产品大纲)即拟建项目的主导产品、辅助产品或副产品及其生产能力的组合方案,包括产品品种、产量、规格、质量标准、工艺技术、材质、性能、用途、价格、内外销比例等。

产品方案需要在产品组合研究的基础上形成,首先需要确定项目的主要产品、辅助产品、副产品的种类及其生产能力的合理组合,使它与技术、设备、原材料及燃料供应等方案协调一致。

(二)产品方案研究应考虑的因素

(1)市场需求。

(2)国家产业政策和企业发展战略。

(3)专业化协作。

(4)资源综合利用。

(5)环境制约条件。

(6)原材料、燃料供应。

(7)技术设备条件。

(8)运输和储存条件。

(三)产品方案的比选

考虑上述因素,进行产品方案比选后提出推荐方案。

建设规模

建设规模也称生产规模,是指项目在所设定的正常生产运营年份可能达到的生产或者服务能力。建设规模是在产品方案的基础上,结合工艺技术、原材料和能源供应、协作配套、项目投融资以及规模经济等因素进行的研究。

(一)建设规模研究应考虑的影响因素

(1)合理经济规模 合理经济规模是项目投入产出处于较优状态,资源和资金可以得到充分利用,并可获得最佳经济效益的规模。

(2)市场需求对规模的影响 当产品的市场需求变化快、品种规格多时,应采用中、小规模战略;当产品适应性强,市场需求量大,品种规格变化较小时,可以采用大、中规模战略。

(3)资源供应及其他外部建设条件。

(4)生产技术和设备的先进性及其来源。

(5)资金的供应量。

(6)环境容量 建设规模的确定,既要考虑当地环境的承受能力,还要考虑企业污染物控制总量。

(7)社会因素和政策法规。

(8)行业因素。

(9)改扩建与技术改造项目 此类项目应充分研究拟建项目生产规模与企业现有生产规模的关系。

(二)建设规模的合理性分析

(1)符合产业政策、规划和准入条件。

(2)收益的合理性。

(3)资源利用的合理性 主要应考虑资源利用的可靠性、有效性和经济性;并体现减量化、再利用、资源化的原则。

(4)外部条件的适应性与匹配性 项目的建设规模应与市场需求相适应,各种资源供应能满足建设规模的要求,并且稳定可靠、价格合理。

(5)对于改扩建与技术改造项目,其建设规模的确定应与现有装置有效结合和匹配。

2.2 场(厂)址选择

场(厂)址选择是指根据地区规划、城市规划等的要求,结合拟选项目的性质、功能、条件研究等选择建设地点或地址的工作。

影响项目选址的区域因素

(1)自然因素 即自然资源条件和自然条件。

(2)运输因素 即交通运输设施及能力。

(3)市场因素 即产品销售市场、原材料市场、动力供应市场。

(4)劳动力因素 即劳动力市场与分布、劳动力资源、劳动力素质、劳动力费用等。

(5)社会和政策因素。

(6)集聚因素。

场(厂)址比选

场(厂)址比较的主要内容包括建设条件比较、投资费用比较、运营费用比较、环境保护条件比较和安全条件比较。比较内容通常是以“比较表”的形式列出(表2-1)。

2-1 场(厂)址比选内容列表(简略)

978-7-111-49223-8-Part04-94.jpg

地质灾害危险性评估

按照规定,有可能导致地质灾害发生的工程项目建设和在地质灾害易发区内进行工程建设,在申请建设用地之前必须进行地质灾害危险性评估。地质灾害危险性评估应在项目决策分析与评价阶段进行,并将评估报告作为可行性研究报告的组成部分。

1.地质灾害危险性评估报告的内容

包括:①工程建设可能诱发、加剧地质灾害的可能性;②工程建设本身可能遭受地质灾害危害的危险性;③拟采取的防治措施等。

2.“三同时”规定

经评估认为可能引发地质灾害或可能遭受地质灾害危害的建设工程,应当配套建设地质灾害治理工程。地质灾害治理工程的设计、施工和验收应当与主体工程同时进行。

项目用地预审

国家规定,在建设项目审批、核准、备案阶段,国土资源管理部门应依法对建设项目涉及的土地利用事项进行审查,这是必要的前置条件。

1.项目用地预审的申请

需审批的建设项目在可研阶段,由建设用地单位提出预审申请;需核准的建设项目在核准前,由建设单位提出预审申请;需备案的建设项目在办理备案手续后,由建设单位提出预审申请。

2.项目用地预审申请报告的内容

1)拟建项目的基本情况。

2)拟选址占地情况。

3)拟用地面积确定的依据和适用建设用地指标情况。

4)补充耕地初步方案。

5)征地补偿费用和矿山项目土地复垦资金的拟安排情况等。

6)项目建议书批复文件或项目备案批准文件。

注意:项目选址位于地质灾害易发区的,要提交地质灾害危险性评估报告。

3.项目用地预审的原则和内容

(1)应遵循的原则 符合土地利用总体规划;保护耕地,特别是基本农田;节约和集约利用土地;符合国家供地政策。

(2)用地预审的内容

1)项目选址是否符合土地利用总体规划,是否符合国家供地政策和土地管理法律、法规规定的条件。

2)用地规模是否符合有关建设用地指标的规定。

3)项目占用耕地的,补充耕地补充方案是否可行。

4)征地补偿费和矿山项目土地复垦资金的拟安排情况。

5)项目用地需修改土地利用总体规划的,规划的修改方案、规划修改对规划实施影响评估报告等是否符合法律、法规的规定。

4.项目用地预审的有效性

项目用地预审文件有效期为两年,未经预审或预审未通过的,不得批复可行性研究报告、核准项目申请报告;不得批准农用地转用、土地征收,不得办理供地手续。

注意:场(厂)址选择、地质灾害危险性评估、用地预审、土地利用总体规划(参见第二部分第4章)是关联性比较强的四块内容,容易出综合性案例。

2.3 总图运输方案

总图运输方案

总图运输方案研究主要是依据确定的项目建设规模,结合场地、物流、环境、安全、美学等条件和要求,对工程总体空间和设施进行的合理布置。

(一)总体布置与厂区总平面布置

1.总体布置的要求

应满足生产工艺过程要求,满足厂内外运输的要求,适应自然条件和城市规划的要求,符合防火、安全、环境保护和卫生规划的要求。

2.厂区总平面布置的要求

厂区总平面布置是在总体布置基础上,根据工厂性质、规模、生产流程等各方面要求,结合场地自然条件及厂外配套设施分布,进行合理布置,比选择优。

(二)竖向布置

厂区竖向布置主要是根据工厂的生产工艺要求、运输要求、场地排水以及厂区地形、工程地质、水文地质等条件,确定建设场地上的高程(标高)关系,合理组织场地排水。

竖向布置应与总体布置和总平面布置相协调;充分利用地形,选择相适应的竖向布置形式;保证场地排水通畅,不受潮水、内涝、洪水的威胁。

(三)运输

企业物流系统由原料供应物流、生产物流和销售物流组成。运输是物流活动的核心。运输活动包括供应和销售过程中用车、船、空运及管道、传送带方式对物资的输送。可行性研究阶段要通过经济技术比较,确定原料供应物流和销售物流的运输方案(即厂外运输方案),同时确定生产物流的运输方案(即厂内运输方案)。

厂外运输方案的经济技术比较因素一般包括:运输距离、包装方式、线路能力、运费、运输工具来源、运力、运输可靠程度、安全程度、承运公司资质等。

(四)厂区道路

可行性研究阶段的厂区道路方案设计的内容包括道路形式、路面宽度和纵坡的确定,以及路面的选择。其深度须满足总平面布置、土石方量计算和投资估算的要求。

(五)绿化

厂区绿化布置是总平面布置的内容之一,也是环境保护的重要措施之一。工业项目绿化应按照国土资源部《工业项目建设用地控制指标(试行)》规定,严格控制厂区绿化率(绿地率不得超过20%);用地范围内不得建造“花园式工厂”;同时工厂的绿地率应符合有关标准和规范。

厂区绿化系数=(厂区绿化用地计算面积/厂区占地面积)×100%

(六)总图技术经济指标

1.概述

厂区总平面布置的技术经济指标应执行国土资源部关于《工业项目建设用地控制指标(试行)》(国土资发〔2004〕232号)的规定。它是贯彻国家供地政策,集约用地、节约用地及对土地资源合理利用的需要,是土地预审报告、项目申请报告中的重要内容。总图技术经济指标可用于多方案比较或与国内、外同类先进工厂的指标对比,以及进行企业改、扩建时与现有企业指标对比,还可用于衡量设计方案的经济性、合理性和技术水平。

工业项目建设用地控制指标由投资强度、容积率、建筑系数、行政办公及生活服务设施用地所占比重、绿地率五项指标构成。严禁在工业项目用地范围内建造成套住宅、专家楼、宾馆、招待所和培训中心等非生产性配套设施;工业企业内部一般不得安排绿地,但因生产工艺等特殊要求需要安排一定比例绿地的,绿地率不得超过20%。

2.几个重要的用地控制指标计算

(1)投资强度计算

投资强度=项目固定资产总投资(万元)/项目总用地面积(万m2

式中,项目固定资产总投资包括厂房、设备和地价款。

(2)建筑系数及场地利用系数的计算

1)建筑系数计算

建筑系数=(建筑物占地面积+构筑物占地面积+堆场用地面积)/项目总用地面积×100%

2)场地利用系数计算

场地利用系数=建筑系数+[(道路、广场及人行道占地面积+铁路占地面积+管线及管廊占地面积)/项目总用地面积×100%]

建筑系数和场地利用系数是衡量项目总平面布置水平的重要指标。一般工业项目建筑系数应不低于30%。

(3)容积率计算

容积率=总建筑面积/总用地面积

当建筑物层高超过8m,在计算容积率时该层建筑面积加倍计算。

(4)行政办公及生活服务设施用地所占比重

行政办公及生活服务设施用地所占比重=行政办公、生活服务设施占用土地面积/项目总用地面积×100%

当无法单独计算行政办公和生活服务设施占用土地面积时,可以采用行政办公和生活服务设施建筑面积占总建筑面积的比重计算得出的分摊土地面积代替。

工业项目所需行政办公及生活服务设施用地面积不得超过工业项目总用地面积的7%。

总图运输方案比选

应对总图布置方案从技术经济指标和功能方面进行比选,择优推荐。

(一)技术指标比选

比选内容:应用前面提到的16项技术经济指标进行比选。

(二)总图布置费用的比选

比选内容:土石方费用、地基处理费、地下管线费用、防洪抗震设施费用。

(三)其他比选内容

(1)功能比选 主要比选生产流程的短捷、流畅、连续程度,项目内部运输的便捷程度以及安全生产满足程度等。

(2)拆迁方案比选。

(3)运输方案的比选 在满足生产的功能条件前提下,进行技术经济比选。

2.4 工程方案及配套工程

工程方案

也称建筑工程方案,是构成项目的实体,内容是研究论证主要建筑物、构筑物的建造方案。

(一)工程方案选择的基本要求

(1)满足生产使用功能要求。

(2)适应已选定的场(厂)址(线路走向)。

(3)符合工程标准规范要求。

(4)经济合理 技术改造项目的工程方案,应合理利用现有场地、设施,并力求新增的设施与原有设施协调。

(二)工程方案研究内容

(1)一般工业项目 它主要研究其建筑特征,建筑物、构筑物的结构形式,以及特殊建筑要求,基础工程方案,抗震设防等。

(2)矿产开采项目 它主要研究开采方式(井下开采或者露天开采)。

(3)铁路项目工程方案 它主要包括线路、路基、轨道、桥涵、隧道、站场以及通信信号等方案。

(4)水利水电项目工程方案 它主要包括防洪、治涝、灌溉、供水、发电等工程方案。

(三)建筑和结构方案比选

在满足生产需要的前提下,按照适用、经济、美观的原则,结合建设场地的具体条件,合理开展土建工程方案研究。对大型建(构)筑物、重要建(构)筑物采用的结构方案应通过经济技术比选确定。

(四)防震抗震与地震安全性预评价

1.防震抗震

根据所在区域地震历史概况,结合工程特点,制订切实可行的防震抗震措施,力求把地震灾害和造成的次生灾害减少到最小程度。可行性研究阶段,应当按照抗震设防要求和抗震设计规范,提出抗震设计措施。

2.地震安全性评价

中华人民共和国国务院令第323号文发布的《地震安全性评价管理条例》第19条规定:县级以上人民政府负责项目审批的部门,应当将抗震设防要求纳入建设工程可行性研究报告的审查内容。咨询人员应协助地震安全性评价单位做好地震安全性评价。

地震安全性评价报告应当包括:工程概况和地震安全性评价的技术要求;地震活动环境评价;地震地质构造评价;设防烈度或者设计地震动参数;地震地质灾害评价;其他有关技术资料。

配套工程

建设项目的配套工程是指公用工程、辅助工程和厂外配套工程。公用工程方案是项目建设方案的重要部分,必须做到方案优化、工程量明确。

公用和辅助工程一般包括:给水排水工程、供电与通信工程、供热工程、空调系统、分析化验、维修设施、仓储设施等。

厂外配套工程通常包括:铁路专用线、道路、业主码头,水源及输水管道,供电线路及通信线路,供热及原材料输送管道,厂外仓储及原材料堆场,固体废弃物堆场,危险废物填埋场,固体物料输送工程等。

(一)给水排水工程

1.给水工程

(1)水源选择。

(2)水资源论证。

对于直接从江河、湖泊或地下取水,国际跨界河流、国际边界河流和跨省内陆河流取水,并需申请取水许可证的新建、改建、扩建的建设项目,建设项目业主单位应按规定进行建设项目水资源论证,并获得水资源主管部门审批。资源性缺水地区如果通过水权转让获得用水指标,应编制水权转让可行性研究报告,签订水权转让协议并获得水资源流域主管部门审批。

(3)净水厂及给水泵站。

(4)用水量。

(5)给水系统。

(6)节水指标。

1)重复使用率。重复利用水量与总用水量之比。

2)单位产品耗水量。新水总量与产品总量之比。

3)新水利用系数。新水量与外排水量之差同新水量之比。

2.排水工程

排水工程一般按照清污分流、分质排放的原则设置。排水系统一般包括清净废水系统、生活污水系统、生产污水系统(含污染区的初期雨水)、雨水排水系统等。

3.污水处理

根据生产过程排出的污水水质、水量及排放标准,通过技术经济比较,确定污水处理工艺、主要设备,并说明污水处理场进水水质、排水水质。

4.污水排放口及纳污水体

应提出批准的污水排放口位置和纳污水体名称、现状。

(二)供电工程

1)供电电源包括当地电网、自备电源、电网与自备电源相结合。

2)供电系统内容要包括:负荷计算、负荷等级、功率因数补偿、电线和电缆、变配电所布置、容量、供电范围、主要设备选择等。

3)谐波影响。

(三)通信工程

通信系统一般包括行政电话系统、调度电话系统、无线通信系统、扩音对讲系统、火灾报警系统、工业电视监督系统和管理现代化系统等。

(四)供热工程

(1)热源选择 热源一般包括余热回收利用形成的热源、集中热源、企业自备热源。选择热源的次序为:余热利用热源,当地集中供热设施热源富余能力,对集中热源进行改、扩建,自建热源。

(2)热负荷确定 一般应按照生产、采暖、生活、制冷和通风空调等热负荷条件及余热回收条件,列表计算、汇总,并提出供热负荷一览表。

(3)燃料选择 项目所需的燃料包括生产工艺、公用和辅助设施、其他设施所用燃料。

(4)供热方案 要贯彻国家的能源政策,合理使用能源,节能技术利用,考虑能量的分级利用和热、电、动的联合利用,技术上先进,经济上合理。

(5)全厂蒸汽系统。

(五)维修设施

工厂维修设施是保证生产正常运转所不可缺少的配套工程,要根据生产规模、设备特点、外协条件等多种因素考虑相应的配置。一般应在保证主要生产设备完好和正常生产的前提下,力求减少规模,有外协条件的尽量争取外协。

(六)仓贮设施

(1)仓库的组成。

(2)贮存方式 采取封闭库、棚库、露天存放、贮罐等。

(3)贮存期和贮存量。

(七)厂外配套工程

1.厂外配套工程内容

(1)运输配套项目。

(2)公用工程配套项目。

(3)环保配套项目。

(4)其他配套项目 例如防洪、防浪防潮、排洪工程等。

2.厂外配套工程方案研究

厂外配套工程建设涉及外部因素较多,必须在充分调查研究的基础上进行技术经济综合分析、论证,选择较优方案。厂外配套工程方案的设计要符合以下要求:

(1)根据项目生产特点和使用要求,结合项目所在地区的具体条件,遵照保证生产、因地制宜、合理配置的原则进行。

(2)厂外配套工程建设应与城市、地区的规划相协调,要统筹安排,保证城市、地区基础设施的合理布局。

(3)要考虑使用管理方便,同时充分利用当地已有的条件和设施,以及生产协作条件,力求减少工程量,节省投资。

(4)要符合环保,防止造成新的污染点。

【专家点评】

此章内容细节比较多,属重要考点,历年均有考核,出题方式比较简单,重点是掌握各方案的比选内容。2008—2013年考核情况见表2-2。

2-22008—2013年建设方案研究部分考核内容

978-7-111-49223-8-Part04-95.jpg

练习题

某项目进行建设方案研究,选定厂址后向国土资源部门提出预审申请,编制了用地预审申请报告。请以注册咨询工程师的身份简单阐述一下场址比较和总图运输方案比选的主要内容及用地预审申请报告的主要内容。

参考答案

场(厂)址比较的主要内容包括建设条件比较、投资费用比较、运营费用比较、环境影响比较和安全条件比较五个部分;应对总图布置方案从技术经济指标和功能方面进行比选,包括技术指标比选、总图布置费用的比选和其他比选内容(例如功能比选、拆迁方案比选、运输方案的比选)。

项目用地预审申请报告的主要内容有:①拟建项目的基本情况;②拟选址占地情况;③拟用地面积确定的依据和适用建设用地指标情况;④补充耕地初步方案;⑤征地补偿费用和矿山项目土地复垦资金的拟安排情况等;⑥项目建议书批复文件或项目备案批准文件。

第3章 循环经济与能源资源开发利用

【本章结构】

978-7-111-49223-8-Part04-96.jpg

【重点难点】

(1)循环经济评价指标体系。

(2)项目节能评价。

【内容精解】

3.1 循环经济发展政策

无论是利用土地资源、矿产资源、水资源还是利用能源资源,都应遵循循环经济的基本要求,提高项目资源综合利用水平。

循环经济的3R原则

我国《循环经济促进法》规定,循环经济是指在生产、流通和消费等过程中进行的减量化、再利用、资源化活动的总称。循环经济的3R原则就是资源利用的减量化、再利用、资源化原则,在资源利用的各个环节做到合理利用资源、最大限度地减少废弃物排放,力争做到排放的无害化,实现资源再循环利用。

(1)减量化 它是指在生产、流通和消费等过程中减少资源消耗和废物产生。

(2)再利用 它是指将废物直接作为产品或者经修复、翻新、再制造后继续作为产品使用,或者将废物的全部或者部分作为其他产品的部件予以使用。

(3)资源化 它是指将废物直接作为原料进行利用或者对废物进行再生利用。

发展循环经济的基本管理制度

(1)规划制度 循环经济发展规划应当包括规划目标、适用范围、主要内容、重点任务和保障措施等,并规定资源产出率、废物再利用和资源化率等指标。

(2)总量控制制度 新建、改建、扩建建设项目,必须符合本行政区域主要污染物排放、建设用地和用水总量控制指标的要求。

(3)建立和完善循环经济评价指标体系。

(4)建立健全循环经济统计制度、循环经济标准体系、能源效率标识等产品资源消耗标识制度。

循环经济评价指标体系

该体系分为宏观层面的评价指标体系和工业园区的评价指标体系,由资源产出指标、资源消耗指标、资源综合利用指标、废物排放(处置)指标四大部分构成。

1.宏观层面的评价指标(18个)

这里重点介绍几个:

(1)主要矿产资源产出率 即国内生产总值/主要矿产资源消耗总量。

(2)能源产出率。

(3)单位国内生产总值能耗 即能源消耗总量/国内生产总值。

(4)单位工业增加值能耗 即工业能源消耗总量/工业增加值。

(5)重点行业主要产品单位综合能耗。

2.工业园区的评价指标(14个)

与宏观层面的评价指标含义相同,只是所使用的数据范围界定为工业园区,这里重点介绍几个:

(1)土地产出率 即工业园区生产总值/园区用地面积。

(2)水资源产出率。

(3)单位生产总值能耗 即能源消耗量/工业园区生产总值。

(4)重点产品单位能耗。

3.2 能源资源开发利用与项目节能

根据大纲要求,仅介绍能源资源的开发利用与合理性分析,土地资源、矿产资源和水资源的相关内容不作阐述。

能源资源优化配置与合理性分析

(一)能源分类

分为可再生能源和不可再生能源。

(二)能源资源开发利用的一般原则和要求

(1)能源资源开采要符合规划,适度开采。

(2)利用先进的采掘技术,提高能源开发深度和回采率,使能源资源开发利用的经济效益、社会效益和环境效益最大化。

(3)符合可持续发展的要求。

(4)从全球化角度出发,应充分利用国外相对丰富的资源条件。

(5)按照循环经济的原则,提高能源资源综合利用能力。

(6)要与当地生态环境相协调。

(三)能源资源开发项目的资源条件评价

能源资源开发项目的资源条件评价包括能源储量和资源的地质条件、能源特征、能源勘探工作、能源储量计算等分析研究等。

(四)能源资源开发利用的合理性分析

从能源资源的战略性地位考虑,坚持开发与节约并重、把节约放在首位的方针,要紧紧围绕实现经济增长方式的根本性转变,以提高资源利用效率为核心,以节能为重点,分析项目所用能源的来源,提出能源合理利用的优化方案,列出提高能源资源利用率的具体措施,明确能源资源利用要达到的水平。

项目节能分析评价

(一)节能的原则与要求

节能是我国经济和社会发展的一项长远战略方针,也是当前一项极为紧迫的任务。项目的建设方案研究必须体现合理利用和节约能源的方针。《中华人民共和国节约能源法》明确要求:

(1)“国务院和省、自治区、直辖市人民政府应当在基本建设、技术改造资金中安排节能资金,用于支持能源的合理利用以及新能源和可再生能源的开发”。

(2)“固定资产投资工程项目的可行性研究报告,应当包括合理用能的专题论证。固定资产投资工程项目的设计和建设,应当遵守合理用能标准和节能设计规范”。

(3)“达不到合理用能标准和节能设计规范的项目,依法审批机关不得批准建设;项目建成后,达不到合理用能标准和节能设计规范要求的,不予验收”。

(4)“禁止新建技术落后、耗能过高、严重浪费能源的工业项目”;“对落后的耗能过高的用能产品、设备实行淘汰制度”。

(二)节能评价

1.项目节能评价的主要内容

(1)评价项目产品生产工艺技术、工艺流程等的能源利用是否科学合理,以及所采用的提高能源回收率、提高能源效率等节能技术的水平及节能措施。

(2)进行单位产品能耗、主要工序(艺)能耗指标的国际、国内对比分析,评价建设项目能耗在国际和国内所处的水平。

对于技术改造项目,应说明企业能源利用现状,以及改造后合理利用能源、降低能耗的效果。

2.编制项目可行性研究节能专篇的主要内容

(1)项目概况 项目概况包括建设单位基本情况、项目基本情况、项目建设方案。

(2)项目所在地能源供应条件 它包括项目使用能源品种的选用原则、项目所在地能源供应条件。

(3)用能标准和节能设计规范 它包括相关法律、法规、规划和产业政策,工业类、建筑类、交通类相关标准及规范,相关终端用能产品能效标准,同行业国内先进水平以及国际先进水平。

(4)项目能源消耗种类、数量及能源使用分布情况 它包括项目能源消耗种类、来源及年总消耗量;单项工程能源消耗种类、来源及年消耗量;对改、扩建项目原有生产工艺、设备和建筑物的能耗分析,年耗能种类和数量,用能存在的主要问题;能源加工、转换、贮存和利用情况。

(5)项目节能措施及效果分析 它包括节能措施、能耗指标、效果分析。

【专家点评】

此章为定性内容,考核方式比较简单,以案例中小问题的形式出现。循环经济、项目节能评价及节能评估和审查(第一部分4.3)是复习的重点内容。2011年考核了循环经济的3R原则和综合能耗指标的计算。

练习题

1.能源资源开发项目要遵循一定的原则,除了符合规划、适度开采,提高能源开发深度和回采率,要与当地生态环境相协调之外,还有哪些原则和要求?

2.某地区循环经济发展综合管理部门会同本级人民政府环境保护等有关主管部门编制了本行政区域2011~2015年循环经济发展规划。该地2011年的国内生产总值达到300亿元,能源综合消耗总量为276万t标准煤。

当地政府委托某咨询公司对规划中的重大能源项目进行了节能评价,编制的节能专篇中有项目概况、项目所在地能源供应条件、用能标准和节能设计规范三个内容。

【问题】

(1)上述编制的循环经济发展规划应该包含哪些内容?

(2)计算本地区2011年的能源产出率和单位国内生产总值能耗。

(3)上述节能专篇的内容是否全面,还应包括哪些内容?

参考答案

1.还要遵循:符合可持续发展的要求;充分利用国外相对丰富的资源条件;按照循环经济的配置原则,提高能源资源综合利用能力等原则和要求。

2.

(1)上述编制的循环经济发展规划应该包含规划目标、适用范围、主要内容、重点任务和保障措施等,并规定资源产出率、废物再利用和资源化率等指标。

(2)本地区的能源产出率=300/276=1.09万元/t标准煤

本地区的单位国内生产总值能耗=276/300=0.92t标准煤/万元

(3)不全面,还应包括项目能源消耗种类、数量及能源使用分布情况;项目节能措施及效果分析等两项内容。

第4章 环境影响评价

【本章结构】

978-7-111-49223-8-Part04-97.jpg

【重点难点】

(1)环境影响经济损益分析。

(2)环境价值评估方法。

【内容精解】

根据大纲要求,本章重点介绍环境影响评价的要求、内容及环境影响的经济损益分析。

概念

环境影响评价是指对人类的生产或生活行为(包括立法、规划和开发建设活动等)可能对环境造成的影响,在环境质量现状监测和调查的基础上,运用模式计算、类比分析等技术手段进行分析、预测和评估,提出预防和减缓不良环境影响的措施的一种技术方法。

《中华人民共和国环境影响评价法》给出了环境影响评价的法律定义为:“本法所称环境影响评价,是指对规划和建设项目实施后可能造成的环境影响进行分析、预测和评估,提出预防或者减轻不良环境影响的对策和措施,进行跟踪监测的方法与制度。”该法明确环境影响评价的适用范围是规划和建设项目。

注:2015年1月1日起实施的《中华人民共和国环境保护法》第十九条明确规定:编制有关开发利用规划建设对环境有影响的项目,应当依法进行环境影响评价。未依法进行环境影响评价的开发利用规划,不得组织实施;未依法进行环境影响评价的建设项目,不得开工建设。

环境影响评价的要求和内容

(一)建设项目环境影响评价

1.建设项目环境影响评价的分类管理

国家对建设项目的环境保护实行分类管理,对环境影响大的建设项目从严把关管理,坚决防治对环境的污染和生态的破坏;对环境影响小的建设项目适当简化评价内容和审批程序,促进经济的快速发展。

建设单位应按下列规定组织编写环境影响报告书、环境影响报告表或者填报环境影响登记表(以下统称环境影响评价文件):

(1)可能造成重大环境影响的,应当编制环境影响报告书,对产生的环境影响进行全面评价。

(2)可能造成轻度环境影响的,应当编制环境影响报告表,对产生的环境影响进行分析或专项评价。

(3)对环境影响很小、不需要进行环境影响评价的,应当填报环境影响登记表。

原国家环境保护总局颁布的《建设项目环境保护分类管理名录》,对分类管理作出了具体规定。

2.建设项目环境影响评价的内容

(1)建设项目环境影响报告书应当包括的内容

1)建设项目概况。

2)建设项目周围环境现状。

3)建设项目对环境可能造成影响的分析、预测和评估。

4)建设项目环境保护措施及其技术、经济论证。

5)建设项目对环境影响的经济损益分析。

6)对建设项目实施环境监测的建议。

7)环境影响评价的结论。

涉及水土保持的建设项目,还必须有经水行政主管部门审查同意的水土保持方案。

(2)环境影响报告表和登记表的内容 原国家环境保护总局于1999年8月以环发[1999]178号公布了《建设项目环境影响报告表(试行)》和《建设项目环境影响登记表(试行)》的内容和格式,这里不作详述。

《建设项目环境影响登记表(试行)》不要求由具备环境影响评价资质的单位填写,一般是建设单位自行填写。其填报内容包括四个表:表一为项目基本情况;表二为项目地理位置示意图和平面布置示意图;表三为周围环境概况和工艺流程与污染流程;表四为项目排污情况及环境措施简述。

3.项目环境影响评价文件的审批

(1)审批部门 有审批权的环境保护行政主管部门。

(2)报批时限

1)实行审批制的建筑项目,建设单位报送可行性研究报告前完成环境影响评价文件报批手续。

2)实行核准制的建设项目,在提交项目申请报告前完成环境影响评价文件报批手续。

3)实行备案制的建设项目,在办理备案手续后和项目开工前完成环境影响评价文件报批手续。

(3)审批时间要求 审批部门应当自收到环境影响报告书之日到60日内,收到环境影响报告表之日起30日内,收到环境影响登记表之日起15日内,分别作出审批决定并书面通知建设单位。

建设项目的环境影响评价文件自批准之日起超过5年方决定该项目开工建设的,其环境影响评价文件应当报原审批部门重新审核;原审批部门应当自收到环境影响评价文件之日起10日内,将审核意见书面通知建设单位。

(二)规划环境影响评价

为了提高规划的科学性,从源头预防环境污染和生态破坏,促进经济、社会和环境的全面协调可持续发展,规划编制机关应当在规划编制过程中对规划组织进行环境影响评价。应遵守2009年8月17日发布的中华人民共和国国务院令第559号《规划环境影响评价条例》,以及有关环境保护标准、环境影响评价技术导则和技术规范。

1.应当进行环境影响评价的规划的具体范围和要求

国务院有关部门、设区的市级以上地方人民政府及其有关部门,对其组织编制的土地利用的有关规划和区域、流域、海域的建设、开发利用规划(以下称综合性规划),以及工业、农业、畜牧业、林业、能源、水利、交通、城市建设、旅游、自然资源开发的有关专项规划(以下称专项规划),应当进行环境影响评价。

编制综合性规划和专项规划中的指导性规划,应当根据规划实施后可能对环境造成的影响,编写环境影响篇章或者说明;编制专项规划,应当在规划草案报送审批前编制环境影响报告书。

注意:指导性规划是指以发展战略为主要内容的专项规划。

2.规划环境影响评价的基本内容

对规划进行环境影响评价,应当分析、预测和评估以下内容:

(1)规划实施可能对相关区域、流域、海域生态系统产生的整体影响。

(2)规划实施可能对环境和人群健康产生的长远影响。

(3)规划实施的经济效益、社会效益与环境效益之间以及当前利益与长远利益之间的关系。

3.规划环境影响评价文件的主要内容

(1)环境影响篇章或者说明应当包括以下内容

1)规划实施对环境可能造成影响的分析、预测和评估。主要包括资源环境承载能力分析、不良环境影响的分析和预测以及与相关规划的环境协调性分析。

2)预防或者减轻不良环境影响的对策和措施。主要包括预防或者减轻不良环境影响的政策、管理或者技术等措施。

(2)环境影响报告书除包括上述内容外,还应当包括环境影响评价结论。主要包括规划草案的环境合理性和可行性,预防或者减轻不良环境影响的对策和措施的合理性和有效性,以及规划草案的调整建议。

4.规划环境影响评价文件的审查

规划编制机关在报送审批综合性规划草案、专项规划中的指导性规划草案和专项规划草案时,应当将环境影响篇章或者说明和环境影响报告书一并报送规划审批机关。未编写评价文件的,规划审批机关应当要求其补充;未补充的,规划审批机关不予审批。

5.规划环境影响的跟踪评价

对环境有重大影响的规划实施后,规划编制机关应当及时组织规划环境影响的跟踪评价,将评价结果报告规划审批机关,并通报环境保护等有关部门。

环境影响的经济损益分析

环境影响的经济损益分析,也称环境影响的经济评价,即估算某一项目、规划所引起的环境影响的经济价值,并将其纳入项目、规划的经济分析(即费用效益分析)中去,以判断这些环境影响对该项目、规划的可行性会产生多大的影响。对负面的环境影响,应估算环境成本;对正面的环境影响应估算环境效益。

(一)环境影响经济损益分析的步骤

环境影响经济损益分析,就是在费用—效益分析方法中体现出环境影响的作用,即先把环境受到的损害货币化后计入费用(外部费用)、把得到的环境效果货币化后计入效益(外部效益),然后进行费用效益分析。

环境影响经济损益分析一般按以下四个步骤来进行:

(1)筛选环境影响 环境影响被筛选为三大类,一类是被剔除、不再作任何评价分析的影响;另一类是需要作定性说明的影响;最后一类才是那些需要并且能够量化和货币化的影响。

(2)量化环境影响后果 将前一阶段已经预测的环境受影响程度转化为易于进行价值评估的量化的环境功能损害后果。

(3)评估环境影响价值(环境费用或环境效益) 这是环境影响经济损益分析中最重要的步骤,下面有详细讲解。

(4)将货币化的环境影响纳入项目的经济分析 将估算出的环境影响价值纳入经济费用效益流量表,计算出净现值和内部收益率这两个重要的项目可行性指标,从而判断项目的环境影响在多大程度上影响了项目的可行性。

(二)环境价值评估

1.环境价值的概念

环境价值包括环境的使用价值和非使用价值。环境的使用价值是指环境被生产者或消费者使用时所表现出的价值,通常包括直接使用价值、间接使用价值和选择价值;环境的非使用价值,是指环境本身的内在价值,与是否使用它没有关系。

价值是人们的最大支付意愿,市场价格可以近似地衡量物品的价值,但通常低于消费者的最大支付意愿,二者之差是消费者剩余。即

价值=支付意愿=价格×消费量+消费者剩余

环境服务或环境物品没有市场价格,那么环境服务的价值就等于人们享受这些环境服务时所获得的消费者剩余。有些评估技术就是通过测量这一消费者剩余来评估环境的价值。

2.环境价值评估方法

环境物品或服务的价值可根据人们对环境效益的支付意愿,或是忍受环境损害的接受赔偿意愿来估算,这些意愿可:①从直接受到影响的物品的相关市场信息中;②间接从其他事物中蕴含的有关信息中;③通过直接调查个人的支付意愿或接受赔偿的意愿等来获得。

根据上述不同的获得途径,环境价值评估方法主要有三类:直接市场评估法、间接市场评估法和意愿调查评估法。直接市场评估法是把环境质量看做同劳动力、土地资源等一样的生产要素,通过测量环境质量的变动带来的产品价格和产出水平的变动来估算。间接市场评估法(又称揭示偏好法)是通过观察人们在与环境联系紧密的市场中所支付的价格或所获得的利益,间接推断出环境质量变化的估价。意愿调查评估法是让消费者直接表述出他们对环境物品或服务的支付意愿(或接受赔偿意愿),或对其价值的判断。详细内容见表4-1。

4-1 环境价值评估方法表

978-7-111-49223-8-Part04-98.jpg

(续)

978-7-111-49223-8-Part04-99.jpg

【专家点评】

此章是新增加的大纲要求,属于重要内容,在经济分析中经常应用到,可能会与经济分析、社会评价等结合出题。要重点掌握环境价值评估方法的含义、应用条件及之间的对比。历年本章考核情况见表4-2。

4-2 历年考题情况

978-7-111-49223-8-Part04-100.jpg

这里再强调一下,《规划环境影响评价条例》要重点复习。

练习题

某市人民政府要求编制2010~2015年的土地利用规划和汽车工业发展规划,由市发展和改革委员会负责起草,在编制过程中发生以下事件:

事件1:市发展和改革委员会委托咨询单位对两个规划进行了环境影响评价,都编写了环境影响报告书。报告书主要包括三方面内容:①规划实施对环境可能造成影响的分析、预测和评估;②预防或者减轻不良环境影响的对策和措施;③环境影响评价结论。

事件2:在报送审批汽车工业发展规划草案时,未将规划环境影响报告书一并附送。

事件3:在审批汽车工程专项规划前,由市环境保护主管部门召集有关部门代表和专家组成了审查小组,对环境影响报告书进行了审查。审查小组成员共9人,其中专家5人;邀请的专家中有一名来自环境影响报告书编制小组。

【问题】

(1)指出事件1中的不妥之处,并说明理由。

(2)环境影响报告书的第①方面主要包括哪些内容?

(3)发生事件2后应该如何处理?

(4)指出事件3中的不妥之处,并说明理由。

参考答案

(1)两个规划的环境影响评价文件都属环境影响报告书不妥。土地利用规划是综合性规划,应该编写环境影响篇(章)或说明;汽车工业发展规划是专项规划,应该编写环境影响报告书。

(2)环境影响报告书的第①方面主要包括以下内容:资源环境承载能力分析、不良环境影响的分析和预测以及与相关规划的环境协调性分析。

(3)按照《规划环境影响评价条例》的有关规定:规划编制机关在报送审批专项规划草案时,应当将环境影响报告书一并附送规划审批机关审查;未附送环境影响报告书的,规划审批机关应当要求其补充;未补充的,规划审批机关不予审批。

(4)邀请了环境影响报告书编制小组的专家不妥,理由:按照规定“参与环境影响报告书编制的专家,不得作为该环境影响报告书审查小组的成员”。

第5章 资金时间价值与现金流量分析方法

【本章结构】

978-7-111-49223-8-Part04-101.jpg

【重点难点】

(1)6个资金等值换算公式。

(2)项目经济评价指标的计算公式。

【内容精解】

根据资金时间价值原理,形成了以现金流量分析(动态分析)为主的项目经济评价方法,包括财务分析和经济分析(国民经济评价);项目方案的经济比选也主要应用现金流量分析方法。因此,在进行经济评价之前先介绍本章内容。

5.1 资金时间价值与等值换算

现金流量与现金流量图

1.现金流量

现金流量是在某一时点上,现金流入量、现金流出量及净现金流量的统称。

(1)现金流入量即流入项目的货币,记为CI 包括营业收入、回收固定资产余值和回收流动资金等。

(2)现金流出量即流出项目的货币,记为CO 包括建设投资、流动资金、经营成本等。

(3)净现金流量即同一时点上的现金流入量与现金流出量之差,记为NCF(或CI-CO)。

2.现金流量图

通过现金流量图可以反映项目计算期内各个时点上所发生的收益和费用,从而进行动态的项目经济评价(图5-1)。

在建设项目中,时间间隔通常是年,0代表建设项目的初始点(也就是1期初,或称0点),1,2,…,n分别代表第1期末、第2期末、…、第n期末。这里定义前一期末与本期期初处于同一时点上。水平线上方的垂直箭线代表现金流入量CI(正值),水平线下方的垂直箭线代表现金流出量CO(负值),箭线的长短示意现金流量绝对值的大小(并非要求长短一定要符合比例,能表示出大小不同即可)。

978-7-111-49223-8-Part04-102.jpg

图5-1 现金流量图

需要注意的是:《建设项目经济评价方法与参数》(第三版)中的时间期序列t=1,2,…,n;但实际工作中如果1期初即0点有现金流量,则需要t=0,1,2,…,n。不管是t=1还是t=0,都是将各年数值折现到建设起点1期初。

资金时间价值与资金等值

(一)资金时间价值的概念

资金在运动过程中随着时间的推移而发生的增值,称为资金的时间价值,主要有两种表现形式:利润和利息。

由于资金存在时间价值,所以不同时点发生的现金流量不能直接进行比较。因此,进行项目经济评价时,首先应对其收益与费用进行时间价值的等值变换,将不同时点上的资金价值转换为相同时点(一个或多个)上的价值,使之具有时间可比性。

(二)资金等值的概念

根据上述资金时间价值等值变换原理,不同时点上的绝对量不等的若干资金,在特定的时间价值(或利率条件)下,可能具有相等的效用或经济价值,这就是资金等值的概念。

影响资金等值的因素有三:①资金额的大小;②换算期数;③利率的高低。

(三)资金时间价值的衡量

利息是资金时间价值的表现形式之一,是指占用资金所付代价或重新使用资金所获报酬。通常用利息额作为衡量资金时间价值的绝对尺度,用利息率(简称为利率)作为衡量资金时间价值的相对尺度。利率通常以一年为期,也有短于一年的。用以表示利率的时间单位称为利息周期(计息期)。

利息=目前应付(应收)总金额-原来借(贷)款金额

978-7-111-49223-8-Part04-103.jpg

1.单利与复利

(1)所谓单利法 即仅对本金计息,对所获得的利息不再计息。计算公式如下

F=P(1+n×i

式中 P——本金;

i——期利率;

n——计息次数;

F——本金与利息之和(简称本利和)。

(2)所谓复利法 即不仅本金计息,而且先前周期的利息在后继的周期也要计息。计算公式如下

F=P(1+in

【例5-1】 某人以年利率6%借款1000元,预计4年后一次还清全部本金和利息。试分别以单利或复利计息方式计算应偿还额。

【解答】

(1)若计息方式为单利法,则4年后应偿还额:

F=P(1+n×i)=1000×(1+4×6%)=1240元

(2)若计算方式为复利法,则4年后应偿还额:

F=P(1+in=1000×(1+6%)4=1262.48元

2.名义利率与有效利率

采用复利计算法,当年计息次数不止一次时,我们把规定的年利率称为名义利率,名义利率除以计息次数为计息期利率,按照复利计算法将计息期利率换算成真正的计息年利率,则为有效利率。换算公式如下

978-7-111-49223-8-Part04-104.jpg

式中 i——有效利率;

r——名义利率;

m——年计息次数。

注意除了年计息一次时名义利率等于有效利率之外,一年内计息不止一次时,有效利率均大于名义利率。

【例5-2】 若年利率为16%,按季计息,试求有效利率。

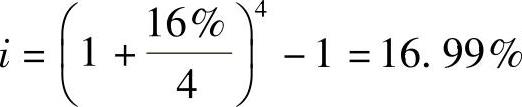
【解答】

16%为名义利率r,年计息次数m=4,则

978-7-111-49223-8-Part04-105.jpg

常用的资金等值换算公式

利用等值观念,我们把建设项目计算期内某一时点或某些时点上的现金流量等值变换到另一时点的过程,称之为资金等值换算。银行贷款还本付息计算就是资金等值换算的典型。

项目经济评价中进行等值换算是以复利法为基础的。换算时首先要确定时间基准点,一般把计算的起点(往往是1期初)作为基准点。基准点的一笔资金的价值称为现值(P);按一定利率计算,经过一定时间间隔在将来某一时刻的价值称为终值(F);发生在某一特定时间序列各计算期末的等额资金系列的价值称为年值(A)。

常用的资金等值换算公式见表5-1。

5-1 常用的资金等值换算公式

978-7-111-49223-8-Part04-106.jpg

(续)

978-7-111-49223-8-Part04-107.jpg

注:表中各系数符号,斜线右下方表示已知因素,左上方表示未知待求因素。

【例5-3】 某建设项目长期贷款为1000万元,贷款利率为8%,拟6年内还清,每年年末偿还相等的金额(包括本和利)。试求该项目每年年末偿还的金额是多少?

【解答】 从题目可以看出,这是已知现值求等额年值的问题,所以根据上面公式:

每年年末偿还的金额978-7-111-49223-8-Part04-108.jpg

(考试时如果给出相关系数,查找使用即可,如果不给,则可按照上述公式直接计算。)

5.2 现金流量分析方法

项目经济评价指标概述

(一)项目经济评价指标设定的原则

项目经济评价方法的设计和评价指标的设定,应遵循以下原则:

(1)与经济学原理的一致性 即应该符合市场经济效益原则。

(2)项目或方案的可鉴别性 即应能检验和区别项目的经济效益和费用的差异。

(3)互斥型项目或方案的可比性 即必须满足共同的比较基础与比较条件。

(4)评价工作的可操作性 即这些方法和指标是简便易行而确有实效的。

(二)项目经济评价指标分类

详细分类结果见表5-2:

(1)根据是否考虑资金时间价值、进行贴现运算,可将常用方法与指标分为两类:静态分析方法与指标和动态分析方法与指标。

(2)根据《建设项目经济评价方法与参数》(第3版),项目经济评价分为财务分析和经济分析,其对应的指标分别为财务分析指标和经济分析指标。

(3)本章重点针对现金流量分析,根据指标的经济性质分为三类:①时间性指标;②价值性指标;③比率性指标。

5-2 项目经济评价常用指标分类表

978-7-111-49223-8-Part04-109.jpg

现金流量的评价指标和方法

项目评价主要解决两类问题:第一,评价项目是否可以满足一定的检验标准,这是对建设项目的“绝对效果”评价;第二,比较某一项目的不同方案优劣或确定不同项目的优先次序,这是“相对效果”评价。下面仅讲解绝对效果评价,因不涉及比较所以只需研究单个项目是否符合预定的标准即可。“相对效果”评价及指标的运用将在本部分第12章“方案经济比选方法”中介绍。

(一)时间性指标与评价方法

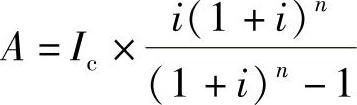
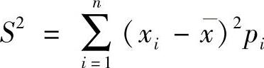
投资回收期是以项目的净收益抵偿投资所需的时间(常用年表示)。它是反映项目财务上投资回收能力的重要指标。

1.静态投资回收期(Pt

(1)定义 不考虑资金时间价值条件下以净收益抵偿投资所需要的时间,通常从建设开始年初算起(t从0开始),其定义式为

978-7-111-49223-8-Part04-110.jpg

(2)计算 可借助财务现金流量表中的净现金流量和累计净现金流量数据计算求得,公式为

978-7-111-49223-8-Part04-111.jpg

(3)判据 项目投资回收期短,表明投资回收快,抗风险能力强。求出的投资回收期(Pt)可与行业基准投资回收期或设定的基准投资回收期(Pc)比较:

PtPc,可以考虑接受该项目;若Pt>Pc,可以考虑拒绝接受该项目。

(4)优点与不足

1)优点。经济意义直观明确、计算简单,便于投资者衡量建设项目承担风险的能力,同时在一定程度上反映了投资效果的优劣。

2)不足。①投资回收期有一定片面性,只考虑投资回收之前的效果,不能反映回收期之后的情况;②不考虑资金时间价值,无法用以正确地判断项目的优劣。

注意静态投资回收期不是全面衡量建设项目的理想指标,只能用于粗略评价或作为辅助指标和其他指标结合使用。

2.动态投资回收期(Pt

(1)定义 考虑了资金时间价值的投资回收期,一般从建设开始年初算起,定义式为

978-7-111-49223-8-Part04-112.jpg

(2)计算 可借助财务现金流量表中的净现金流量折现值和累计净现金流量折现值计算求得,公式如下

978-7-111-49223-8-Part04-113.jpg

(3)判据 动态投资回收期的评价准则是:Ptn时(n表示基准动态投资回收期),考虑接受项目,条件是贴现率取ic(行业基准收益率)。

(4)优点和不足

1)优点。考虑了资金时间价值,优于静态投资回收期。

2)不足。不能反映投资回收期之后的情况,仍然有局限性;计算相对复杂。

【例5-4】 某工程项目的现金流量数据见表5-3,要求计算静态投资回收期和动态投资回收期(ic=10%)。

5-3 项目现金流量表 (单位:万元)

978-7-111-49223-8-Part04-114.jpg

注:表中年数列0表示建设起点第一年年初,下文所有表格含义同此。

【解答】根据前面的公式,可利用列表法求解,见表5-3的第2、3、5、6列数据。

(1)静态投资回收期:Pt=6-1+70/80=5.875年

(2)动态投资回收期:Pt=9-1+15.39/33.92=8.45年

(二)价值性指标与评价方法

价值性评价指标反映一个项目的现金流量在基准投资收益率下所能实现的盈利水平。最主要、最常用的价值性指标是净现值;在多项目(或方案)选优中还有净年值。有时在效益相同的情况下,还用到费用现值和费用年值。

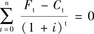
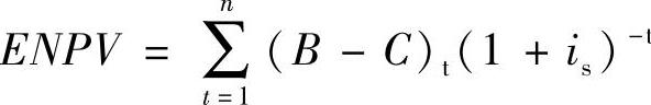
1.净现值(NPV

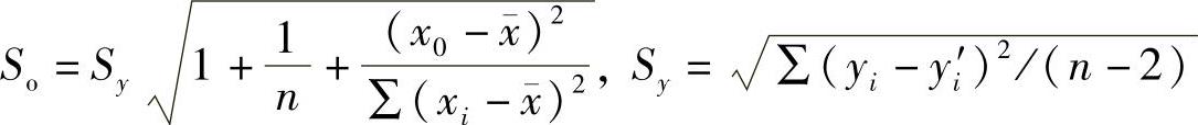
(1)含义 净现值是将项目整个计算期内各年的净现金流量,按某个给定的折现率,折算到计算期期初(即第一年初)的现值代数和。计算公式为

978-7-111-49223-8-Part04-115.jpg

式中 n——计算期期数;

i——设定折现率。

净现值用于财务分析时,将其结果称为财务净现值,记为FNPV;当净现值用于经济分析时,将其结果称为经济净现值,记为ENPV

(2)计算 可以通过构造的现金流量表计算(见表5-3),列表计算便于检查,并可同时算出投资回收期和其他指标;也可直接将数据带入公式进行计算。计算时,要注意两个方面:

1)净现金流量NCFt或(CI-CO)t的预计:NCFt预测的准确性直接影响项目净现值的大小与正负。

2)折现率i的选取。一般来说,有三种情况

①选取社会折现率is,即i=is:进行经济分析时,应使用is

②选取行业(或部门)的基准收益率ic,即i=ic

③选取计算折现率i0,即i=i0。可用公式i0=i01+i02+i03求得

式中 i01——仅考虑时间补偿的收益率;

i02——考虑社会平均风险因素应补偿的收益率;

i03——考虑通货膨胀因素应补偿的收益率。

注意:使用i0将使NPV的计算更接近实际,但i0的求算比较困难。

(3)判据 在项目经济评价中,若NPV≥0,则该项目在经济上可以接受;反之,若NPV<0,则经济上可以拒绝该项目。

当给定的折现率i=ic,若NPVic)=0,表示项目达到了基准收益率标准,而不是表示该项目盈亏平衡;若NPVic)>0,则意味着该项目可以获得比基准收益率更高的收益;而NPVic)<0,仅表示项目不能达到基准收益率水平,不能确定项目是否会亏损。

(4)优缺点 净现值作为一个重要的动态评价指标,广泛应用于项目经济评价中。其优点在于不仅考虑了资金的时间价值,对项目进行动态分析,而且考察了项目在整个计算期内的经济状况,并且直接以货币额表示项目投资的收益性大小,经济意义明确直观。

【例5-5】 以例5-4为例,沿用前面的数据列表求解(表5-4),其中第5列最后一个数据即为该工程项目的净现值=49.41万元。

若利用公式计算,则

978-7-111-49223-8-Part04-116.jpg

2.净年值(NAV

净年值也称净年金,它是把项目计算期内的净现金流量按设定的折现率折算成与其等值的各年年末的等额净现金流量值。

求一个项目的净年值,可以先求该项目的净现值,然后乘以资金回收系数进行等值换算,即:NAVi)=NPVi)(A/Pin

5-4 列表法求解NPV (单位:万元)

978-7-111-49223-8-Part04-117.jpg

注意:用净现值NPV和净年值NAV对同一个项目进行评价,结论是一致的。但对寿命不相同的多个互斥方案进行选优时,净年值比净现值更合适,详见本部分第12章方案经济比选。

3᥊费用现值和费用年值

当现金流系列主体为负值时,可把正的现金流看成负的,把负的现金流看成正的,此时计算出的净现值可用费用现值表示;费用现值折现到各年所求得的等额序列年金称为费用年值。经常用于方案经济比选中(见本部分第12章)。

(1)费用现值(PC

978-7-111-49223-8-Part04-118.jpg

式中 (COt——第t期现金流出量。

(2)费用年值(AC

AC=PCA/Pin

(三)比率性指标与评价方法

比率性评价指标主要包括内部收益率、差额投资内部收益率和净现值率等。

1᥊内部收益率(IRR)——经济评价最重要的指标

(1)含义 它是指使项目净现值为零时的折现率。其表达式为

978-7-111-49223-8-Part04-119.jpg

若某项目在第一年初投资现值Ip,以后每年末获得相等的净收益R,则内部收益率可简单表示成

978-7-111-49223-8-Part04-120.jpg

当内部收益率用于单一项目的财务分析时,将其结果称为财务内部收益率,记为FIRR;当内部收益率用于单一项目的经济分析时,将其结果称为经济内部收益率,记为EIRR

(2)计算 求解内部收益率一般有人工试算法和利用计算机编程求解两种方法。

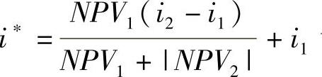
采用人工试算法求解内部收益率,首先试选两个数值相近的折现率i1i2i1<i2),使其对应的净现值NPV1NPV2满足NPV1>0、NPV2<0;根据内部收益率定义可知,此时内部收益率必在i1i2之间;一般i1i2之差不超过5%时,可用线性内插法近似求出IRR,公式为

978-7-111-49223-8-Part04-121.jpg

式中 i1——较低的试算折现率;

NPV1——与i1对应的净现值;

i2——较高的试算折现率;

NPV2——与i2对应的净现值。

(3)判据 应用IRR对单独一个项目进行经济评价的判别准则是:若IRRic(或is),则认为项目在经济上是可以接受的;若IRR<ic(或is),则项目在经济上应予以拒绝。

(4)优缺点

1)优点

①该指标考虑了资金时间价值,考查了项目在整个计算期内的全部情况。

②内部收益率是由项目的现金流量特征决定的,这与净现值、净年值、净现值率等指标需要事先设定基准折现率才能进行计算相比,操作困难小。

2)缺点

①指标计算烦琐,非常规项目有多解现象,分析、检验和判别比较复杂。

②内部收益率的经济含义是项目对初始投资的偿还能力,而不是用来计算初始投资收益的,所以可用来判断单个方案的可行性,但不能直接用于多个方案之间的比选(见本部分第12章方案经济比选)。

③不适用于只有现金流入或现金流出的项目。

④对于非投资情况,如设备租赁(先取得收益,然后用收益偿付有关费用),虽然可以运用IRR指标,但其判据与投资情况相反,即只有IRRic的方案(或项目)才可接受。

【例5-6】 已知某项目第一年初和第一年末分别投资1200万元、800万元,第二、三、四年末均获净收益600万元,第五、六年末均获净收益为900万元,试计算该项目的内部收益率。

【解答】通过几次试算,取i1=16%,则

NPV1=-1200-800×(1+16%)-1+600×(1+16%)-2+600×(1+16%)-3+600×(1+16%)-4+900×(1+16%)-5+900×(1+16%)-6

=69.91万元

由于NPV1>0,故提高折现率,令i2=18%,则

NPV2=-1200-800×(1+18%)-1+600×(1+18%)-2+600×(1+18%)-3+600×(1+18%)-4+900×(1+18%)-5+900×(1+18%)-6

=-45.62万元

应用线性内插公式,有

978-7-111-49223-8-Part04-122.jpg

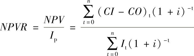
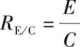
2᥊净现值率(NPVR

在多方案比选中,净现值虽然能反映每个方案的盈利水平,但是因未考虑各方案投资额的大小,因而不能直接反映资金的利用效率。为了考察资金的利用效率,可采用净现值率指标作为净现值的补充指标。

(1)含义 按设定折现率求得的项目计算期的净现值与其全部投资现值的比率,记作NPVR,计算式为

978-7-111-49223-8-Part04-123.jpg

式中 Ip——项目投资现值。

(2)判别准则 用净现值率评价项目或方案时,若NPVR≥0,方案可行,可以考虑接受;若NPVR<0,方案不可行,应予拒绝。

经济评价指标的选择

经济评价指标的应用,一是用于单一项目(方案)经济效益的大小与好坏的衡量,从而决定方案的取舍;二是用于多个项目(方案)的经济优选,从而选取较优的项目(方案)。

项目(方案)经济评价指标的选择,应根据项目(方案)具体情况、评价的主要目标、指标的用途和决策者最关心的因素等问题来进行。由于项目(方案)投资的经济效益是一个综合概念,必须从不同的角度全面衡量,因此,进行项目(方案)经济评价时,不能仅用一两个指标来作出评价结论,而应使用一个适当的评价指标体系。

【专家点评】

本章内容的核心概念就是现金流量,由此产生了项目经济评价指标和方法,这些是经济评价的基础内容。虽然不会单独出题计算,但它是学好财务分析、经济分析、方案比选等的前提,所以必须牢固掌握、熟记于心。现金流量分析题型,可以绘制现金流量图或列表求解。

本章涉及的评价指标公式中无论采用978-7-111-49223-8-Part04-124.jpg还是978-7-111-49223-8-Part04-125.jpg,均是将各年年末净现金流量折算到建设起点,即1期初作为基准点。

练习题

1.一笔项目投资贷款100万元,年利率12%,求5年后的本利和。

2.某项工程项目建设期为5年,每年年末用掉银行借款20万元,年利率10%。

【问题】 到第五年末该项目欠银行多少钱?

参考答案

1.根据已知现值求终值的公式计算,则

F=100×(1+0.12)5=176.23万元或F=100(F/P,12%,5)=176.23万元

【解题思路】

本例题考查的知识点是一次支付型的资金时间价值的计算,已知现值求终值。如果题目提供终值系数,可直接代入计算。

2᥊已知A=20万元,i=10%n=5,求FF=AF/A,10%,5)

查表得,(F/A,10%,5)=6᥊1051

F=20×6᥊1051=122᥊102万元

【解题思路】

本例题考查的是等额分付型的资金时间价值的计算,已知年金求终值。

第6章 投资估算

投资估算是对建设项目总投资数额及分年资金需要量进行的估算。此部分重点讲解投资估算的方法,有关基本概念和表格可参考科目四《项目决策分析与评价》第6章或《建设项目经济评价方法与参数》(第3版)。

【本章结构】

978-7-111-49223-8-Part04-126.jpg

【重点难点】

(1)建设投资简单估算法。

(2)进口设备购置费估算。

(3)涨价预备费估算。

(4)建设期利息估算。

(5)流动资金的分项详细估算法。

【内容精解】

《国务院关于固定资产投资项目试行资本金制度的通知》中,“作为计算资本金基数的总投资,是指投资项目的固定资产投资与铺底流动资金之和”,其中的铺底流动资金是指流动资金中的非债务资金,占全部流动资金的30%。而项目评价中采用的是《建设项目经济评价方法与参数》(第3版)的概念,项目总投资则包含了全部流动资金。

项目总投资由建设投资、建设期利息和流动资金构成;建设投资由建筑工程费、设备购置费、安装工程费、工程建设其他费用、基本预备费和涨价预备费等构成,不包括建设期利息。投资估算应按估算内容和估算方法估算并进行汇总,最终编制项目总投资估算表、分年投资计划表和资金筹措计划表,也可合而为一编制“项目总投资使用计划与资金筹措表”。

6.1 建设投资估算方法

建设投资的估算方法包括单位生产能力估算法、生产能力指数法、比例估算法、系数估算法、指标估算法和概算指标法。前五种估算方法估算准确度相对不高,主要适用于投资机会研究和初步可行性研究阶段。

方法简介

(一)单位生产能力估算法

该方法根据已建成的、性质类似的建设项目的单位生产能力投资(如元/t、元/kW)乘以拟建项目的生产能力,来估算拟建项目的投资额,其计算公式为

978-7-111-49223-8-Part04-127.jpg

式中 Y2——拟建项目的投资额;

Y1——已建类似项目的投资额;

X1——已建类似项目的生产能力;

X2——拟建项目的生产能力;

CF——不同时期、不同地点的定额、单价、费用变更等的综合调整系数。

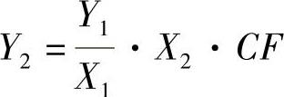
该方法估算简便迅速,但精确度较差。使用这种方法要求拟建项目与所选取的已建项目相类似,仅存在规模大小和时间上的差异。单位生产能力估算法一般只适用于机会研究阶段。

【例6-1】 已知2005年某生产能力为15万t/年的乙烯项目的建设投资为42000万元,2007年拟建生产能力为20万t/年的乙烯项目,两个项目工程条件类似,调整系数CF为1.2,试估算该项目的建设投资。

【解答】 采用单位生产能力估算法,该项目的建设投资为

978-7-111-49223-8-Part04-128.jpg

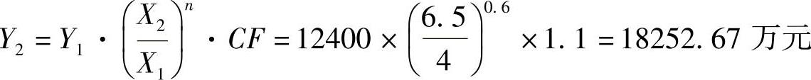
(二)生产能力指数法

该方法根据已建成的、性质类似的建设项目的生产能力和投资额与拟建项目的生产能力,来估算拟建项目投资额,其计算公式为

978-7-111-49223-8-Part04-129.jpg

式中 n——生产能力指数;

其他符号含义同前。

运用该方法估算项目投资的重要条件是,要有合理的生产能力指数。不同性质的建设项目,n的取值不同,正常情况下,0≤n≤1。若已建类似项目的规模和拟建项目的规模相差不大,X2X1的比值在0.5~2之间,则指数n的取值近似为1;一般认为X2X1的比值在2~50之间,且拟建项目规模的扩大仅靠增大设备规模来达到时,则n取值约在0.6~0.7之间;若靠增加相同规格设备的数量来达到时,则n取值为0.8~0.9之间。

该方法计算简单、速度快;但要求类似项目的资料可靠,条件基本相同,否则误差就会增大。对于建设内容复杂多变的项目,可研阶段也用于分项装置的工程费用估算。

【例6-2】 某化工厂已建成年生产A化学品4.5万t的工程,装置投资额为12400万元。现拟建同类工厂,设计采用规格和容量更大的同类设备,年生产该种化学品6.5万t,生产能力指数n=0.6,综合调整系数CF=1.1,试计算该工厂的装置投资额。

【解答】 利用生产能力指数法,该工厂的装置投资额为

978-7-111-49223-8-Part04-130.jpg

(三)比例估算法

1.以拟建项目的设备购置费为基数进行估算

该方法以拟建项目的设备购置费为基数,根据已建成的同类项目的建筑工程费和安装工程费占设备购置费的百分比,求出相应的建筑工程费和安装工程费,再加上拟建项目工程建设其他费用和预备费等,其总和即为拟建项目的建设投资。计算公式为

C=E(1+f1P1+f2P2)+I

式中 C——拟建项目的建设投资额;

E——拟建项目根据当时当地价格计算的设备购置费;

P1P2——已建项目中建筑工程费和安装工程费占设备购置费的百分比;

f1f2——由于时间因素引起的定额、价格、费用标准等综合调整系数;

I——拟建项目的其他费用,包括工程建设其他费用和预备费等。

【例6-3】 某造纸厂的设备购置费为16000万元,根据已建同类项目的统计资料,建筑工程费占设备购置费的25%,安装工程费占设备购置费的10%,该拟建项目的其他有关费用估计为2000万元,调整系数f1f2均为1.2,试估算该项目的建设投资。

【解答】 根据比例估算法,该项目的建设投资为

C=E(1+f1P1+f2P2)+I=16000×[1+(25%+10%)×1.2]+2000=24720万元

2.以拟建项目的工艺设备投资为基数进行估算

该方法以拟建项目的工艺设备投资为基数,根据同类型的已建项目的有关统计资料,各专业工程(总图、土建、暖通、给水排水、管道、电气、电信及自控等)占工艺设备投资(包括运杂费和安装费)的百分比,求出拟建项目各专业工程的投资,然后把各部分投资(包括工艺设备投资)相加求和,再加上拟建项目的其他有关费用,即为拟建项目的建设投资。计算公式为

C=E(1+f1P1+f2P2+f3P3+…)+I

式中 E——拟建项目根据当时当地价格计算的工艺设备投资;

P1P2P3——已建项目各专业工程费用占工艺设备投资的百分比。

其他符号含义同前。

(四)系数估算法

1.朗格系数法

该方法以设备购置费为基础,乘以适当系数来推算项目的建设投资。计算公式为

C=E(1+∑KiKc

式中 C——建设投资;

E——设备购置费;

Ki——管线、仪表、建筑物等项费用的估算系数;

Kc——管理费、合同费、应急费等间接费在内的总估算系数。

建设投资与设备购置费之比为朗格系数KL,即:KL=(1+∑KiKc

该方法比较简单,但因为没有考虑项目(或装置)规模大小、设备材质的影响以及不同地区自然、地理条件差异的影响,所以估算的准确度不高。

2.设备及厂房系数法

该方法在拟建项目工艺设备投资和厂房土建投资估算的基础上,其他专业工程参照类似项目的统计资料,与设备关系较大的按设备投资系数计算,与厂房土建关系较大的则按厂房土建投资系数计算,两类投资加起来,再加上拟建项目的其他有关费用,即为拟建项目的建设投资。

【例6-4】 某地拟建一个制药项目,估算该项目的工艺设备及安装费用为3200万元,厂房土建费用估算为4600万元,参照类似项目的统计资料,其他各专业工程投资系数如下(表6-1),其他有关费用为2200万元,试估算该项目的建设投资。

6-1 其他专业工程投资系数表

978-7-111-49223-8-Part04-131.jpg

【解答】 根据设备及厂房系数法,该项目的建设投资为

3200×(1+0.14+0.05+0.04+0.12)+4600×(1+0.06+0.01+0.01+0.03)+2200

=11626万元

(五)估算指标法

估算指标是一种比概算指标更为扩大的单项工程指标或单位工程指标,是以单项工程或单位工程为对象,综合项目建设中的各类成本和费用,具有较强的综合性和概括性。

使用估算指标应根据不同地区、不同时期的实际情况进行适当调整,因为地区、时期不同,设备、材料及人工的价格均有差异。

(六)概算指标法

概算指标是以成套设备装置的台(组)或以整个建筑物和构筑物的建筑面积、体积等为计量单位而规定的人工、材料和机械台班的消耗量标准和造价指标。这种方法的相对准确度高于估算指标法,但需要具备较为详细的工程量资料、材料价格和工程费用指标,工作量较大。

建设投资的分类估算

对构成建设投资的各类投资,即工程费用、工程建设其他费用和预备费(图6-1),分类进行估算。估算步骤如下:

(1)分别估算建筑工程费、设备购置费和安装工程费。

(2)汇总建筑工程费、设备购置费和安装工程费,得出分装置的工程费用,然后加总得出项目建设所需的工程费用。

(3)在工程费用的基础上估算工程建设其他费用。

(4)以工程费用和工程建设其他费用为基础估算基本预备费。

(5)在确定工程费用分年投资计划的基础上估算涨价预备费。

(6)加总求得建设投资。

(一)建筑工程费估算

建筑工程费是指为建造永久性建筑物和构筑物所需要的费用,估算方法有单位建筑工程投资估算法、单位实物工程量投资估算法和概算指标投资估算法。

(1)单位建筑工程投资估算法 它是以单位建筑工程量投资乘以建筑工程总量来估算建筑工程费的方法。

(2)单位实物工程量投资估算法 它是以单位实物工程量投资乘以实物工程量总量来估算建筑工程费的方法。

(3)概算指标投资估算法 此方法定义见前面表述。此方法适用于没有上述两种估算指标,或者建筑工程费占建设投资比例较大的项目。

978-7-111-49223-8-Part04-132.jpg

图6-1 建设投资构成图

(二)设备购置费估算

设备购置费,包括国内设备购置费、进口设备购置费和工器具及生产家具购置费。

1.国内设备购置费估算

国内设备购置费是指为建设项目购置或自制的达到固定资产标准的各种国产设备的购置费用。它由设备原价和设备运杂费构成。

(1)国产标准设备原价 国产标准设备原价一般指的是设备制造厂的交货价,即出厂价。设备的出厂价分两种情况,一是带有备件的出厂价,二是不带备件的出厂价。在计算设备原价时,一般应按带有备件的出厂价计算。如只有不带备件的出厂价,则应按有关规定另加备品备件费用。如设备由设备成套公司供应,还应考虑设备成套费用。国产标准设备原价可通过查询相关价格目录或向设备生产厂家询价得到。

(2)国产非标准设备原价 非标准设备原价有多种不同的计算方法,无论采用哪种方法都应使非标准设备计价接近实际出厂价,并且计算方法要简便。实践中也可以采用有关单位公布的参考价格(元/t),根据设备类型、材质、规格等要求选用。

(3)设备运杂费 设备运杂费通常由运输费、装卸费、运输包装费、供销手续费和仓库保管费等各项费用构成,一般按设备原价乘以设备运杂费费率计算。设备运杂费费率按部门、行业规定执行。

2.进口设备购置费估算

进口设备购置费=进口设备货价+进口从属费用+国内运杂费。

(1)进口设备的货价 按交货地点和方式的不同,分为离岸价(FOB)与到岸价(CIF),一般多为离岸价。进口设备货价可依据向有关生产厂商的询价、生产厂商的报价及订货合同价等研究确定。

注意:离岸价是指商品的价格中包含售价加上商品被搬运到装运港的车船(包括船、火车、汽车等)或其他运载工具上的所有费用:到岸价是指商品的价格中包含FOB价加上从装运港到目的港发生的运费和运输保险费。

(2)进口从属费用

进口从属费用=国外运费+国外运输保险费+进口关税+进口环节消费税+进口环节增值税+外贸手续费+银行财务费。

1)国外运费。即从装运港(站)到达我国抵达港(站)的运费。计算公式为

国外运费=进口设备离岸价×国外运费费率

或 国外运费=单位运价×运量

国外运费费率或单位运价参照有关部门或进出口公司的规定执行。

2)国外运输保险费。它是被保险人根据与保险人(保险公司)订立的保险契约,为获得保险人对货物在运输过程中发生的损失给予经济补偿而支付的费用。计算公式为

国外运输保险费=(进口设备离岸价+国外运费)×国外运输保险费费率国外运输保险费费率按照有关保险公司的规定执行。

注意:进口设备按到岸价计价时,不必计算国外运费和国外运输保险费。

3)进口关税。其计算公式为

进口关税=进口设备到岸价×人民币外汇牌价×进口关税税率

进口关税税率按照我国海关总署发布的《中华人民共和国海关进出口税则》的规定执行。

4)进口环节消费税。进口适用消费税的设备(如汽车),应按规定计算进口环节消费税,这里用估算的到岸价格暂作为关税完税价格,故其计算公式为

978-7-111-49223-8-Part04-133.jpg

消费税税率按《中华人民共和国消费税暂行条例》(财税[2006]33号)执行。

5)进口环节增值税。其计算公式为

进口环节增值税=(进口设备到岸价×人民币外汇牌价+进口关税+消费税)×增值税税率

增值税税率按《中华人民共和国增值税暂行条例》执行。

6)外贸手续费。按国家有关主管部门制定的进口代理手续费收取办法计算。计算公式为

外贸手续费=进口设备到岸价×人民币外汇牌价×外贸手续费费率

外贸手续费费率按合同成交额的一定比例收取。成交额度小,费率较高;成交额度大,费率较低。

7)银行财务费。按进口设备货价计取,计算公式为

银行财务费=进口设备货价×人民币外汇牌价×银行财务费费率

这里的进口设备货价一般视为离岸价

(3)国内运杂费 通常由运输费、运输保险费、装卸费、包装费和仓库保管费等费用构成。计算公式为

国内运杂费=进口设备离岸价×人民币外汇牌价×国内运杂费费率

国内运杂费费率按部门、行业或省、市的规定执行。

【例6-5】 某工厂拟从国外进口一套仪器仪表设备,重量960t,离岸价为800万美元。其他有关费用参数为:国外运费标准为420美元/t;海上运输保险费费率为0.25%;银行财务费费率为0.5%;外贸手续费费率为1.5%;关税税率为22%;进口环节增值税税率为17%;人民币外汇牌价为1美元=7.57元人民币,设备的国内运杂费费率为2.5%。试对该套设备购置费进行估算(保留两位小数)。

【解答】 根据上述各项费用的计算公式,则有:

进口设备离岸价=800×7.57=6056万元

国外运费=420×7.57×960=305.22万元

国外运输保险费=(6056+305.22)×0.25%=15.9万元

进口关税=(6056+305.22+15.9)×22%=1402.97万元

进口环节增值税=(6056+305.22+15.9+1402.97)×17%=1322.62万元

外贸手续费=(6056+305.22+15.9)×1.5%=95.66万元

银行财务费=6056×0.5%=30.28万元

国内运杂费=6056×2.5%=151.4万元

设备购置费=6056+305.22+15.9+1402.97+1322.62+95.66+30.28+151.4

=9380.05万元

3.工器具及生产家具购置费估算

工器具及生产家具购置费是指按照有关规定,为保证新建或扩建项目初期正常生产必须购置的第一套工卡模具、器具及生产家具的购置费用。一般以国内设备原价和进口设备离岸价为计算基数,按照部门或行业规定的工器具及生产家具费费率计算。

4.备品备件购置费估算

在大多数情况下,设备购置费采用带备件的原价估算,不必另行估算备品备件费用;在无法采用带备件的原价、需要另行估算备品备件购置费时,应按设备原价及有关专业概算指标(费率)估算。

(三)安装工程费估算

投资估算中安装工程费通常是根据行业或专门机构发布的安装工程定额和取费标准进行估算。具体计算可按安装费费率、每吨设备安装费指标或每单位安装实物工程量费用指标进行估算。计算公式为

安装工程费=设备原价×安装费费率

安装工程费=设备吨位×每吨设备安装费指标

安装工程费=安装工程实物量×每单位安装实物工程量费用指标

附属管道量大的项目,还应单独估算管道工程费用。

在项目决策分析与评价阶段,根据投资估算的深度要求,安装费用也可以按单项工程分别估算。

(四)工程建设其他费用估算

工程建设其他费用是指建设投资中除建筑工程费、设备购置费、安装工程费以外的,为保证工程建设顺利完成和交付使用后能够正常发挥效用而发生的各项费用。

(1)建设用地费用 建设项目要取得其所需土地的使用权,必须支付征地补偿费或土地使用权出让(转让)金或租用土地使用权的费用。

1)征地补偿费 依照《中华人民共和国土地管理法》等规定所支付的费用包括:

①土地补偿费。

②安置补助费。

③地上附着物和青苗补偿费。

④征地动迁费。包括征收土地上房屋及附属构筑物、城市公共设施等拆除费、迁建补偿费、搬迁运输费、企业单位因搬迁造成的减产和停产损失补贴费、拆迁管理费等。

⑤其他税费。包括征收耕地按规定一次性缴纳的耕地占用税,分年缴纳的城镇土地使用税在建设期支付的部分,征地管理费,征收城市郊区菜地按规定应缴纳的新菜地开发建设基金,以及土地复耕费等。

2)土地使用权出让(转让)金 它是指通过土地使用权出让(转让)方式,使建设项目取得有限期的土地使用权,依照《中华人民共和国城镇国有土地使用权出让和转让暂行条例》规定,支付的土地使用权出让(转让)金。

3)租用建设项目土地使用权的费用 它是指在建设期支付的租地费用,以及建设期间临时用地补偿费。

【例6-6】 某建设项目,需要征用耕地60亩,该耕地被征用前用来种植经济作物,前三年平均每亩年产值分别为3500元、4000元和3300元,土地补偿费标准为前三年平均年产值的10倍;被征用单位人均占有耕地1亩,每个需要安置的农业人口的安置补助费标准为该耕地被征用前三年平均年产值的4倍;地上附着物共有树木1000棵,补偿标准为40元/棵,青苗补偿标准为200元/亩,试对使用该土地的费用进行估算(不包括征地动迁费和其他税费在内)。

【解答】

978-7-111-49223-8-Part04-134.jpg

需要安置的农业人口数=60人

安置补助费=1.44×60=86.4万元

地上附着物补偿费=1000×40=4万元

青苗补偿费=200×60=1.2万元

使用该土地的费用=216+86.4+4+1.2=307.6万元

(2)建设管理费 它是指建设单位从项目筹建开始直至项目竣工验收合格或交付使用为止发生的项目建设管理费用。费用内容包括:

1)建设单位管理费。

2)工程建设监理费。

(3)可行性研究费。

(4)研究试验费。

(5)勘察设计费。

(6)环境影响评价费。

(7)职业安全卫生健康评价费。

(8)场地准备及临时设施费。

(9)引进技术和设备其他费用 它是指引进技术和设备发生的未计入设备购置费的费用,内容包括:

1)引进设备材料国内检验费。以进口设备材料离岸价为基数乘以费率计取。

2)引进项目图纸资料翻译复制费、备品备件测绘费。

3)出国人员费用。

4)来华人员费用。

5)银行担保及承诺费。

(10)工程保险费 它是指建设项目在建设期间根据需要对建筑工程、安装工程、机器设备和人身安全进行投保而发生的保险费用。包括建筑安装工程一切险、引进设备财产保险和人身意外伤害险等。建设项目可根据工程特点选择投保险种,编制投资估算时可按工程费用的比例估算。工程保险费费率按照保险公司的规定执行。

(11)市政公用设施建设及绿化补偿费。

(12)超限设备运输特殊措施费。

(13)特殊设备安全监督检验费。

(14)联合试运转费 它是指新建项目或新增加生产能力的工程,在交付生产前按照批准的设计文件所规定的工程质量标准和技术要求,进行整个生产线或装置的负荷联合试运转或局部联动试车所发生的费用净支出(试运转支出大于收入的差额部分费用)。

(15)安全生产费用。

(16)专利及专有技术使用费 此费用包括国外设计及技术资料费,引进有效专利、专有技术使用费和技术保密费;国内有效专利、专有技术使用费;商标使用费、特许经营权费等。建设投资中只估算需在建设期支付的专利及专有技术使用费。

(17)生产准备费 它是指建设项目为保证竣工交付使用、正常生产运营进行必要的生产准备所发生的费用。包括生产人员培训费,提前进厂参加施工、设备安装、调试以及熟悉工艺流程及设备性能等人员的工资、工资性补贴、职工福利费、差旅交通费、劳动保护费、学习资料费等费用。新建项目以可行性研究报告定员人数为计算基数,改扩建项目以新增定员为计算基数。

(18)办公及生活家具购置费 它是指为保证新建、改建、扩建项目初期正常生产、使用和管理所必须购置的办公和生活家具、用具的费用。按项目定员人数乘以费用指标估算。

上述各项费用并不是每个项目必定发生的费用,应根据项目具体情况进行估算。

注意:上述费用可分为固定资产其他费用、无形资产其他费用和其他资产费用三部分。其中,第(1)项中的征地补偿和租地费用及第(2)~(15)项费用属于固定资产其他费用,形成固定资产原值;第(1)项中的土地使用权出让(转让)金和第(16)项费用属于无形资产其他费用,形成无形资产,但房地产开发项目中土地使用权账面价值应计入所建造房屋建筑物成本;第(17)、(18)项开办性质的费用属于其他资产费用。

(五)可抵扣固定资产进项税的说明

我国目前实行消费型增值税,允许从销项税额中抵扣部分固定资产增值税(仅包括设备、主要安装材料的进项税额),所以在估算建设投资时,要把可抵扣固定资产进项税单独列出。可抵扣固定资产进项税不得计入固定资产原值,所以要注意在财务分析中正确计算固定资产原值和应纳增值税。

(六)基本预备费估算

基本预备费是指在项目实施中可能发生、但在项目决策阶段难以预料的支出,需要事先预留的费用,又称工程建设不可预见费。一般由下列三项内容构成:

(1)在批准的设计范围内,技术设计、施工图设计及施工过程中所增加的工程费用;经批准的设计变更、工程变更、材料代用、局部地基处理等增加的费用。

(2)一般自然灾害造成的损失和预防自然灾害所采取的措施费用。

(3)竣工验收时为鉴定工程质量,对隐蔽工程进行必要的挖掘和修复费用。

基本预备费以工程费用和工程建设其他费用之和为基数,按部门或行业主管部门规定的基本预备费费率估算。计算公式为

基本预备费=(工程费用+工程建设其他费用)×基本预备费费率

(七)涨价预备费估算

涨价预备费是对建设工期较长的项目,由于在建设期内可能发生材料、设备、人工等价格上涨引起投资增加,需要事先预留的费用,亦称价格变动不可预见费。涨价预备费以分年的工程费用为计算基数,计算公式为

978-7-111-49223-8-Part04-135.jpg

式中 PC——涨价预备费;

It——第t年的工程费用;

f——建设期价格上涨指数;

n——建设期;

t——年份。

建设期价格上涨指数,政府主管部门有规定的按规定执行,没有规定的由工程咨询人员合理预测。

【例6-7】 某聚酯项目的工程费用为8000万元,项目建设期为3年,按项目进度计划,分年的工程费用比例为第一年30%,第二年50%,第三年20%,建设期内年平均价格上涨指数为5%,试估算该项目的涨价预备费。

【解答】

第一年工程费用:I1=8000×30%=2400万元

第一年涨价预备费:

PC1=I1[(1+f)-1]=2400×[(1+5%)-1]=120万元

第二年工程费用:I2=8000×50%=4000万元

第二年涨价预备费:

PC2=I2[(1+f)2-1]=4000×[(1+5%)2-1]=410万元

第三年工程费用:I3=8000×20%=1600万元

第三年涨价预备费:

PC3=I3[(1+f)3-1]=1600×[(1+5%)3-1]=252.2万元

该项目的涨价预备费为:

PC=PC1+PC2+PC3=120+410+252.2=782.2万元

(八)汇总编制建设投资估算表并对建设投资的合理性进行分析

1.汇总编制建设投资估算表

上述各项费用估算完毕后应编制建设投资估算表。

2.建设投资及其构成的合理性分析

(1)建设投资的合理性 主要分析:

1)单位投资的产出水平。

2)单位产出的投资水平。

(2)建设投资构成的合理性 主要分析:

1)各类工程费用构成的合理性分析。

2)分年投资计划的合理性分析。

6.2 建设期利息估算方法

建设期利息是债务资金在建设期内发生并应计入固定资产原值的利息,包括借款或债券利息及融资费用(例如手续费、承诺费、发行费、管理费等)。

建设期利息估算的前提条件

进行建设期利息估算必须先完成以下各项工作:

(1)建设投资估算及其分年投资计划。

(2)确定项目资本金(注册资本)数额及其分年投入计划。

(3)确定项目债务资金的筹措方式(银行贷款或企业债券)及债务资金成本率(银行贷款利率或企业债券利率及发行手续费率等)。

建设期利息的估算方法

估算建设期利息应按有效利率计息(有效利率的含义见本部分第5章)。项目在建设期内如能按期支付利息,则应按单利计息(用项目资本金付息的,借款本金不变;用债务资金付息的,增加相应借款本金);在建设期内如不支付利息,则应按复利计息。

项目评价中对借款额在建设期各年年内按月、按季均衡发生的项目,为了简化计算,通常假设借款发生当年均在年中使用,按半年计息,其后年份按全年计息。对借款额在建设期各年年初发生的项目,则应按全年计息。

有多种借款资金来源,每笔借款的年利率各不相同的项目,既可分别计算每笔借款的利息,也可先计算出各笔借款加权平均的年利率,并以此年利率计算全部借款的利息。

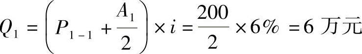
(1)借款额在建设期各年年初发生,建设期利息的计算公式为

978-7-111-49223-8-Part04-136.jpg

式中 Q——建设期利息;

Pt-1——按单利计息,为建设期第t-1年末借款累计;按复利计息,为建设期第t-1年末借款本息累计;

At——建设期第t年借款额;

i——借款年利率;

t——年份。

(2)借款额在建设期各年年内均衡发生,建设期利息的计算公式为

978-7-111-49223-8-Part04-137.jpg

【例6-8】 某新建项目,建设期为4年,第一年借款200万元,第二年借款300万元,第三年借款400万元,第四年借款200万元,年利率为6%,每年计息一次。(1)各年借款均在年初发生,建设期内按期支付利息;(2)各年借款均在年内均衡发生,建设期内不支付利息。试计算上述两种不同情况下该项目的建设期利息。

【解答】

(1)按单利计算

1)第一年借款利息:

Q1=(P1-1+A1)×i=200×6%=12万元

2)第二年借款利息:

Q2=(P2-1+A2)×i=(200+300)×6%=30万元

3)第三年借款利息:

Q3=(P3-1+A3)×i=(200+300+400)×6%=54万元

4)第四年借款利息:

Q4=(P4-1+A4)×i=(200+300+400+200)×6%=66万元

5)该项目的建设期利息为:

Q=Q1+Q2+Q3+Q4=12+30+54+66=162万元

(2)按复利计息

1)第一年借款利息:

978-7-111-49223-8-Part04-138.jpg

2)第二年借款利息:

978-7-111-49223-8-Part04-139.jpg

3)第三年借款利息:

978-7-111-49223-8-Part04-140.jpg

4)第四年借款利息:

978-7-111-49223-8-Part04-141.jpg

5)该项目的建设期利息为:

Q=Q1+Q2+Q3+Q4=6+21.36+43.64+64.26=135.26万元

6.3 流动资金估算方法

流动资金是指项目运营期内长期占用并周转使用的营运资金,不包括运营中临时性需要的资金。流动资金估算的基础主要是营业收入和经营成本。因此,流动资金估算应在营业收入和经营成本估算之后进行。估算流动资金应编制流动资金估算表。

流动资金估算可按行业或前期研究的不同阶段选用扩大指标估算法或分项详细估算法估算。扩大指标估算法简便易行,但准确度不高,适用于项目初步可行性研究阶段某些流动资金需要量小的项目或非制造业项目在可行性研究阶段也可采用扩大指标估算法;分项详细估算法虽工作量较大,但准确度较高,一般项目在可行性研究阶段可采用。

扩大指标估算法

扩大指标估算法是参照同类企业流动资金占营业收入的比例(营业收入资金率),或流动资金占经营成本的比例(经营成本资金率),或单位产量占用流动资金的数额来估算流动资金。计算公式分别为

流动资金=年营业收入额×营业收入资金率

流动资金=年经营成本×经营成本资金率

流动资金=年产量×单位产量占用流动资金数额

分项详细估算法

分项详细估算法是对流动资产和流动负债主要构成要素,即存货、现金、应收账款、预付账款、应付账款、预收账款等项内容分项进行估算,最后得出项目所需的流动资金数额。计算公式为

流动资金=流动资产-流动负债

流动资产=应收账款+预付账款+存货+现金

流动负债=应付账款+预收账款

流动资金本年增加额=本年流动资金-上年流动资金

流动资金估算的具体步骤是首先确定各分项的最低周转天数,计算出各分项的年周转次数,然后再分项估算占用资金额。

(一)各项流动资产和流动负债最低周转天数的确定

各类流动资产和流动负债的最低周转天数参照同类企业的平均周转天数并结合项目特点确定,或按部门(行业)规定执行。在确定最低周转天数时要根据项目的实际情况,并考虑一定的保险系数。

(二)年周转次数计算

978-7-111-49223-8-Part04-142.jpg

(三)流动资产估算

流动资产是指可以在一年或者超过一年的一个营业周期内变现或耗用的资产,主要包括货币资金、短期投资、应收及预付款项、存货、待摊费用等。为简化计算,项目评价中一般仅考虑存货、应收账款和现金三项,将发生预付账款的某些项目,还可包括预付账款。

1.存货估算

存货是指企业在日常生产经营过程中持有以备出售,或者仍然处在生产过程,或者在生产或提供劳务过程中将消耗的材料或物料等,包括各类材料、商品、在产品、半成品、产成品等。为简化计算,项目评价中仅考虑外购原材料、外购燃料、其他材料、在产品和产成品,对外购原材料和外购燃料通常需要分品种分项进行计算。计算公式为

存货=外购原材料+外购燃料+其他材料+在产品+产成品

978-7-111-49223-8-Part04-143.jpg

其他材料系指在修理费中核算的备品备件等修理材料,其他材料费用数额不大的项目也可以不予计算。

978-7-111-49223-8-Part04-144.jpg

2.应收账款估算

应收账款是指企业对外销售商品、提供劳务尚未收回的资金,项目评价中应收账款的计算公式为

978-7-111-49223-8-Part04-145.jpg

经营成本=外购原材料、燃料和动力费+工资或薪酬+修理费+其他费用

3.现金估算

项目评价中的现金是指货币资金,即为维持日常生产运营所必须预留的货币资金,包括库存现金和银行存款。项目评价中,现金的计算公式为

978-7-111-49223-8-Part04-146.jpg

其他费用=制造费用+管理费用+营业费用-(以上三项费用中所含的工资或薪酬、折旧费、摊销费、修理费)

其他费用=其他制造费用+其他营业费用+其他管理费用+技术转让费+研究与开发费+土地使用税

4.预付账款估算

预付账款是指企业为购买各类原材料、燃料或服务所预先支付的款项。项目评价中,预付账款的计算公式为

978-7-111-49223-8-Part04-147.jpg

(四)流动负债估算

流动负债是指将在1年(含1年)或者超过1年的一个营业周期内偿还的债务,包括短期借款、应付账款、预收账款、应付工资、应付福利费、应交税金、应付股利、预提费用等。为简化计算,项目评价中仅考虑应付账款、将发生预收账款的某些项目,还可包括预收账款。

1.应付账款估算

应付账款是因购买材料、商品或接受劳务等而发生的债务,是买卖双方在购销活动中由于取得物资与支付货款在时间上不一致而产生的负债。项目评价中,应付账款的计算公式为

978-7-111-49223-8-Part04-148.jpg

2.预收账款估算

预收账款是买卖双方协议商定,由购买方预先支付一部分货款给销售方,从而形成销售方的负债。项目评价中,预收账款的计算公式为

978-7-111-49223-8-Part04-149.jpg

流动资金估算应注意的问题

(1)投入物和产出物使用不含增值税价格时,估算中应注意将销项税额和进项税额分别包含在相应的收入成本支出中。

(2)项目投产初期所需流动资金在实际工作中应在项目投产前筹措。为简化计算,项目评价中流动资金可从投产第一年开始安排,运营负荷增长,流动资金也随之增加,但采用分项详细估算法估算流动资金时,运营期各年的流动资金数额应依照上述公式分别进行估算,不能简单地按100%运营负荷下的流动资金乘以投产期运营负荷估算。

【例6-9】 某制药项目确定计算期第二年(即投产第一年)生产负荷为40%,计算期第三年生产负荷为60%,从计算期第四年起生产负荷为100%。该项目经营成本数据见表6-2。

6-2 该项目的经营成本数据 (单位:万元)

978-7-111-49223-8-Part04-150.jpg

根据该项目生产、销售的实际情况确定其各项流动资产和流动负债的最低周转天数为:应收账款为45d、应付账款均为30d;存货中各项原材料、燃料平均为45d,在产品为3d,产成品为120d;现金为30d;该项目一般不发生预付账款和预收账款。据此估算该项目的流动资金数额,填入项目流动资金估算表(表6-3)。(保留两位小数)

【解答】 根据流动资产和流动负债各构成要素的计算公式:

第二年流动资金估算:

计算周转次数

978-7-111-49223-8-Part04-151.jpg

外购原材料=2240/8=280万元

外购燃料=380/8=47.5万元

在产品=(2240+380+400+442+400+200)/120=33.85万元

产成品=(6192-530)/3=1887.33万元

存货=280+47.5+33.85+1887.33=2248.68万元

应收账款=6192/8=774万元

现金=(442+200+1100+530+500)/12=231万元

流动资产=2248.68+774+231=3253.68万元

应付账款=(2240+380+400)/12=251.67万元

流动负债=251.67万元

流动资金=3253.68-251.67=3002.01万元

第三年、第四~十二年的流动资金估算依此类推(表6-3)。

6-3 项目流动资金估算表 (单位:万元)

978-7-111-49223-8-Part04-152.jpg

6.4 项目总投资与分年投资计划

项目总投资估算表的编制

将上述估算出的各项投资进行汇总,编制项目总投资估算表,见表6-4。

6-4 项目总投资估算表

978-7-111-49223-8-Part04-153.jpg

分年投资计划表的编制

估算出项目建设投资、建设期利息和流动资金后,根据项目计划进度的安排,应编制分年投资计划表(表6-5)。该表中的分年建设投资可以作为安排融资计划、估算建设期利息的基础;由此估算的建设期利息列入该表;流动资金本来就是分年估算的,可由流动资金估算表转入。分年投资计划表是编制项目资金筹措计划表的基础。

6-5 分年投资计划表

978-7-111-49223-8-Part04-154.jpg

实际工作中往往将项目总投资估算表、分年投资计划表和资金筹措表合而为一,编制“项目总投资使用计划与资金筹措表”。文中涉及的表格格式可查阅《建设项目经济评价方法与参数》(第3版)。

【专家点评】

本章内容是考试的重点。投资估算是咨询工程师的基本技能,应熟练掌握各种估算方法,尤其是对进口设备购置费、涨价预备费和建设期利息等的估算。本章计算公式较多,对公式不可死记硬背,应通过研习案例来记忆。同时,复习时一定要注意公式应用的前提条件以及公式中各参数代表的实际含义。

投资估算方法作为案例考核,可以是定量的,也可以是定性的。容易与第8章财务分析、第9章经济分析的相关内容结合起来出综合案例题。

2008—2012年考核过项目总投资的构成,建设投资、建设期利息的估算。题目形式都是作为综合案例的一部分,计算都不复杂,关键是记牢公式,按照估算步骤一项一项地计算,不要有遗漏。

练习题

某项目生产某种化工产品A,主要技术和设备拟从国外引进。该项目主要设施包括生产主车间,与工艺生产相适应的辅助生产设施,公用工程以及有关的生产管理、生活福利等设施。生产规模为2.3万t/年,项目拟3年建成。

该项目主要生产设备拟从国外进口,设备重量680t,离岸价(FOB价)为1200万美元。其他有关费用参数为:国外运费标准为480美元/t;国外运输保险费费率为0.25%;银行财务费率为0.5%;外贸手续费率为1.5%;关税税率为20%;增值税的税率为17%;设备的国内运杂费率为3%。人民币外汇牌价为1美元=7.5元人民币。假定不考虑其他税费。

建筑工程费、设备购置费和安装工程费的情况见表6-6。工程建设其他费用为3042.84万元。

6-6 建设投资基本数据 (单位:万元)

978-7-111-49223-8-Part04-155.jpg

预计建设期物价年平均上涨率为5%,投资分年使用计划按第一年20%,第二年60%,第三年20%的比例分配。基本预备费率取10%。

本项目的建设投资资金来源为自有资金和贷款,贷款总额为9000万元,年利率为7%,建设期内各年按30%、30%、40%的比例借款,且在各年内均衡发生。建设期内按期支付利息,并于项目投产后逐年偿还贷款。

本项目正常生产年份年营业收入预计为22000万元,营业收入资金率为35%。

【问题】 根据以上数据,估算该项目的建设投资和总投资,并将数据填入建设投资估算表(表6-7)和项目总投资估算表(表6-8)。计算数据保留两位小数。

参考答案

(1)进口设备货价=离岸价×7.5=1200×7.5=9000万元

国外运费=单位运价×运量=480×680×7.5=244.8万元

国外运输保险费=(离岸价+国外运费)×国外运输保险费费率

=(9000+244.8)×0.25%=23.11万元

进口设备到岸价=进口设备离岸价+国外运费+国外运输保险费

=9000+244.8+23.11=9267.91万元

进口关税=进口设备到岸价×进口关税率

=9267.91×20%=1853.58万元

进口环节增值税=(进口设备到岸价+进口关税)×增值税率

=(9267.91+1853.58)×17%=1890.65万元

外贸手续费=进口设备到岸价×外贸手续费费率

=9267.91×1.5%=139.02万元

银行财务费=进口设备货价×银行财务费费率

=9000×0.5%=45万元

国内运杂费=离岸价×国内运杂费费率=9000×3%=270万元

进口设备购置费=进口设备货价+进口从属费用+国内运杂费

=9000+244.8+23.11+1853.58+1890.65+139.02+45+270

=13466.16万元

(2)预备费的估算:

建筑工程费=1031+383+449+262+185+50+1100=3460万元

设备购置费=13466.16+1052+2488+1100+248=18354.16万元

安装工程费=7320+51+1017+38+224=8650万元

工程费用=3460+18354.16+8650=30464.16万元

基本预备费=(30464.16+3042.84)×10%=3350.7万元

涨价预备费的估算:

第一年工程费用=30464.16×20%=6092.83万元

第一年涨价预备费=6092.83×[(1+5%)-1]=304.64万元

第二年工程费用=30464.16×60%=18278.5万元

第二年涨价预备费=18278.5×[(1+5%)2-1]=1873.55万元

第三年工程费用=30464.16×20%=6092.83万元

第三年涨价预备费=6092.83×[(1+5%)3-1]=960.38万元

项目建设期的涨价预备费=304.64+1873.55+960.38=3138.57万元

根据以上结果编制建设投资(不含建设期利息)估算表,见表6-7。

6-7 建设投资(不含建设期利息)估算表 (单位:万元)

978-7-111-49223-8-Part04-156.jpg

(3)建设期利息估算:

第一、二、三年贷款本金分别为2700万元、2700万元、3600万元。

第一年利息978-7-111-49223-8-Part04-157.jpg

第二年利息978-7-111-49223-8-Part04-158.jpg

第三年利息978-7-111-49223-8-Part04-159.jpg

建设期利息=94.5+283.5+504=882万元

(4)流动资金估算:

根据扩大指标估算法,

流动资金=年营业收入×营业收入资金率=22000×35%=7700万元。

根据建设投资估算表、流动资金和建设期利息数据,编制项目总投资估算表(表6-8)。

6-8 项目总投资估算表 (单位:万元)

978-7-111-49223-8-Part04-160.jpg

【解题思路】

(1)要有计算过程,可直接将代入数据的公式写出;可不写教材给出的定义公式,但最好不要直接写出计算结果;如果公式对,但结果错,仍可得50%的分值。

(2)本题主要是对“建设投资估算表”、“项目总投资估算表”中各项费用的估算,涉及4个关键费用:进口设备购置费、涨价预备费、建设期利息和流动资金。

(3)在估算进口设备购置费过程中,除了要熟练掌握进口设备购置费估算的相关公式外,还要注意各费用的计算基价是离岸价,还是到岸价,或是进口设备货价;涨价预备费的估算,要注意计算基数应该是分年的工程费用,而不是工程费用和工程建设其他费用之和;流动资金估算采用扩大指标估算法。

第7章 融资方案研究

融资方案研究就是在完成投资估算的基础上构造融资方案,进行融资结构、融资成本和融资风险的分析,从而确定项目的最佳融资方案,确保项目的顺利建设和运营,并为项目的财务可行性分析提供基础。内容源自科目四《项目决策分析与评价》第7章,也可参考《建设目经济评价方法与参数》(第3版)有关内容。

【本章结构】

978-7-111-49223-8-Part04-161.jpg

【重点难点】

(1)各类融资资金的资金成本计算。

(2)新建法人项目和既有法人项目融资结构设计的不同侧重。

【内容精解】

项目法人是指依法成立、具有独立法人地位的建设工程项目法人,按《公司法》的规定设立有限责任公司和股份有限公司等,可由发起人和投资人组建而成。是新设法人还是既有法人,意味着项目的融资主体不同,在融资方式和项目的财务分析方面也存在较大差异。

项目资金有项目资本金和债务资金两种,资金来源可分为内部资金来源和外部资金来源,相应地,融资可以分为内源融资和外源融资。内源融资即吸收既有法人内部的资金,包括货币资金、资产变现、企业产权转让、直接使用非现金资产;外源融资即吸收融资主体外部的资金,包括财政性资金、信贷资金等。外源融资又可分为直接融资和间接融资。直接融资方式有发行股票和企业债券等;间接融资方式有向商业银行申请贷款、委托信托公司进行证券化融资等。

本章重点介绍资本金筹措、债务资金筹措和融资方案设计与优化(包括资金结构、资金成本和融资风险分析)。其中涉及许多基本概念,有不明白的地方可查阅本套丛书第四册或其他资料。

7.1 资金筹措

资金筹措分为资本金筹措和债务资金筹措。

资本金筹措

(一)项目资本金制度

1996年,国家出台《国务院关于固定资产投资项目试行资本金制度的通知》(国发[1996]35号),对国内有关项目实行资本金制度。2015年,国务院印发《关于调整和完善固定资产投资项目资本金制度的通知》,对有关内容进行了修改。

1.概念

投资项目资本金,是指在投资项目总投资中,由投资者认缴的出资额。这里作为计算资本金基数的总投资,是指投资项目的建设投资、建设期利息与铺底流动资金(流动资金的30%)之和。

对投资项目来说资本金是非债务性资金,项目法人不承担这部分资金的任何利息和债务。投资者可按其出资的比例依法享有所有者权益,也可转让其出资,但不得以任何方式抽回。

2.资本金制度的实行范围

各种经营性投资项目(包括国有单位的基本建设、技术改造、房地产开发项目和集体投资项目)试行资本金制度,投资项目必须首先落实资本金才能进行建设。个体和私营企业的经营性投资项目参照规定执行。

并非所有项目都实行资本金制度,公益性投资项目不实行资本金制度。

3.项目资本金的出资方式

除了货币出资,投资项目资本金还可以用实物、工业产权、非专利技术、土地使用权作价出资。对作为资本金的实物、工业产权、非专利技术、土地使用权,必须经过有资格的资产评估机构依照法律、法规评估作价,不得高估或低估。

以工业产权、非专利技术作价出资的比例不得超过投资项目资本金总额的20%,国家对采用高新技术成果有特别规定的除外。

4.项目资本金占项目总投资的比例(表7-1,按新文件执行)

7-1 项目资本金占项目总投资的比例

978-7-111-49223-8-Part04-162.jpg

(续)

978-7-111-49223-8-Part04-163.jpg

这里的总投资只包含了30%的流动资金。在筹措项目资本金时,根据不同行业设定项目资本金额度。

5.外商投资企业注册资本的比例要求(表7-2)

7-2 外商投资企业注册资本占投资总额的最低比例

978-7-111-49223-8-Part04-164.jpg

这里的投资总额等于建设投资、建设期利息与流动资金之和。

(二)新设法人项目资本金筹措

新设法人的项目资本金一是在新法人设立时由发起人[3]和投资人提供,二是由新法人在资本市场上发行股票筹措。

发起人或投资人有些情况下可能对资本金安排不到位,需要由初期设立的项目法人进一步筹措,筹措的主要形式有:募集股本资金和合资合作。

1.募集股本资金

募集方式有私募与公开募集。私募是指将股票直接出售给少数特定的投资者,不通过公开市场销售;公开募集是在证券市场上公开向社会发行销售。

在证券市场上公开发行股票,需要遵循许多程序和规定,因此筹资费用较高、筹资时间较长;而私募的程序可相对简化。

2.合资合作

初期设立的项目法人在资本投资市场上寻找新的投资者,与新的投资者以合资合作等形式,重新组建新的法人;或者由发起人和投资人与新的投资者进行资本整合,重新设立新的法人,使重新设立的新法人拥有的资本达到或满足项目资本金的额度要求。

采用这一方式,新法人往往需要重新进行公司注册或变更登记。

(三)既有法人项目资本金筹措

1.内部资金来源

主要是指既有法人的自有资金,主要来自:企业的现金、未来生产经营中获得的可用于项目的资金、企业资产变现和企业产权转让。

(1)企业的现金是企业的库存现金和银行存款,扣除保持必要的日常经营所需货币资金额后多余的资金。

(2)企业从生产经营中获得的现金也就是估算出的未来企业经营获得的净现金流量。

(3)企业将现有资产变现取得现金,表现为非现金货币资产的减少、现金货币资产的增加,而资产总额并没有发生变化。

(4)企业产权转让是将原有产权部分或全部转让给他人以换取资金,表现为企业资产控制权或产权结构发生变化,对于原有的产权人,其控制的企业原有资产的总量会减少。

2.外部资金来源

外部资金来源主要是既有法人通过在资本市场发行股票和企业增资扩股,以及一些准资本金手段,如优先股,来获取外部投资人的权益资金投入,用于新上项目的资本金。

(1)企业可以通过原有股东增资以及吸收新股东增资扩股,包括国家股、企业法人股、个人股和外资股的增资扩股。

(2)优先股是一种介于股本资金与负债之间的融资方式。优先股股东不参与公司的经营管理,没有公司的控制权;通常不需要还本,但要支付固定股息(通常要高于银行贷款利息),所以相对于其他借款融资通常处于较后的受偿顺序;而对于普通股股东来说,优先股通常要优先受偿,是一种负债。

债务资金筹措

(一)债务资金筹措应考虑的主要因素

债务资金筹措应考虑的主要因素包括债务期限、债务偿还、债务序列、债权保证、违约风险、利率结构、货币结构与国家风险。债务期限与资金使用计划、债务偿还计划及融资成本有关;利率结构主要有浮动利率、固定利率以及浮动/固定利率等不同的利率机制。

注意:贷款往往有宽限期(宽限期内只付息、不还本),会影响利息计算和偿还计划。

(二)债务资金的资金来源和融资方式

债务资金主要有信贷、债券和租赁三种融资方式。

1.信贷方式(表7-3)

7-3 借款方式

978-7-111-49223-8-Part04-165.jpg

(续)

978-7-111-49223-8-Part04-166.jpg

2.债券方式(表7-4)

7-4 债券方式

978-7-111-49223-8-Part04-167.jpg

3.租赁方式

租赁有经营租赁、融资租赁两种,其中融资租赁可作为债务资金的一种筹措方式。

经营租赁是出资方以自己经营的设备租给承租方使用,承租方支付租金,可以节约项目运行期间的成本开支,不能作为债务资金的一种筹措方式。而融资租赁有别于经营租赁,通常由承租人选定需要的设备,由出租人购置后租赁给承租人,承租人支付租金,并可以选择租赁期满时是否廉价购买该设备;承租人租赁取得的设备按照固定资产计提折旧。因此融资租赁是一种融物与融资相结合的筹资方式,通常承租人可以对设备的全部价款得到融资,融资额度比使用贷款要大,租赁费中所含的相当于利息的部分也比贷款利息高。

7.2 特许经营项目融资

特许经营项目融资主要在基础设施建设领域使用,是由国家或地方政府将基础设施的投资和经营权通过法定的程序,有偿或无偿地交给选定的投资人投资经营。

特许经营项目融资的优缺点

978-7-111-49223-8-Part04-168.jpg

几种融资模式

1)BOT模式:通过特许权协议,授权私营商进行项目的融资、设计、建造、经营和维护,在规定的特许期内向使用者收取费用,特许期满后移交给政府。

2)PPP模式:公共部门与私营部门为提供公共产品或服务而建立的合作关系,强调优势的互补、风险的分担和利益的共享。

3)PFI模式:政府发起项目,私人企业负责建设与运营;政府的目的在于获得有效的服务,而并非为了最终取得建筑的所有权;私人企业的目的在于获得政府或公众的付费,实现收入。

4)ABS模式:通过项目收益资产证券化来为项目融资。

7.3 融资方案设计与优化

本节的主要内容就是编制项目资金筹措方案,并进行资金结构、资金成本和融资风险分析。

编制项目资金筹措方案

资金筹措方案是对资金来源、资金筹措方式、融资结构和数量等作出的整体安排,应当在项目分年投资计划基础上编制。一个完整的项目资金筹措方案,主要包括两部分:项目资金来源计划表和总投资使用计划与资金筹措表。

(一)编制项目资金来源计划表

项目资金来源计划表主要反映项目资本金及债务资金来源的构成。

注意:每一项资金来源的融资条件和融资可信程度都要在表中加以说明和描述,或在表中附注。表格格式可见科目四教材第7章。

(二)编制总投资使用计划和资金筹措表

该表中的资金筹措部分是根据项目资金来源计划表和总投资使用计划进行安排的。

该表是投资估算和融资方案两部分的衔接点,其表格格式详见《方法与参数》附录B中表B5。编制时应注意:

(1)各年度资金的需求与筹措在时序、数量两方面都能平衡。

(2)建设期利息应按照与建设投资用款计划相匹配的筹资方案来计算,计算方式见本书本部分第6章投资估算6.2节。

资金结构分析

项目的资金结构就是融资方案中各种资金的比例关系,包括资本金和债务资金的比例、资本金结构和债务资金结构。资金结构的分析是一项重要内容。

(一)资本金与债务资金比例

在项目总投资和投资风险一定的条件下,项目的资本金比例越高,权益投资人投入项目的资金越多,承担的风险越高,而提供债务资金的债权人承担的风险越低。

从权益投资人的角度,希望以较少的资本金投资获得较多的债务融资,同时尽可能降低债权人对股东的追索;而从债权人的角度,则希望项目有较高的资本金比例以降低债权的风险。如果资本金比例低于银行可接受的水平,则银行将会拒绝贷款。可见,项目资本金比例越高,贷款的风险越低,利率也越低,反之贷款利率越高。

(二)资本金结构

资本金结构包含两方面内容:投资产权结构和资本金比例结构。

(1)投资产权结构有三种:股权式合资结构、契约式合资结构、合伙制结构。

(2)不同的权益比例决定着各投资人在项目及公司中的作用、承担的责任义务、收益分配,如果出资比例处理不当,利益没有得到合理分配,可能会造成项目实施困难。

(三)债务资金结构

债务资金结构需要分析各种债务资金的比例、债务期限配比、境内外借贷比例、外汇币种选择和偿债顺序安排。

(1)债务期限配比主要是指长短期借款合理搭配,适当安排一些短期融资可以降低总的融资成本,但如果短期借款太多,会产生过高的财务风险。

(2)项目投资中如果有国外采购,则可以寻求国外的政府贷款、出口信贷等优惠融资。

(3)选择外汇币种时通常主要考虑的是还款币种,需要权衡汇率变化与利率差异。

资金成本分析

(一)资金成本的概念

1.资金成本是指项目使用资金所付出的代价

即:资金成本=资金占用费+资金筹集费。

资金占用费是指资金使用过程中发生的向资金提供者支付的代价,包括借款利息、债券利息、优先股股息、普通股红利及权益收益等;资金筹集费是指资金筹集过程中所发生的各种费用,包括律师费、资信评估费、公证费、证券印刷费、发行手续费、担保费、承诺费、银团贷款管理费等。

2.通常以资金成本率来表示资金成本

资金成本率是指筹得的资金与筹资期及使用期所付出的代价等值时的收益率或贴现率。不同来源的资金其资金成本率不同,但理论上均可用下列公式表示

978-7-111-49223-8-Part04-169.jpg

式中 Ft——各年实际筹措资金流入额;

Ct——各年实际资金筹集费和对资金提供者的各种付款,包括贷款、债券等本金的偿还;

i——资金成本率;

n——资金占用期限。

注意:资金成本率也可以简单地理解成使用资金所支付的代价与筹集资金净额之比,表示为

978-7-111-49223-8-Part04-170.jpg

(二)权益资金成本分析

1.优先股资金成本

优先股资金成本=优先股股息/(优先股发行价格-发行成本)

注意:优先股有固定的股息,股息用税后净利润支付,这一点与贷款、债券利息等的支付不同;股票一般是不还本的,故可将它视为永续年金。这一公式可由前面的理论通用公式推导得出,资金占用期限n为∞。

【例7-1】 某优先股面值为100元,发行价格为95元,发行成本率为2%,每年付息一次,固定股息率为5%。试计算优先股资金成本。

【解答】978-7-111-49223-8-Part04-171.jpg,则该项优先股的资金成本率约为5.38%。

2.普通股资金成本

普通股资金成本可采用资本资产定价模型法、税前债务成本加风险溢价法和股利增长模型法等进行估算,也可直接采用投资方的预期报酬率和既有法人的净资产收益率。

注意:普通股的股息是不固定的,难以估算。

(1)资本资产定价模型法

计算公式为:Ks=Rf+βRm-Rf

式中 Ks——普通股资金成本;

Rf——社会无风险投资收益率;

β——项目的投资风险系数;

Rm——市场投资组合预期收益率。

【例7-2】 某期间社会无风险投资收益率为7%,市场投资组合预期收益率为15%,某公司普通股的投资风险系数为1.2,计算该普通股的资金成本。

【解答】 普通股资金成本=7%+1.2×(15%-7%)=16.6%。

(2)税前债务成本加风险溢价法

计算公式为:Ks=Kb+RPc

式中 Kb——税前债务资金成本;

RPc——投资者比债权人承担更大风险所要求的风险溢价。

注意:这里的债务资金成本可以是借款资金成本或者债券资金成本,比较容易计算。但是风险溢价不好计算,可以凭借经验估计。一般某企业普通股风险溢价对其自己发行的债券来讲,大约在3%~5%之间,当市场利率达到历史性高点时,风险溢价较低,在3%左右;当市场利率处于历史性低点时,风险溢价通常较高,在5%左右;通常采用4%的平均风险溢价。

【例7-3】 某股份公司发行的债券成本为8%,则其普通股的资金成本是多少?

【解答】 普通股资金成本=8%+4%=12%。

(3)股利增长模型法

假定股票投资的收益率不断提高,且以固定的增长率递增,则普通股资金成本Ks的计算公式为

978-7-111-49223-8-Part04-172.jpg

式中 D1——预期年股利额;

P0——普通股市价;

G——普通股利期望年增长率。

注意:这里的普通股不是指企业新发行的普通股,如果是新发行的,则还需要调整筹资费用对资金成本的影响。

【例7-4】 某上市公司普通股目前市价为66元,预期年末发放股利每股2元,预计股利年增长率为5%,试计算普通股资金成本。

【解答】978-7-111-49223-8-Part04-173.jpg

(三)所得税前的债务资金成本分析

由理论通用公式推导出债务资金成本的计算公式为

978-7-111-49223-8-Part04-174.jpg

式中 P0——长期借款金额或债券发行额,即债务现值;

F——债务资金筹资费用率;

Pt——约定的第t期末偿还债务本金;

It——约定的第t期末支付的债务利息;

i——债务资金成本。

注意:本公式中未计入债券兑付手续费,实际计算中如果给出此数据,则应该计入。

1.借款资金成本

借款资金成本是指向银行及其他金融机构以借贷方式筹措的资金。

【例7-5】 某企业期初借入3年期银行贷款200万元,年利率为7%,每年付息一次,到期一次还本,筹资费用率为1%。试计算该借款资金成本。

【解答】 利用债务资金成本公式:

978-7-111-49223-8-Part04-175.jpg

用试算法得出i=7.38%,则该项借款资金的资金成本为7.38%。

试算时可以直接计算,也可查找年金现值系数和一次支付现值系数。

注意:各种借款的资金成本受到借款利率水平、利率计算方式(固定利率或者浮动利率)、计息(单利或复利)、付息方式、偿还期和宽限期等的影响,所以应该对不同的借款方案进行比选。利息的计算方式见本书本部分第6章投资估算6.2节。

2.债券资金成本

债券的发行价格有三种:溢价发行,即以高于债券票面金额的价格发行;低价发行,即以低于债券票面金额的价格发行;等价发行,即以债券票面金额的价格发行。债券资金成本的计算与借款资金成本的计算类似。

【例7-6】 某公司等价发行总面值为400万元的5年期债券,票面年利率为10%,到期一次还本付息(按单利计算),发行费用率为2%,兑付时要交0.5%的手续费。试计算债券资金成本。

【解答】 根据债务资金成本公式:

978-7-111-49223-8-Part04-176.jpg

用试算法求得i=8.96%,则该项借款资金的资金成本为8.96%。

试算时可以直接计算,也可查找一次支付现值系数。

注意:若溢价发行或折价发行,则为更精确地计算资金成本,应以债券面值为基准计算发行费用和兑付费用。

3.融资租赁资金成本计算

融资租赁所支付的租赁费一般包括类似于借贷融资的资金占用费和对本金的分期偿还额。

【例7-7】 融资租赁公司提供的设备融资额为100万元,年租赁费率为16%,按年支付,租赁期限10年,到期设备归承租方,租赁前期已花费各种费用2万元。计算融资租赁资金成本(忽略设备余值的影响)。

【解答】 根据债务资金成本公式,利用年金现值系数公式:

978-7-111-49223-8-Part04-177.jpg

用试算法求得i=10.07%,则该项借款资金的资金成本为10.07%。

(四)扣除所得税影响的债务资金成本

借款、债券等的融资费用和利息支出均在缴纳所得税前支付,可以起到抵减所得税的作用。所以此类融资应该计算所得税后资金成本。常用的简化计算公式为

所得税后资金成本=税前资金成本×(1-所得税税率)

但是并非所有付款都能起到抵减所得税的作用,如借款本金是在所得税后支付。因此更细致的税后债务资金成本公式为

978-7-111-49223-8-Part04-178.jpg

式中 T——所得税率;

Kd——税后债务资金成本。

注意:应根据项目具体情况确定债务期限内各年的利息是否应乘以(1-T),如在项目的建设期内和项目运营期内的免征所得税年份,由于利息不考虑所得税影响,不用乘以(1-T)修正。

【例7-8】 某项目建设期1年,第二年即可投产盈利,按有关规定免征所得税1年。所得税率为25%。该项目在建设期初向银行借款800万元,筹资费用率为0.5%,年利率为6%,从借款当年开始,每年付息一次、到期一次还本要求4年内还清。试计算该借款的税后资金成本。

解答】 根据税后资金成本的计算公式,第一年和第二年不乘以(1-T):

978-7-111-49223-8-Part04-179.jpg

(1)可查现值系数表(5%)代入公式得

800×(1-0.5%)-48×0.9524-48×0.9070-36×0.8638-836×0.8227=-12.13万元

(2)调高 贴现率为6%,再试:

800×(1-0.5%)-48×0.9434-48×0.8900-36×0.8396-836×0.7921=15.58万元

(3)利用内插法得税后资金成本为

978-7-111-49223-8-Part04-180.jpg

则本项借款的税后资金成本为5.44%。

(五)扣除通货膨胀影响的资金成本

借款资金利息等通常包含通货膨胀因素的影响,既有近期实际通货膨胀,又有未来预期通货膨胀。扣除通货膨胀影响的资金成本可按下式计算

978-7-111-49223-8-Part04-181.jpg

【例7-9】 对于上例,如果通货膨胀率为2%,试计算扣除通货膨胀后的资金成本。

【解答】 扣除通货膨胀影响的税后资金成本=(1+5.44%)/(1+2%)-1=3.37%。

注意:计算扣除通货膨胀影响的资金成本时,因为所得税也受到通货膨胀的影响,所以应当先扣除所得税的影响,然后扣除通货膨胀的影响。次序不能颠倒,否则结果会产生偏差。

(六)加权平均资金成本

项目的融资方案有多种资金来源,可以用加权平均资金成本来表示方案的总体资金成本。计算公式如下

978-7-111-49223-8-Part04-182.jpg

式中 Kw——加权平均资金成本;

Kj——第j种融资的资金成本;

Wj——第j种融资金额占全部融资金额的比例。

注意:计算加权平均资金成本时要注意先把不同来源和筹集方式的资金成本统一为税前或税后再进行计算。

融资风险分析

融资风险分析是项目风险分析中非常重要的一个组成部分,同样适用风险识别、风险估计和评价、风险对策的风险管理步骤。融资风险分析应重点考虑下列风险因素:资金运用风险、项目控制风险、资金供应风险、资金追加风险、利率及汇率风险,见表7-5。

7-5 融资风险分析

978-7-111-49223-8-Part04-183.jpg

㊀ 利率掉期是指同种货币资金的不同种类利率之间的交换交易,固定利率交换成浮动利率,浮动利率交换成固定利率。

【专家点评】

这部分的内容复习难度不大,重点应放在各类融资资金的资金成本上,计算公式要记清,不要混淆。虽然公式简单,但是题目样式繁多,一定要记住定义,逐年分清各项费用,然后代入公式计算。

2008年考核了总体税后资金成本的计算,2010年考核的是项目资本金的含义和筹措途径,2013年考核的是特许经营项目融资的优点和加权平均资金成本的计算。

练习题

1.某新设法人项目期初从银行贷款100万元,年利率为4%,期限为3年,按年计息,到期一次还清本息,资金筹集费为贷款额的1%,所得税税率为25%。假定该期间通货膨胀率为3%。该项目工作人员计算此借款的扣除通货膨胀影响的税后资金成本的过程如下:

(1)税前债务资金成本为:

978-7-111-49223-8-Part04-184.jpg

利用试算法得到i=13.62%

(2)扣除通货膨胀影响:(1+13.62%)/(1+3%)-1=10.31%

(3)扣除通货膨胀影响的税后资金成本:10.31×(1-25%)=7.73%

【问题】 请问上述计算过程是否正确?如果不正确,请改正。

2.某上市公司各种融资资金及资金成本见表7-6,要求计算公司融资方案的总资金成本。

7-6 某上市公司各种融资资金及资金成本

978-7-111-49223-8-Part04-185.jpg

注:表中长期借款、债券和设备融资租赁均为税后资金成本。

参考答案

1.计算扣除通货膨胀影响的资金成本时应首先计算扣除所得税的影响,再扣除通货膨胀的影响,因为所得税也受到通货膨胀的影响。上述计算顺序颠倒,正确的计算顺序如下:

(1)税后债务资金成本:

978-7-111-49223-8-Part04-186.jpg

利用试算法得到i=3.37%

(2)扣除通货膨胀因素的资金成本:(1+3.37%)/(1+3%)-1=0.36%

所以扣除通货膨胀因素的税后资金成本应为0.36%。

2.根据加权资金成本的计算公式:

978-7-111-49223-8-Part04-187.jpg

则该公司融资方案的总资金成本为8.5%。

第8章 财务分析

财务分析,又称财务评价,是投资项目决策分析与评价中为判定项目财务可行性所进行的一项重要工作。财务分析的具体内容、方法和评价指标与项目类型、项目性质和项目目标密切相关,应注意根据项目特点合理选择。本章内容侧重对财务分析相关方法及相关指标计算的介绍,有关基础概念、计算公式及财务评价表格可参见第四科目第9章财务分析或《方法与参数》(第3版)附录B。此外,本章与第6章、第7章、第9章、第11章和第12章均有联系,应从知识结构上把握其整体性。

【本章结构】

978-7-111-49223-8-Part04-188.jpg

【重点难点】

(1)营业收入的估算。

(2)固定资产原值及固定资产折旧费估算。

(3)长期借款利息计算。

(4)项目各年现金流量的识别和计算。

(5)区分所得税与调整所得税的不同计算基数。

(6)投资回收期。

(7)项目财务净现值(FNPV)。

(8)项目财务内部收益率(FIRR)。

(9)利息备付率和偿债备付率。

(10)简化的改扩建项目盈利能力增量分析。

【内容精解】

财务分析是在现行法规、制度和价格体系下,选取必要的基础数据进行财务效益和费用的估算,编制财务分析报表和计算财务分析指标,进行财务盈利能力分析、偿债能力分析和财务生存能力分析,据以评价项目的财务可行性。

8.1 概述

财务分析是项目决策分析与评价的重要组成部分,是项目投资决策的重要依据,同时财务分析结果还可以用于建设方案比选,优化方案设计,使项目整体更加合理。

财务分析的基本原则

1.费用与效益计算口径的一致性原则

投入和产出的估算限定在同一范围内,计算的净效益才是投入的真实回报。

2.费用与效益识别的有无对比原则

“有”是指实施项目的将来状况,“无”是指不实施项目的将来状况。因为即使不实施该项目,现状也很可能发生变化。在识别项目的效益和费用时,只有“有无对比”的差额部分才是由于项目的建设增加的效益和费用,即增量效益和费用。这样才能排除其他原因,真正体现项目投资的净效益。

有无对比直接适用于依托老厂进行的改扩建与技术改造项目(简称改扩建项目)的增量盈利能力分析。新建项目也同样适用该原则,只是通常认为无项目与现状相同,其效益与费用均为零。

3.动态分析与静态分析相结合,以动态分析为主的原则

国际通行的财务分析都是以动态分析方法为主,即应用资金时间价值原理,考虑项目整个计算期内各年的效益和费用,采用现金流量分析的方法,计算内部收益率和净现值等评价指标。

4.基础数据确定的稳妥原则

财务分析中所需要的大量基础数据都来自预测和估计,为了避免人为的乐观估计所带来的风险,在基础数据的确定和选取中应当遵循稳妥原则。

财务分析的步骤

投资估算和融资方案是财务分析的基础,在实际操作过程中,三者互有交叉。在财务分析的分析方法和指标体系设置上体现了这种交叉。严格来说,投资决策在先,融资决策在后,根据不同决策的需要,财务分析可分为融资前分析和融资后分析。

首先要做的是融资前的项目投资现金流量分析,考察项目方案设计是否基本可行,是否值得为之融资,用于投资决策以及方案或项目的比选。如果融资前分析结果是“可行”,才有必要考虑融资方案,进行融资后分析,包括项目资本金现金流量分析、偿债能力分析和财务生存能力分析等,用于融资决策以及融资方案的比选。如果融资前分析结果不能满足要求,则需要返回去修改项目建设方案。若经多次修改结果仍不理想,甚至可作出放弃项目的建议。

财务分析的步骤见图8-1,其中还体现了财务分析与投资估算、融资方案等部分的关系。

注意:在项目的规划和机会研究阶段,可只进行融资前分析,也可只选取所得税前指标;可行性研究阶段必须进行融资后分析。实践中,在可行性研究报告完成之后,还需要进一步深化融资后分析,才能完成最终的融资决策。

978-7-111-49223-8-Part04-189.jpg

图8-1 财务分析的步骤

财务分析的重要参数

(一)项目计算期的确定

项目计算期是指对项目进行经济评价应延续的年限,包括建设期和运营期。评价用的建设期是指从项目资金正式投入起到项目建成投产止所需要的时间;评价用的运营期应根据行业特点、主要装置(或设备)的经济寿命期等确定。

对于中外合资项目,应将估定的评价用运营期与其合资生产年限相比较,按两者孰短的原则确定。

(二)财务分析的价格体系

1.影响价格变动的因素

归纳起来有两类:一是相对价格变动因素,是指商品之间的比价关系;二是绝对价格变动因素,是指用货币单位表示的商品价格水平,一般表现为物价总水平的变化,即通货膨胀或通货紧缩。

2.三种价格体系及其关系

在项目财务分析中,需要对项目整个计算期内的价格进行预测,涉及三种价格体系:

(1)基价(或称固定价格) 是指以基年价格水平表示的、不考虑其后价格变动的价格。如果采用基价,项目计算期内各年价格均相同。一般选择评价工作进行的年份为基年,也有选择预计的开始建设年份的。基价是确定项目涉及的各种货物预测价格的基础,也是估算建设投资的基础。

(2)时价 是指任何时候的当时市场价格,它包含了相对价格变动和绝对价格变动的影响。以基价为基础,按照预计的各种货物的不同价格上涨率分别求出它们在计算期内任何一年的时价。

(3)实价 是以基年价格水平表示的,只反映相对价格变动影响的价格。可以由时价中扣除物价总水平变动的影响来求得实价。

设某年的价格上涨率(或称时价上涨率)为c,物价总水平上涨率为f,实价上涨率为r,则三者的关系是:978-7-111-49223-8-Part04-190.jpg

(三)财务分析的取价原则

(1)财务分析应采用预测价格 预测价格应在选定的基年价格基础上测算,一般选择评价当年为基年。视项目具体情况决定采用上述何种价格体系。

(2)现金流量分析原则上采用实价体系 采用实价计算净现值和内部收益率进行现金流量分析是国际上比较通行的做法。因为实价排除了通货膨胀因素带来的“浮肿利润”,能够相对真实地反映投资的盈利能力。

(3)偿债能力分析和财务生存能力分析原则上采用时价体系 采用时价价值表示的投资费用、融资数额等进行财务预测,有利于描述项目计算期内各年当时的财务状况,能真实地反映项目的偿债能力和财务生存能力,这也是国际上比较通行的做法。

(4)对财务分析采用的价格体系进行简化。

1)一般在建设期间既要考虑通货膨胀因素,又要考虑相对价格变化,包括对建设投资的估算和对运营期投入产出价格的预测。

2)在项目运营期内,一般情况下盈利能力分析和偿债能力分析可以采用同一套价格,即预测的运营期价格。

3)在项目运营期内,可根据项目和产出的具体情况,选用固定价格(项目运营期内各年价格不变)或考虑相对价格变化的变动价格(项目运营期内各年价格不同,或某些年份价格不同)。

4)当有要求或通货膨胀严重时,项目偿债能力分析和财务生存能力分析要采用时价价格体系。

(5)对于产出物适用增值税的项目,其投入物和产出物价格按不含税价格处理。

8.2 财务效益与费用的估算

财务效益与费用是指项目运营期内企业获得的收入和支出。主要包括营业收入、成本费用和有关税金等。某些项目可能得到的补贴收入也应计入财务效益。财务效益与费用估算中,通常可首先估算营业收入,然后估算经营成本,最后完成总成本费用的估算。

营业收入估算

营业收入是指销售产品或提供劳务所获得的收入,是现金流量表中现金流入的主体,也是利润表的主要科目。

营业收入估算首先要合理确定运营负荷(或称生产能力利用率和开工率)以及产品或服务的价格,对生产多种产品或提供多种服务的项目应分别估算或合理折算,最终编制营业收入估算表。在估算营业收入的同时,往往还要完成相关流转税金的估算,主要是指增值税、营业税、消费税、城市维护建设税、教育费附加等。

注意运营负荷是指项目运营过程中负荷达到设计能力的百分数。各期运营负荷的高低主要取决于市场。

【例8-1】 某新建项目生产产品A,产品线设计生产能力为100万件/年。该项目建设期为1年,运营期为7年。计算期第二年产品A投产,产能达到设计生产能力的60%,计算期第三年达到设计生产能力的80%,以后各年产能均能达到设计生产能力。生产产品A所需消耗的原材料和燃料动力成本折合为117元/件(含税成本),销售价格为234元/件(含税价格)。试估算该项目各年的营业收入及增值税(增值税税率为17%)。

【解答】

(1)营业收入估算:

预测销售量=生产负荷×设计生产能力

营业收入=预测销售量×产品售价

相应计算结果见表8-1。

(2)增值税估算:

销项税额=含税收入/(1+增值税税率)×增值税税率

=不含税收入×增值税税率

进项税额=外购原材料、燃料动力含税成本/(1+增值税税率)×增值税税率

=外购原材料、燃料动力不含税成本×增值税税率

增值税=销项税额-进项税额

相应计算结果见表8-1。

8-1 某项目营业收入和增值税估算表

978-7-111-49223-8-Part04-191.jpg

注:此表中的产品售价已处理为不含增值税价格。

补贴收入估算

项目运营期内得到的各种与收益相关的政府补助可作为补贴收入计入财务效益,包括先征后返的增值税、依据国家规定的补助定额(按销量或工作量等)计算的定额补贴、属于国家财政扶持领域的其他形式补助。

需指出的是,这里的补贴收入仅包括与收益相关的政府补助,与资产相关的政府补助不在补贴收入中核算。

相关税金估算

项目评价涉及的税金主要有增值税、营业税、消费税、资源税、关税、所得税、城市维护建设税和教育费附加等,有些行业还涉及土地增值税。在会计处理上,营业税、资源税、消费税、土地增值税、城市维护建设税和教育费附加包含在“营业税金及附加”中。

财务分析涉及的主要税种及相关的费用效益科目见表8-2。各种税金的估算应按税法的有关规定执行,这里仅就增值税、关税、企业所得税作简单介绍。

8-2 财务分析涉及税种表

978-7-111-49223-8-Part04-192.jpg

(1)增值税 要分析哪些进项税额准予抵扣;实行增值税改革后,增加了一项“可抵扣固定资产进项税”。当项目进口原材料时也会涉及增值税的计算。

(2)关税 项目评价中涉及应税货物的进出口时,应按规定正确计算关税。引进技术、设备、材料的关税体现在投资估算中,而进口原材料的关税体现在成本中。

(3)企业所得税 项目评价中应注意按有关税法对所得税前扣除项目的要求,正确计算应纳税所得额,同时注意正确使用有关的所得税优惠政策,并加以说明。计算公式为

应纳税额=应纳税所得额×税率

其中 应纳税所得额=利润总额-弥补以前年度亏损

利润总额=营业收入-总成本费用-营业税金及附加(各种收入、成本均为不含增值税的数据)

成本与费用估算

成本与费用估算应遵循国家现行的《企业会计制度》和《企业会计准则》规定的成本和费用核算方法,同时应遵循有关税法中准予在所得税前列支科目的规定。估算时,要注意成本费用与收入的计算口径对应一致,各项投入物与产出物的价格体系对应一致;划分清楚各项费用,防止重复计算或低估漏算。

(一)总成本费用估算方法

总成本费用指在一定时期(通常为一年)为生产和销售产品或提供服务而发生的全部费用。与会计制度规定有所不同,项目评价中,将管理费用、财务费用和营业费用这三项费用与生产成本合并为总成本费用。总成本费用的构成及估算通常按照以下两种方法进行,其中生产要素估算法是项目评价中通常采用的方法。

1.总成本费用构成及计算公式

(1)生产成本加期间费用估算法

总成本费用=生产成本+期间费用

式中 生产成本=直接材料费+直接燃料和动力费+直接工资或薪酬+其他直接支出+制造费用

期间费用=管理费用+营业费用+财务费用

财务分析中一般只考虑财务费用中的利息支出,所以上式可改成

期间费用=管理费用+营业费用+利息支出

(2)生产要素估算法 与前面的方法不同,此方法是从估算各种生产要素的费用入手汇总得到项目总成本费用,而不管其具体应归集到哪个产品上。此方法不必考虑项目内部各生产环节的成本结转,同时也较容易计算项目的可变成本、固定成本和增值税进项税额。计算公式为

总成本费用=外购原材料、燃料及动力费+工资或薪酬+折旧费+摊销费+修理费+利息支出+其他费用

式中 其他费用=制造费用+管理费用+营业费用-(以上三项费用中所含的工资或薪酬、折旧费、摊销费、修理费)

注意:本部分第6章第6.3节流动资金估算中也涉及了其他费用的计算公式。

2.生产要素估算法的估算要点

(1)外购原材料、燃料及动力费

1)相关专业所提出的外购原材料和燃料动力年耗用量。

2)应按入库价格计算,即到厂价格并考虑途库耗量;或者按到厂价格计算,同时把途库耗量换算到年耗用量中。

3)适用的增值税税率,以便估算进项税额。

(2)工资或薪酬 执行新《企业会计准则》的项目(企业),应当用“职工薪酬”代替“工资”。职工薪酬包括:

1)职工工资、奖金、津贴和补贴(这是原来“工资”的概念)。

2)职工福利费。

3)社会保险费(包括医疗保险费、养老保险费、失业保险费等)。

4)住房公积金。

5)工会经费和职工教育经费。

6)非货币性福利。

7)因解除与职工的劳动关系给予的补偿。

8)其他与获得职工提供的服务相关的支出。

注意:按照生产要素估算法估算总成本费用时,其中的工资或薪酬是指项目全部定员的工资或薪酬。如采用分档工资或薪酬,最好编制工资或薪酬估算表。

(3)固定资产原值及折旧费

1)固定资产原值。是指项目投产时(达到预定可使用状态)按规定由投资形成固定资产的部分,包括:工程费用、工程建设其他费用中应计入固定资产原值的部分(也称固定资产其他费用)、预备费用和建设期利息。其中,工程费用包括:建设工程费、设备购置费、安装工程费;工程建设其他费用中应计入固定资产原值的部分见第6章6.1节。

注意:可抵扣固定资产进项税不得计入固定资产原值。

2)固定资产折旧。是指固定资产在使用过程中由于损耗而减少的价值。财务分析中折旧费通常按年计列,符合税法的折旧费允许在所得税前列支。

计算固定资产折旧一般采用直线法,包括年限平均法和工作量法;对某些机械设备也可采取快速折旧法,包括双倍余额递减法和年数总和法。各种折旧方法的计算公式如下:

①年限平均法

978-7-111-49223-8-Part04-193.jpg

年折旧额=固定资产原值×年折旧率

注意:预计净残值是指固定资产预计使用寿命已满并处于使用寿命终了时,残余固定资产能够变现的价值;预计净残值率是指预计净残值与固定资产原值之比。

②工作量法。工作量法又分两种,一是按照行驶里程计算折旧,二是按照工作小时计算折旧。按照行驶里程计算折旧的公式

978-7-111-49223-8-Part04-194.jpg

年折旧额=单位里程折旧额×年行驶里程

按照工作小时计算折旧的公式

978-7-111-49223-8-Part04-195.jpg

年折旧额=每工作小时折旧额×年工作小时

③双倍余额递减法

978-7-111-49223-8-Part04-196.jpg

年折旧额=年初固定资产净值×年折旧率

年初固定资产净值=固定资产原值-以前各年累计折旧

使用该法时,应在折旧年限到期前两年内,将固定资产净值扣除净残值后的净额平均摊销。

④年数总和法

978-7-111-49223-8-Part04-197.jpg

年折旧额=(固定资产原值-预计净残值)×年折旧率

3)几种折旧方法的比较。无论采用何种折旧方法,只要折旧年限相同,取定的净残值率相同,总折旧额就是相同的。三种方法的特点见表8-3。

8-3 三种折旧方法特点对比表

978-7-111-49223-8-Part04-198.jpg

【例8-2】 某新购设备的固定资产原值为500万元,设备折旧年限为4年,期末净残值率为4%。试分别采用年限平均法、双倍余额递减法和年数总和法计算各年折旧额。

【解答】

(1)年限平均法:

978-7-111-49223-8-Part04-199.jpg

各年折旧额=500×24%=120万元

(2)双倍余额递减法:

978-7-111-49223-8-Part04-200.jpg

第一年折旧额=500×50%=250万元

第二年折旧额=(500-250)×50%=125万元

第三、四年折旧额=(500-250-125-500×4%)/2=52.5万元

(3)年数总和法:

978-7-111-49223-8-Part04-201.jpg

第四年折旧额=(500-500×4%)×10%=48万元

从以上三种方法计算结果可以看出,4年的总折旧额均为480万元。

(4)固定资产修理费 它是在运营期内对固定资产进行必要修理所发生的费用,在项目评价中,修理费可按固定资产原值(扣除所含的建设期利息)的一定百分数估算。

(5)无形资产和其他资产摊销费 项目评价中,可以将项目投资中包括的技术转让或技术使用费(包括专利权、非专利技术)、土地使用权、商标权等费用直接转入无形资产原值;可将生产准备费、办公和生活家具购置费等开办费直接形成其他资产。两者一般均采用年限平均法,不计残值。

注意:房地产开发企业开发商品房时,相关的土地使用权账面价值应当计入所建造的房屋建筑物成本中。

(6)其他费用 其他费用包括其他制造费用、其他管理费用和其他营业费用,是指由制造费用、管理费用和营业费用中分别扣除工资或薪酬、折旧费、摊销费和修理费等后的其余部分。其他费用估算方法见表8-4。

8-4 其他费用估算方法表

978-7-111-49223-8-Part04-202.jpg

注意:若管理费用中的技术使用费、研究开发费和土地使用税等数额较大,则可单独核算后并入其他管理费用,或另外列项计入总成本费用。

(7)利息支出 财务费用是指企业为筹集资金而发生的费用,包括利息支出(减利息收入)、汇兑损失(减汇兑收益)以及相关的手续费等。项目评价中只考虑利息支出,具体包括建设投资借款利息、用于流动资金的借款利息和短期借款利息三部分。

1)建设投资借款利息。一般是长期借款,是指建设投资借款在还款起始年年初(或运营期初)的余额(含未支付的建设期利息),应在运营期支付的利息。还本付息方式主要有等额还本付息和等额还本、利息照付两种。

①等额还本付息方式。每年还本付息的总额相同,每年支付的利息逐年减少,每年偿还的本金逐年增多。计算公式如下

978-7-111-49223-8-Part04-203.jpg

式中 A——每年还本付息额;

Ic——还款起始年年初的借款余额(含未支付的建设期利息);

i——年利率;

n——预定的还款期;

978-7-111-49223-8-Part04-204.jpg——资金回收系数,参见本部分第5章。

其中:每年支付利息=年初借款余额×年利率

每年偿还本金=A-每年支付利息

年初借款余额=Ic-本年以前各年偿还的本金累计

②等额还本、利息照付方式。每年等额还本的同时,支付逐年相应减少的利息。计算公式如下:

978-7-111-49223-8-Part04-205.jpg

式中 At——第t年的还本付息额;

978-7-111-49223-8-Part04-206.jpg——每年偿还本金额。

其中:每年支付利息=年初借款余额×年利率

978-7-111-49223-8-Part04-207.jpg

③其他还本付息方式。如最大能力还本付息方式,是指每年偿还本金按最大偿还能力计算,偿还能力主要包括可以用于还款的折旧费、摊销费以及税后利润(一般是扣除法定盈余公积金和公益金后的税后利润)。

【例8-3】 某项目还款起始年年初的借款余额为500万元,借款年利率为5%,预定的还款期为3年,试分别按等额还本付息方式、等额还本利息照付方式计算每年还本付息额及每年偿还本金和每年支付利息。

【解答】

(1)等额还本付息方式

首先计算年还本付息额,然后再逐年分别求出付息和还本额。

978-7-111-49223-8-Part04-208.jpg

第一年 付息:500×5%=25万元

还本:183.61-25=158.61万元

第二年 付息:(500-158.61)×5%=17.07万元

还本:183.61-17.07=166.54万元

第三年 付息:(500-158.61-166.54)×5%=8.74万元

还本:183.61-8.74=174.87万元

计算得出的各年利息,分别计入各年总成本费用中的利息支出科目中。

(2)等额还本、利息照付方式

首先计算每年偿还本金额=500/3=166.67万元

第一年付息:500×[1-(1-1)/3]×5%=25万元

第二年付息:500×[1-(2-1)/3]×5%=16.67万元

第三年付息:500×[1-(3-1)/3]×5%=8.33万元

2)流动资金借款利息。项目评价中估算的流动资金借款一般按年终偿还、下年初再借的方式处理,并按一年期利率计息。计算公式为

年流动资金借款利息=年初流动资金借款余额×借款年利率

财务分析中对流动资金的借款可以在计算期最后一年偿还,也可以在还完长期借款后安排。

3)短期借款。它是指运营期间由于资金的临时需要而发生的短期借款,数额应在财务计划现金流量表中有所反映,其利息应计入总成本费用表的利息支出中。短期借款的偿还按照随借随还的原则处理,即当年借款尽可能于下年偿还,并按一年期利率计息。

(二)其他类别成本的估算

1.经营成本

经营成本是项目评价中的特有概念,是项目运营期的主要现金流出。经营成本与融资方案无关,因此在完成建设投资和营业收入估算后,就可以估算经营成本,为项目融资前的现金流量分析提供数据。计算公式为

经营成本=外购原材料、燃料及动力费+工资或薪酬+修理费+其他费用

财务分析中,经营成本可看做是从总成本费用中分离出来的一部分费用,写作:

经营成本=总成本费用-折旧费-摊销费-利息支出

注意:折旧费与摊销费既不属于现金流出也不属于现金流入,计算项目运营期间各年的现金流出时,必须从总成本费用中剔除;借款利息虽然对于企业来说是实际的现金流,但在评价项目全部投资的经济效果时,并不考虑资金来源问题,因此也不计入现金流量。

2.固定成本与可变成本

固定成本是指不随产品产量变化而变化的各项费用,可变成本是指随着产品产量增减而成正比变化的各项费用。盈亏平衡分析中用到了这两个概念(见本部分第11章)。

现实中还存在半可变成本,如工资、营业费用、流动资金利息等,项目评价中对其进行了简化处理。通常固定成本主要包括工资或薪酬(计件工资除外)、折旧费、摊销费、修理费和其他费用等;可变成本主要包括外购原材料、燃料及动力费和计件工资等。

注意:长期借款利息应视为固定成本,流动资金借款和短期借款利息虽为半可变成本,但一般简化处理视为固定成本。

3.维持运营的投资费用

在运营期内设备、设施等需要更新或拓展的项目,应估算项目维持运营的投资费用,并在现金流量表中将其作为现金流出,同时应调整相关报表。

(三)成本与费用估算的相关表格

在分项估算上述各成本费用科目的同时,应编制相应的成本费用估算表,包括总成本费用估算表和各分项成本费用估算表。为了编制总成本费用估算表,还需配套编制“外购原材料费估算表”、“外购燃料和动力费估算表”、“固定资产折旧费估算表”、“无形资产和其他资产摊销费估算表”、“长期借款利息估算表”(可与“借款还本付息计划表”合二为一)等。

8.3 投资项目的财务分析

投资项目财务分析是项目投资决策的重要依据,是咨询工程师应该具备的基本执业技能。财务分析应在财务效益与费用估算的基础上进行,分析的内容应根据项目的性质和目标确定。对于经营性项目,财务分析要从盈利能力、偿债能力和财务生存能力三方面进行;对于非经营性项目,重点则放在财务生存能力分析,详见本部分第8.5节。

财务盈利能力分析

财务盈利能力分析主要包括现金流量分析(动态分析)和静态分析,从是否在融资方案的基础上进行分析的角度区分,又可分为融资前分析和融资后分析。

(一)现金流量分析

结合本部分第5章现金流量分析方法的阐述,现金流量分析是利用资金时间价值概念,用上节所述的效益费用数据作为现金流量,编制现金流量表,计算相关指标,考察项目盈利能力。

现金流量分析可以分为三个层次:第一层次是项目投资现金流量分析,第二层次是项目资本金现金流量分析,第三层次是投资各方现金流量分析。各层次分析都应编制相应的现金流量表,并计算相应指标。涉及的评价指标的概念可参见本部分第5章第5.2节。

1.项目投资现金流量分析

它是在不考虑债务融资条件下进行的融资前分析,是从项目投资总获利能力的角度,考察项目方案设计的合理性;是针对项目基本方案进行的一种现金流量分析。计算的相关指标可作为初步投资决策的依据和融资方案研究的基础。

根据需要,融资前分析可选择计算所得税前和(或)所得税后分析指标。

(1)项目投资现金流量表编制

1)首先正确识别和选用现金流量

注意:允许抵扣固定资产进项税会导致应纳增值税减少,从而导致净现金流量增加。为体现这种作用,应在现金流入中增加“销项税额”一项,同时在现金流出中增加“进项税额”和“应纳增值税”两项。

①现金流入主要包括:营业收入(必要时还可包括补贴收入);销项税额;在计算期的最后一年,还包括回收固定资产余值(应不受利息因素的影响,区别与项目资本金现金流量表中的回收固定资产余值)及回收流动资金。

②现金流出主要包括建设投资、流动资金、经营成本、进项税额、应纳增值税、营业税金及附加;有时还包括运营期内需要投入的维持运营投资;计算所得税后指标时还要包括所得税。

注意:由于是融资前分析,这里的所得税与融资方案无关,其数值区别于其他财务报表中的所得税。该所得税称为调整所得税(也可称为融资前所得税),应根据不受利息因素影响的息税前利润(EBIT)乘以所得税税率计算。

息税前利润=利润总额+支付的全部利息

=(营业收入-总成本费用-营业税金及附加)+支付的全部利息

=营业收入-营业税金及附加-经营成本-折旧和摊销

③净现金流量=现金流入-现金流出。

2)根据上述现金流量编制项目投资现金流量表。

(2)项目投资现金流量分析的指标 主要指标包括项目投资财务净现值(FNPV)和项目投资财务内部收益率(FIRR),另外还可计算静态或动态的投资回收期,我国的评价方法只规定计算静态投资回收期。

各指标的含义、计算和判据可见本部分第5章5.2节相关内容。

1)项目投资财务净现值(FNPV)。设定的折现率通常选取行业或部门的财务基准收益率ic或最低可接受收益率。该指标是考察项目盈利能力的绝对量指标,若FNPV等于或大于零,表明项目的盈利能力达到或超过了设定折现率所要求的盈利水平,项目财务效益可以被接受。

2)项目投资财务内部收益率(FIRR)。该指标是考察项目盈利能力的相对量指标,若FIRRic,表明项目的盈利性能够满足要求,项目财务效益可以被接受。

注意:选择基准参数ic时,要注意所得税前和所得税后指标的不同。

(3)所得税前分析和所得税后分析的作用 所得税前分析利用项目投资所得税前的净现金流量,不受融资方案和所得税政策变化的影响,体现了项目方案本身的合理性。所得税前指标特别适用于建设方案研究中的方案比选。政府投资和政府关注项目必须进行所得税前分析。

所得税后分析也是一种融资前分析,是所得税前分析的延伸,所采用的表格相同,只是在现金流出中增加了调整所得税,根据所得税后的净现金流量来计算相关指标。所得税后指标有助于在不考虑融资方案的条件下,判断项目投资对企业价值的贡献。

【例8-4】 某项目建设期1年,运营期10年。固定资产残值率为4%,采用平均年限折旧法,折旧期限为10年。无形资产20万元,其他资产(递延资产)6万元,无形资产、其他资产分5年摊销。计算期第一年投入资金状况见表8-5。

8-5 项目建设期第一年投入资金状况 (单位:万元)

978-7-111-49223-8-Part04-209.jpg

投产后年生产经营状况见表8-6,投产第一年负荷50%,第二年负荷80%,其他年份均为100%。满负荷流动资金估算为50万元,运营期各年的数额依据运营负荷简单估算。

8-6 投产后年生产经营状况 (单位:万元)

978-7-111-49223-8-Part04-210.jpg

以上,凡与增值税有关的数据均为不含税价,增值税率17%。营业税金及附加为增值税的10%,所得税税率为25%,所得税后财务基准收益率ic=10%。

项目计算期结束时,将固定资产出售,售价为20万元。

【问题】

(1)计算项目各年的现金流量,并依据计算结果求所得税后的项目投资财务净现值(FN-PV)、财务内部收益率(FIRR)和投资回收期,简述计算过程。

(2)评价项目的财务可行性,计算结果精确到小数点后两位。

【解答】

项目实施进度:建设期为1年,运营期为10年。

(1)计算各年现金流量,编制项目投资现金流量表

1)计算期第一年末现金流量:

现金流入:0。

现金流出:建设投资=210+31+5=246万元。

2)第二年末现金流量:

现金流入:①营业收入=80万元;②销项税额=80×17%=13.6万元。

现金流出:

①流动资金=50×50%=25万元。

②经营成本=外购原材料、燃料及动力费+工资或薪酬+修理费+其他费用=20+10+10+5+3=48万元。

③进项税额=(20+10)×17%=5.1万元。

④应纳增值税=13.6-5.1-20=-11.5万元,应纳增值税为0。

⑤营业税金及附加=0。

⑥调整所得税的计算:先计算折旧和摊销,再计算息税前利润。

a.固定资产折旧的计算,折旧年限等于运营期:

固定资产原值=建设投资-无形资产-其他资产=246-20-6-20=200万元(融资前分析不含利息)

固定资产残值=200×4%=8万元

固定资产折旧采用年限平均法,年折旧额计算如下:

年折旧率=(1-预计净残值率)/折旧年限×100%=(1-4%)/10=9.6%

固定资产年折旧额=固定资产原值×年折旧率=200×9.6%=19.2万元

b.无形资产、递延资产摊销费=26/5=5.2万元,仅发生在第2~6年。

c.息税前利润=营业收入-营业税金及附加-经营成本-折旧和摊销

=80-0-48-19.2-5.2=7.6万元

d.调整所得税=息税前利润×所得税率=7.6×25%=1.9万元

3)第3~11年末现金流量(计算方法同上):

①第3年末的现金流入:营业收入128万元;销项税额21.76万元。

现金流出:流动资金增加额=50×80%-25=15万元。

②第4年末的现金流入:营业收入160万元;销项税额27.2万元。

现金流出:流动资金增加额=50-25-15=10万元,其他项目计算方式同上。

③第5~10年末的现金流量除流动资金增加额为0外,其他项目同第4年。

④第11年末的现金流入如下,现金流出同第4年:

a.营业收入160万元。

b.销项税额27.2万元。

c.回收流动资金50万元。

d.回收固定资产余值:期末处置固定资产有残值收益,扣除所得税后的剩余部分作为现金流入。出售固定资产所获得的收益=20-8=12万元

出售固定资产收益部分需缴纳的所得税为:12×25%=3万元

期末回收固定资产余值的现金流入为:20-3=17万元

注意:项目营业收入、营业税金及附加和增值税的计算结果见表8-7,经营成本计算见表8-8,项目调整所得税计算见表8-9。

4)将计算结果汇入,编制项目投资现金流量表,见表8-10。

8-7 项目营业收入营业税金及附加和增值税计算表 (单位:万元)

978-7-111-49223-8-Part04-211.jpg

8-8 经营成本计算表 (单位:万元)

978-7-111-49223-8-Part04-212.jpg

8-9 项目调整所得税计算表 (单位:万元)

978-7-111-49223-8-Part04-213.jpg

8-10 项目投资现金流量表 (单位:万元)

978-7-111-49223-8-Part04-214.jpg

注:计算所得税前净现金流量时,第11年的回收固定资产余值按20万元计算。

(2)利用表中数据计算税后财务净现值、内部收益率和投资回收期:

978-7-111-49223-8-Part04-215.jpg

项目财务内部收益率采用试差法:

i=18%

978-7-111-49223-8-Part04-216.jpg

项目投资财务净现值(税后)>0,投资财务内部收益率(税后)FIRR>10%,所以该项目的财务效益可以被接受。

【解题思路】 本题虽然是要求计算投资回收期、财务净现值与财务内部收益率这三个指标,计算过程中却涉及了收入与成本费用的估算,比较全面地考查了考生对本章第2节和第3节相关内容的理解和掌握。在解题过程中,要注意题目中是否含增值税的已知条件,还要了解如何计算固定资产转让收益所带来的现金流入。实际考试时,如果题目没有要求,则不必编制相关表格,但必须写清各种现金流入和流出的计算过程。

注意:财务分析过程中,有时会涉及期末固定资产出售所带来的现金流入和纳税效应。出售固定资产可能涉及三种纳税情况:①当资产出售价格高于该资产折旧后的账面价值时,两者之间的差额属于应税收入,按所得税率纳税;②资产出售价格等于该资产折旧后的账面价值时,此时资产出售没有带来收益或损失,无须考虑纳税问题;③资产出售价格低于该资产折旧后的账面价值时,两者之间的差额属于应税损失,可以用来抵减应税收入从而减少纳税。

2.项目资本金现金流量分析

项目资本金现金流量分析是融资后分析,是从项目权益投资者整体角度考察项目的盈利能力。

项目资本金现金流量分析指标是比较和取舍融资方案的重要依据,在融资前分析的基础上,进而判断项目方案在融资条件下的合理性,有助于投资者在其可接受的融资方案下最终决策出资。

(1)项目资本金现金流量表编制

①现金流入主要包括:营业收入(必要时还可包括补贴收入);销项税额;在计算期的最后一年,还包括回收固定资产余值(建设期利息纳入固定资产原值后计算折旧)及回收流动资金。

②现金流出主要包括:建设投资和流动资金中的项目资本金(权益资金);经营成本;进项税额;应纳增值税;营业税金及附加;还本付息和所得税;有时还包括运营期内需要投入的维持运营投资(设定由企业自有资金支付)。

注意:这里的所得税应等同于利润与利润分配表中的所得税,区别于项目投资现金流量表中的调整所得税。

③净现金流量=现金流入-现金流出,包括了企业在缴税和还本付息之后的权益性收益。

(2)项目资本金现金流量分析指标 一般可只计算项目资本金财务内部收益率一个指标,其表达式和计算方法同项目投资财务内部收益率,只是所依据的表格、净现金流量的内涵和判断的基准参数不同。

项目资本金财务内部收益率的基准参数应体现项目发起人(代表项目所有权益投资者)对投资获利的最低期望值,即最低可接受收益率。当项目资本金财务内部收益率大于或等于该最低可接受收益率时,说明在该融资方案下,项目资本金获利水平超过或达到了要求,该融资方案可接受。

3.投资各方现金流量分析

对于某些项目,为了考察投资各方的具体收益,还需要编制从投资各方角度出发的现金流量表,计算相应的财务内部收益率指标。投资各方现金流量表中的现金流入和现金流出科目须根据投资各方发生的收入和支出情况选择填列。

投资各方财务内部收益率是一个相对次要的指标。只有投资各方有股权之外不对等的利益分配时,或者不按比例出资和进行分配的合作经营项目,投资各方的收益率才会有差异,此时才有必要计算此指标。选取的基准参数为投资各方的最低可接受收益率。

(二)静态分析

1.静态分析的指标

(1)项目投资回收期 这里指的是静态投资回收期,该指标的含义、计算和判据可见本部分第5章第5.2节相关内容。该指标不能用来作为投资决策的依据,也不能用于方案比选。

(2)总投资收益率 表示总投资的盈利水平,是指项目达到设计能力后正常年份的年息税前利润(EBIT)或运营期内年平均息税前利润与项目总投资的比率。其计算式为

978-7-111-49223-8-Part04-217.jpg

总投资收益率高于同行业的收益率参考值,表明用总投资收益率表示的盈利能力满足要求。

(3)项目资本金净利润率 表示项目资本金的盈利水平,是指项目达到设计能力后正常年份的年净利润或运营期内年平均净利润与项目资本金的比率。其计算式为

978-7-111-49223-8-Part04-218.jpg

项目资本金净利润率高于同行业的净利润率参考值,表明用项目资本金净利润率表示的盈利能力满足要求。

2.静态分析依据的报表

投资回收期计算所依据的是项目投资现金流量表,其他指标计算所依据的报表主要是“项目总投资使用计划与资金筹措表”和“利润表”。

偿债能力分析

偿债能力分析是利用借款还本付息计划表、利润表和总成本费用表的有关数据,计算利息备付率(ICR)、偿债备付率(DSCR)等比率指标,考察项目借款的偿还能力。

1.利息备付率(ICR

利息备付率是指借款偿还期内的息税前利润(EBIT)与当年计入总成本费用的全部利息(PI)的比值,它从付息资金来源的充裕性角度反映偿付债务利息的能力。利息备付率应分年计算,也可补充计算偿还期内的年平均利息备付率。计算公式为

978-7-111-49223-8-Part04-219.jpg

式中 PI——当年计入总成本费用的全部利息。

利息备付率至少应大于1,一般不宜低于2,并结合债权人的要求确定。利息备付率低于1,表示没有足够资金支付利息,偿债风险很大;利息备付率高,说明利息支付的保证度大,偿债风险小。

2.偿债备付率(DSCR

偿债备付率是指在借款偿还期内,可用于计算还本付息的资金(EBITDA-TAX)与当年应还本付息金额(PD)的比值,它从偿债资金来源的充裕性角度反映偿付债务本息的能力。偿债备付率应分年计算,也可补充计算偿还期内的年平均偿债备付率。其计算公式为

978-7-111-49223-8-Part04-220.jpg

式中 EBITDA——息税折旧摊销前利润(EBITDA=息税前利润+折旧和摊销);

TAX——应交所得税;

EBITDA-TAX——用于计算还本付息的资金(EBITDA-TAX=营业收入-营业税金及附加-经营成本-所得税=税后利润+折旧和摊销+利息);

PD——当年应还本付息金额(PD=还本金额+计入总成本费用的全部利息)。

注意:融资租赁费用可视同借款偿还,运营期内的短期借款本息也应纳入计算;如果运营期间有维持运营的投资费用,则应从分子中扣除。

偿债备付率至少应大于1,一般不宜低于1.3,并结合债权人的要求确定。偿债备付率低,说明偿付债务本息的资金不足,偿债风险大;当这一指标小于1时,表示当年可用于还本付息的资金不足以偿付当年债务。

【例8-5】 某拟建工业项目,基础数据如下:

(1)建设期为2年、运营期为4年,项目建设投资为6000万元(不含建设期利息),流动资金为700万元。

(2)建设投资资金来源为银行贷款和项目资本金。贷款总额为3000万元,建设期各年贷款额见表8-11,在各年年内均衡发生,贷款年利率为6%,投产后采用等额还本付息方式3年内还清(年末支付)。流动资金全部由项目资本金解决。

(3)项目投产后各年的收入、成本相关数据见表8-11,按不含税价格计算。所得税税率取25%。

【问题】

(1)根据已知条件,求项目的利息备付率和偿债备付率。

(2)计算项目总投资收益率和项目资本金净利润率。

(3)咨询人员依据问题(1)、(2)的计算结果,作出了项目财务上是否可行的判断,这样做是否恰当?说明理由。

8-11 建设项目的资金投入收入成本等数据表 (单位:万元)

978-7-111-49223-8-Part04-221.jpg

【解答】

(1)计算还款期各年的利息备付率、偿债备付率

1)计算期第三年年初的借款余额(含建设期利息)

第一年:本年借款1000万元,应计利息=(年初借款本息累计+本年借款额/2)×年利率

=1000/2×6%=30万元

第二年:年初借款本息累计为1030万元,本年新增借款为2000万元,应付利息=(1030+2000/2)×6%=121.8万元

第三年年初借款余额=3000+30+121.8=3151.8万元

2)编制借款还本付息计划表

项目采用等额还本付息方式,则每年还本付息额为:

A=3151.8×(A/P,6%,3)=3151.8×0.37411=1179.1万元

第三年:付息=3151.8×6%=189.1万元

还本=1179.1-189.1=990万元

第四~五年的还本额和付息额见表8-12。

8-12 项目借款还本付息计划表 (单位:万元)

978-7-111-49223-8-Part04-222.jpg

3)计算运营期各年的利息备付率和偿债备付率

第三年:息税前利润=销售收入-销售税金及附加-经营成本-折旧和摊销

=5200-65-2800-1135=1200万元

息税折旧摊销前利润=息税前利润+折旧和摊销

=销售收入-销售税金及附加-经营成本

=5200-65-2800=2335万元

利润总额=销售收入-销售税金及附加-经营成本-折旧和摊销-利息支出

=5200-65-2800-1135-189.1=1010.9万元

所得税=1010.9×25%=252.7万元

利息备付率=1200/189.1=6.3

偿债备付率=(2335-252.7)/1179.1=1.8

第4~6年的利息备付率和偿债备付率计算方法同上,结果见表8-13。

8-13 项目利息备付率和偿债备付率指标计算表

978-7-111-49223-8-Part04-223.jpg

可见,项目具有较强的偿债能力。

(2)计算项目总投资收益率和资本金净利润率,所需数据见表8-14。

8-14 项目利润表的部分数据 (单位:万元)

978-7-111-49223-8-Part04-224.jpg

采用运营期内年平均息税前利润:

总投资收益率=1638.75/(6000+151.8+700)×100%=23.9%

采用运营期内年平均净利润:

资本金净利润率=1156.78/(3000+700)×100%=31.3%

(3)咨询人员依据问题(1)、(2)的计算结果就作出项目财务是否可行,这是不恰当的。理由是:项目财务评价除了分析项目的偿债能力外,还要分析项目的盈利能力和财务生存能力,然后结合静态指标和动态指标作出综合判断,不能只单凭某一方面或某些指标进行判断。

【解题思路】 本题在求解项目的利息备付率、偿债备付率等指标时,还涉及建设期利息、还本付息、息税前利润、所得税等的计算,要求大家熟练掌握财务分析的各个方面。解答此类题型,一定要根据题目要求逐年逐项计算,思路要清晰,步骤要完整,避免遗漏和错误。

财务生存能力分析

在项目(企业)运营期间,只有能够从各项经济活动(投资活动、融资活动和经营活动)中得到足够的净现金流量,项目才能得以持续生存。财务生存能力分析就是通过编制财务计划现金流量表,结合偿债能力分析,考察项目(企业)资金平衡和余缺等财务状况,判断其财务可持续性。

(一)编制财务计划现金流量表

该表用于反映计算期内各年的投资活动、融资活动和经营活动所产生的现金流入、现金流出和净现金流量,考察资金平衡和余缺情况,是项目财务生存能力分析的基本报表,其中绝大部分数据来自其他表格。

(二)财务生存能力分析方法

通常运营期前期的还本付息负担过重,故应特别注重运营期前期的财务生存能力分析,同时应结合偿债能力分析进行。通过以下两个方面可具体判断项目的财务生存能力:

1.拥有足够的经营净现金流量

拥有足够的经营净现金流量是财务可持续的基本条件,特别是在运营初期。

如果一个项目不能产生足够的经营净现金流量,或经营净现金流量为负值,则说明维持项目正常运行会遇到财务上的困难,项目方案缺乏合理性,实现自身资金平衡的可能性小,有可能要靠短期融资来维持运营。

2.各年累计盈余资金不出现负值

各年累计盈余资金不出现负值是财务可持续的必要条件。

在整个运营期间,允许个别年份的净现金流量出现负值,但不能容许任一年份的累计盈余资金出现负值。一旦出现负值应适时进行短期融资,该短期融资应体现在财务计划现金流量表中,同时短期融资的利息也应纳入成本费用和其后的计算。

注意:短期融资是实现资金平衡的重要方面,但较大或较烦琐的短期融资,有可能导致以后年份的累计盈余资金无法实现正值,致使项目难以持续运营。

8.4 改扩建项目的财务分析

投资项目按项目与企业原有资产的关系分为新建项目和改扩建项目,按项目的融资主体分为新设法人项目和既有法人项目。前面两节内容适用于所有经营性项目,其中改扩建项目评价有其需要注意的特殊之处,则本节将重点讲解改扩建项目财务分析的特点。

改扩建项目财务分析的特点

(一)改扩建项目的特点

与新建项目相比,改扩建项目涉及项目和企业两个层次、“有项目”和“无项目”两个方面(新建项目的“无项目”状态视为与现状相同)。

1)项目效益与费用的识别和计算较新建项目复杂。

2)改扩建项目的费用多样,不仅包括新增投资(含原有资产的拆除和迁移费用)、新增成本费用,还可能包括因改造引起的停减产损失。

3)建设期内建设与生产可能同步进行。

4)既要考察项目给企业带来的效益,又要考察企业整体财务状况。

(二)项目范围的界定

既有法人项目应认真研究项目与原有企业的关系,合理界定项目范围。项目范围的界定宜采取最小化原则,以能正确计算项目的投入和产出,说明项目给企业带来的效益为限。改扩建项目范围的界定方法见表8-15。

8-15 改扩建项目的范围界定方法

978-7-111-49223-8-Part04-225.jpg

注意:“项目范围内”的数据需详细了解和分项估算,用于估算项目给企业带来的增量效益和费用;而“项目范围外”的数据可归集在一起,必要时用于估算有项目后企业整体的效益和费用。

(三)计算期的确定

“有项目”与“无项目”效益和费用的计算范围和计算期应保持一致,一般以“有项目”(意指新增资产部分)的计算期为基础,对“无项目”的计算期进行调整;若“有项目”时也利用了原有资产,也应对其可利用的期限进行调整。调整方法如下:

1)一般情况下可通过追加投资来维持“无项目”时的生产运营或“有项目”时原有旧资产的持续使用。

2)也可以通过加大各年修理费的方式,延长其寿命期使之与“有项目”新增资产的计算期相同,并在计算期末回收固定资产余值。

3)如果通过追加投资延长其寿命期在技术上不可行,或在经济上明显不合理时,可以使“无项目”的生产运营适时终止,其后各年的现金流量视为零。实践中这种方式很少采用。

4)在某些极端的情况下,计算期内无项目各年的现金流量均可视为零。

改扩建项目效益和费用的估算

(一)涉及的五套数据

根据“有无对比”原则,通过对“有项目”和“无项目”两种情况效益和费用的比较,求得增量效益和费用数据。

1.五套数据的内容

(1)“现状”数据 反映项目实施起点时的效益和费用情况。

(2)“无项目”数据 指不实施该项目时,在现状基础上考虑计算期内效益和费用的变化趋势,经合理预测得出的数值序列。

(3)“有项目”数据 指实施该项目后计算期内的总量效益和费用数据。

(4)新增数据 是“有项目”效益和费用数据与“现状”数据的差额,实际上大多要先估算新增数据,然后加上现状数据得出有项目数据。

(5)增量数据 是“有项目”效益和费用数据与“无项目”数据的差额。

2.五套数据之间的关系

(1)以固定资产数据为例说明各种数据之间的关系

无项目固定资产价值=原有固定资产价值(现状数据)+无项目追加投资形成固定资产价值

有项目固定资产价值=新增固定资产价值+原有固定资产价值(假设全部利用)

增量固定资产价值=有项目固定资产价值-无项目固定资产价值

=新增固定资产价值-无项目追加投资形成固定资产价值

(2)若无项目追加投资=0,则

增量固定资产价值=新增固定资产价值

(3)若现状为零,无项目也为零,此时有项目=新项目:

新增数值=有项目数值-现状数值=有项目数值

增量数值=有项目数值-无项目数值=有项目数值

新增数值=增量数值=有项目数值

3.“无项目”数据是增量分析的关键

财务分析中应根据项目的具体情况,合理预测无项目的效益和费用,以保证盈利能力分析结果的可靠性。同时无项目的效益和费用预测需注意采取稳妥原则,以免人为夸大增量效益。

(二)沉没成本

“沉没成本”是指在项目实施之前已经发生的,与当前决策无关的费用。改扩建项目评价中,不管项目是否使用已有资产或利用已有设施的潜在能力,已花投资均作为沉没费用处理,不能作为增量费用。

(三)机会成本

“机会成本”是指某项资产用于某种用途而丧失的用于其他机会可能带来的潜在收入。改扩建项目评价中应把机会成本作为无项目时的效益计算,直接进行增量计算时,可直接将其作为项目的增量费用。

改扩建项目的财务分析

(一)财务盈利能力分析

既有法人改扩建项目盈利能力分析除了遵循本部分本章第3节提到的报表编制和指标计算的一般性要求外,还应注意以下几点:

(1)改扩建项目盈利能力分析的主要报表 有项目投资现金流量表(增量)和利润表(有项目),格式与新建项目的财务报表基本相同,输入的数据不同,科目略有增加。

(2)以增量分析为主,辅以总量分析 虽然改扩建项目的财务分析涉及五套数据,但并不要求全部计算,而只是强调以有项目和无项目对比得到的增量数据进行增量现金流量分析,其结果作为投资决策的主要依据。

必要时,也可以按“有项目”效益和费用数据编制“有项目”的现金流量表进行总量盈利能力分析,依据该表数值计算有关指标,作为辅助的决策依据。

(3)简化的改扩建项目盈利能力增量分析 即按照“有无对比”原则,直接判定增量数据用于报表编制,并进行增量分析,相当于按照新建(新设法人)项目的方式进行盈利能力分析。

1)直接判定增量数据的前提条件。

①项目与老厂界限清晰。

②作为企业的局部改造项目,涉及范围较少,对其他部分影响很小。

③在上述两种情况下,有充分的理由设定“无项目”数据等于现状数据;或者投入和产出的无项目数据很容易理清,确定增量数据十分简单。

2)直接进行增量分析应注意的问题。

①新增投资包括新建或扩建装置的投资、为新项目配套对老厂原有设施填平补齐发挥能力的投资,以及为腾出场地必须对原有建构筑物的拆除和还建费用。

②正确识别增量效益和费用

a.若因项目的建设使老厂部分生产停止或减产,则停产、减产损失应计为增量费用,作为现金流量表的一项现金流出。

b.若建设新项目利用了原有企业的资产,而该资产有明确的机会成本,则该机会成本应计入增量费用,作为现金流量表的一项现金流出。

【例8-6】 某公司拟引进新设备改造现有生产线。项目运营期5年,建设投资在第一年年初投入,当年投产并实现效益。该生产线现有设备原值为8000万元,设备寿命期为10年,已使用5年。若引进寿命期5年的新设备替换现有设备,则现有设备可以2000万元转让,新设备原值为9000万元。新、老设备寿命期结束预计净残值均为0,采用年限平均法在设备寿命期内计提各年折旧。该生产线改造过程不产生贷款,对流动资金不产生影响。财务基准收益率为10%,所得税率为25%。其他相关数据见表8-16。假设可抵扣固定资产进项税为0。

8-16 某公司生产线改造项目有关数据 (单位:万元)

978-7-111-49223-8-Part04-226.jpg

【问题】

(1)计算该生产线改造后各年的增量现金流量(融资前分析)。

(2)计算所得税后的投资回收期、财务净现值和财务内部收益率指标。

(3)判断该生产线是否应进行更新改造。

【解答】

因不考虑可抵扣固定资产进项税,所以分析现金流量时,无需考虑增值税。

(1)该项目无项目数据等于现状数据,可直接识别并计算增量现金流量

1)期初现金流量。主要考虑购买新设备投资和与旧设备出售相关的现金流入以及旧设备出售所带来的纳税效应。

旧设备按年限平均法计算年折旧额

年折旧额=(设备原值-期末残值)/折旧年限=(8000-0)/10=800万元

旧设备累计计提折旧(累计折旧)=旧设备年折旧额×已使用年限=800×5=4000万元

旧设备账面价值=旧设备原值-累计计提折旧=8000-4000=4000万元

旧设备转让价值2000万元,低于旧设备转让时的账面价值,转让价值与账面价值之间的差额属于应税损失,可以用来抵减应税收入从而减少纳税。

旧设备出售可以获得所得税抵扣收益:(4000-2000)×25%=500万元。

期初现金流量见表8-17。

8-17 期初现金流量表 (单位:万元)

978-7-111-49223-8-Part04-227.jpg

2)运营期间现金流量。

①增量收入。本项目更新改造未新增加营业收入,而是通过节约费用产生效益,可以将节约的费用直接列为增加的收入

年工资节省:1000-500=500万元

年修理费减少:500-100=400万元

年残次品损失减少:800-100=700万元

通过节约费用增加的收入合计为1600万元。

②增量折旧费。尽管折旧费及其增加额对现金流量不造成直接影响,但它会通过减少应税收入的形式而减少应纳税所得额,从而影响税后净现金流量。

旧设备的年折旧额为800万元,新设备的年折旧额为

年折旧额=(设备原值-期末残值)/折旧年限=(9000-0)/5=1800万元

该项目的实施将使公司每年增加折旧费1800-800=1000万元

③增量调整所得税。主要是对运营期内由于利润增加所带来的纳税增加和由于折旧费增加所带来的纳税减少进行计算。

融资前分析项目各年的现金流量中的所得税为调整所得税,应按照息税前利润(EBIT)为基数计算。该项目不产生贷款,利息支出为0。息税前利润等于利润总额;通过节约费用增加的收入1600万元构成了增量息税前利润的主要部分;折旧费增加使息税前利润减少1000万元。

增量息税前利润=1600-1000=600万元

增量调整所得税=600×25%=150万元

运营期增量现金流量见表8-18,忽略营业税金及附加可能的变化。

8-18 运营期间现金流量表 (单位:万元)

978-7-111-49223-8-Part04-228.jpg

3)期末现金流量。项目运营期末年现金流量除了运营期内通常的现金流量外,还包括回收固定资产余值与回收流动资金。题目已知给出新设备的残值为0,折旧年限等于计算期,因此期末回收固定资产余值为0;题目给出项目更新改造对流动资金不产生影响,增量流动资金为零,因此也没有期末回收流动资金。

(2)编制项目投资现金流量表并计算相关指标 根据以上计算得到的各年现金流量编制项目投资现金流量表,见表8-19。

8-19 项目投资现金流量表(增量) (单位:万元)

978-7-111-49223-8-Part04-229.jpg

978-7-111-49223-8-Part04-230.jpg

项目投资财务净现值=-1003.36万元

项目投资财务内部收益率=3.75%

(3)判断该生产线是否应进行更新改造 上述计算结果表明,本次更新改造项目以10%为折现率计算的财务净现值小于0,且财务内部收益率3.75%小于财务基准收益率10%,不应进行该生产线改造投资建设。

【解题思路】 求解改扩建项目财务分析案例时,采用简化的增量分析方法,首先明确增量现金流量包括期初现金流量、项目运营期间的现金流量和期末现金流量,然后逐项根据题目已知条件进一步确定具体的增量现金流入和增量现金流出。如果有可抵扣固定资产进项税,还要计算应纳增值税的变化。

(二)偿债能力分析

对于既有法人改扩建项目,当项目范围界定为企业整体时,“有项目”数据和报表与企业一致,可直接进行借款偿还计算;当项目范围界定为企业局部时,偿债能力分析可能分为项目和企业两个层次。

1.首先可以进行项目层次的偿债能力分析

编制有项目时的借款还本付息计划表,计算利息备付率和偿债备付率,当项目范围内存在原有借款时,应纳入计算。项目偿债能力指标可以表示项目用自身的各项收益偿付债务的能力,显示项目对企业整体财务状况的影响,有两种判断结果:一是项目自身具备偿债能力;二是项目自身偿债能力不足,需要企业另外筹资偿还。

从银行等金融机构角度出发,银行是根据企业的整体资产负债结构和偿债能力决定信贷取舍的,因此计算项目层次的借款偿还能力要与企业财务状况的考察相结合。

2.企业层次的借款偿还能力

为了满足债权人要求,不仅需要提供项目建设前3~5年的企业主要财务报表,还需要编制企业在拟建项目建设期和投产后3~5年内(或项目偿还期内)的综合借款还本付息计划表,并结合利润表、财务计划现金流量表和资产负债表,分析企业整体偿债能力。

考察企业财务状况的指标主要有资产负债率、流动比率、速动比率等比率指标,利用的是企业资产负债表的相关数据。

(1)资产负债率(LOAR) 资产负债率是指企业某个时点负债总额(TL)同资产总额(TA)的比率,是评价企业负债水平的综合指标。计算公式为

978-7-111-49223-8-Part04-231.jpg

过高的资产负债率表明企业财务风险过大;过低的资产负债率表明企业对财务杠杆的利用不够;适度的资产负债率,表明企业经营安全、稳键,具有较强的筹资能力,也表明企业投资人和债权人的风险较小。

注意:项目财务分析中,在长期债务还清后,可不再计算资产负债率。

(2)流动比率 流动比率是指企业某个时点流动资产同流动负债的比率,用来衡量企业资金流动性的大小,判断企业短期债务到期前,可以转化为现金用于偿还流动负债的能力。计算公式为

流动比率=流动资产/流动负债

该指标越高,说明企业资金利用效率低,对企业的运营也不利。国际公认的标准比率是2.0。一般而言,企业生产周期较长,流动比例可相应提高;反之就相应降低。

(3)速动比率 速动比率是指企业某个时点的速动资产同流动负债的比率,是对流动比率的补充,比流动比率更为准确地反映企业偿还流动负债的能力。计算公式为

速动比率=速动资产/流动负债

速动资产=流动资产-存货

该指标的含义与流动比率一样,国际公认的标准比率是1.0。

(三)财务生存能力分析

既有法人改扩建项目应编制“有项目”时的财务计划现金流量表,进行财务生存能力分析,分析的内容同一般新建项目(见本章第3节)。

8.5 非经营性项目的财务分析

本节所述的非经营性项目指的是那些非营利性投资项目,包括社会公益事业项目、环境保护与环境污染治理项目、某些公用基础设施项目等。这些项目的显著特点是为社会提供的产品或服务不收取费用或只收取少量费用。本节将重点讲解适用于没有收入或者只有部分收入的项目的财务分析方法。

对非经营性项目进行财务分析,一方面是考察项目的财务状况,了解其盈利还是亏损,以便采取措施使其能维持运营;另一方面,很多情况下是对其进行方案比选,使所选方案在满足项目目标的前提下,花费费用最少。

不同非经营性项目的财务分析要求

1)非经营性项目财务分析的要求视项目具体情况有所不同,见表8-20。

8-20 非经营性项目财务分析的要求

978-7-111-49223-8-Part04-232.jpg

注意:通常营业收入补偿费用的顺序是:支付运营维护成本、缴纳流转税、偿还借款利息、计提折旧和偿还借款本金。

2)对收费项目应合理确定提供服务的收费价格。分析方法一般是将预测的服务收费价格与消费者承受能力和支付意愿以及政府发布的指导价格进行对比,也可与类似项目对比;有时需要在维持项目正常运营的前提下,采取倒推服务收费价格的方式,同时分析消费者支付能力。

效益难以货币化的非经营性项目

效益难以货币化的非经营性项目,可采用效果费用比或费用效果比来进行方案比选,具体方法见本部分第9章第9.4节。实践工作中常用的比选指标是单位功能(效果)费用指标或者单位费用效果指标(包括投资指标和成本指标),习惯上常采用前者。例如:

(1)单位功能建设投资 它是指提供一个单位的使用功能或提供单位服务所需要的建设投资,计算公式为

单位功能建设投资=建设投资/设计服务能力或设施规模

(2)单位功能运营费用 它是指提供一个单位的使用功能或提供单位服务所需要的运营费用,计算公式为

单位功能运营费用=年运营费用/设计服务能力或设施规模

注意:以上指标有明显的缺陷,一是只分别计算了投资和成本,没有全面进行比较;二是没有考虑整个计算期的费用,未按资金时间价值计算。

【专家点评】

本章是全书的重点之一,也是考试的重点。财务分析方法是对咨询工程师的最基本要求,是肯定要出案例题的地方,因此必须予以高度重视。结合第四科目“财务分析”与第3版《方法与参数》中关于基本概念、公式及相关财务分析表格的介绍,重点掌握如何根据已知条件计算财务分析指标,尤其是财务净现值和财务内部收益率指标。对本章的复习,重点放在理解书中所讲的各种方法,形成整体的财务分析思路,而不是机械地去计算数据。思路、方法比具体的数字更重要。

结合多年教学培训经验,希望考生在复习或答题过程中注意以下几个方面:

1)对项目各年现金流量的构成要清晰,基本概念、公式要掌握熟练。

2)固定资产原值及转让收益的计算应加以注意。

3)经营成本的计算也是应该注意的地方。

4)对税前税后现金流量的理解要清晰,此处的“税”指所得税。

5)注意项目投资现金流量表中“调整所得税”的计算基数为息税前利润,区别于利润与利润分配表、项目资本金现金流量表和财务计划现金流量表中的所得税。

6)理解可抵扣固定资产进项税对财务现金流量分析的影响。

2004年、2008年考核过财务净现值的计算;2006年考核过借款还本付息表、项目偿债能力分析、财务可行性判断;2007年考核过利息、折旧的计算,编制项目投资现金流量表并计算税后财务净现值;2009年的财务分析案例完整性较强,考核了投资估算、盈利能力分析、偿债能力分析,还结合概率树方法分析财务风险大小;2010年考核的是项目资本金现金流量分析;2011年考核的是项目投资现金流量分析;2012年考核的是计算某年的偿债备付率,分析项目偿债能力;2013年则是通过计算应纳增值税、营业税金及附加,调整所得税,进行项目投资现金流量分析。

练习题

1.某项目各年的净现金流量见表8-21。

8-21 项目各年净现金流量表 (单位:万元)

978-7-111-49223-8-Part04-233.jpg

某人根据表中各年净现金流量计算内部收益率指标,并据此进行决策(基准收益率ic=25%)。此人依据插值公式978-7-111-49223-8-Part04-234.jpg计算出i=20%,由此得出结论认为项目不可行。试问此人决策是否正确。

2.某项目建设期2年,运营期5年。基本数据如下:

①资金筹措:建设投资950万元(可抵扣固定资产进项税50万元),其中贷款500万元,年利率5%,建设期第一年年初借入,投产后采用等额还本、利息照付方式5年内还清。流动资金200万元,全部来自项目资本金。

②资金投入:项目建设投资的贷款和资本金均按40%、60%的比例分年投入。

③收入和成本估算:投产第一年即达到设计生产能力,年营业收入700万元,年经营成本300万元(原材料、燃料200万元),年营业税金及附加为营业收入的1%,增值税税率为17%,所得税税率为25%。固定资产采用年数总和法计提折旧,折旧年限5年,预计期末无残值(按不含增值税价格计算)。

【问题】

对项目进行资本金现金流量分析时,计算第一年和第三年的所得税后净现金流量。

参考答案

1.【解答】此人的决策不正确。

根据表8-19项目各年的净现金流量可以看出,项目各年的现金流量符号总共变化了3次,属于非常规项目。非常规项目可以求得多个i∗值,且多个i∗值都不是真正的项目内部收益率,因此不能直接用来作为项目内部收益率进行决策(本题不在考试大纲要求范围内,考生可作一般性了解)。

2.【解答

(1)计算期第一年的所得税后净现金流量

现金流入:0

现金流出:

用于建设投资的项目资本金=450×40%=180万元

所得税后净现金流量=-180万元

(2)计算期第三年的所得税后净现金流量

现金流入:

①营业收入=700万元

②销项税额=700×17%=119万元

现金流出:

①用于流动资金的项目资本金=200万元

②经营成本=300万元

③进项税额=200×17%=34万元

④增值税=119-34-50=35万元

⑤营业税金及附加=700×1%=7万元

⑥借款还本付息:

年初贷款本息累计=500×(1+5%)2=551.25万元

本年应付利息=551.25×5%=27.56万元

本年应还本付息额=551.25/5+27.56=137.81万元

⑦所得税:

978-7-111-49223-8-Part04-235.jpg

利润总额=700-7-300-317.08-27.56=48.36万元

所得税=48.36×25%=12.09万元

所得税后净现金流量:700+119-(200+300+34+35+7+137.81+12.09)=93.1万元

【点评】

此类题目首先要搞清是融资前分析还是融资后分析,注意两者分析的不同点。现金流量分析题型一定要按照“投资估算——资金筹措(建设期利息、还本付息)——收入和成本估算(折旧)——净现金流量(增值税)——分析指标”的思路逐年逐项计算,这样才能解答得全面、正确。这里给出该项目的资本金现金流量表(表8-22),以供参考。

8-22 项目资本金现金流量表 (单位:万元)

978-7-111-49223-8-Part04-236.jpg

第9章 经济分析

经济分析,又称国民经济评价,是判定投资项目经济合理性的一项重要工作。经济分析与财务分析紧密联系,两者在分析角度、效益和费用范围、价格体系、分析内容以及基本参数方面都有很大不同。可参考《建设项目经济评价方法与参数》(第3版)(简称《方法与参数》)的相关内容。

【本章结构】

978-7-111-49223-8-Part04-237.jpg

【重点难点】

(1)市场定价的可外贸货物的影子价格。

(2)市场定价的非外贸货物的影子价格。

(3)土地影子价格。

(4)经济净现值和经济内部收益率。

(5)在财务分析基础上调整编制经济分析报表。

(6)费用效果分析的增量分析法。

【内容精解】

经济分析是从资源配置经济效率的角度,分析项目对社会经济的贡献以及社会为项目付出的代价,以此考察项目的经济合理性。重点适用于那些市场配置资源失灵的项目(如自然垄断项目、公共产品项目等),可以采用经济费用效益分析或经济费用效果分析方法。

经济分析可以独立进行,但很多情况下是在财务分析的基础上,通过对财务分析数据进行必要的调整计算,得到经济分析的结论。经济分析与财务分析之间的联系很密切,使用同样的效益费用比较理论,都遵循有无对比原则,均采用现金流量分析方法与指标。但两者在分析角度、项目效益和费用的含义和范围、使用的价格体系、分析内容等方面有很大不同。

本章重点讲解经济效益与费用的识别、估算,经济费用效益分析报表编制和指标计算,经济分析中的费用效果分析,经济分析参数及应用。

注意:经济分析参数有两类:一类是通用参数,如社会折现率、影子汇率、影子工资等,由专门的机构组织测算和发布;一类是各种货物、服务、劳动力、土地、自然资源等的影子价格,需要由项目评价人员自行测算。请关注内容中对这些参数的讲解。

9.1 经济效益与费用的识别

经济效益与费用识别的基本要求

(1)进行全面识别 应涵盖项目涉及的所有社会成员的经济效益(包括直接效益和间接效益)和经济费用(包括直接费用和间接费用)。

(2)遵循“有无对比”的原则 将“有项目”(项目实施)与“无项目”(项目不实施)的情况加以对比,以识别和计算项目的效益和费用。

(3)合理确定经济效益与费用识别的时间跨度 不完全受财务分析计算期的限制,包含项目所产生的全部重要效益和费用(不仅有项目的近期影响,还要包括项目带来的中期、远期影响)。

(4)正确处理“转移支付” 转移支付是指那些只在社会成员之间发生的、不增加社会资源或不增加社会资源消耗的收入或支出。税收、补贴或罚款、借款和利息等属于转移支付,在经济费用效益分析中不作为经济效益和费用。

(5)以本国社会成员作为分析对象 对于跨越国界,对本国之外的其他社会成员也产生影响的项目,应重点分析项目对本国社会成员带来的效益和费用。

直接效益与直接费用的识别

项目生产的产品及提供的服务会造成两种影响:用户使用得到效益或挤占其他供应者的市场份额;项目使用了投入物也会造成两种影响:对社会经济造成资源消耗或挤占其他用户的使用。

1.直接效益

项目直接效益是指在项目计算范围内、由项目产出物产生的经济效益,一般表现为项目为社会生产提供的物质产品、科技文化成果和各种各样的服务所产生的效益。

项目产出物产生的直接效益有多种表现:

1)表现为国内新增需求的支付意愿。

2)表现为社会资源的节省。

3)表现为国家外汇收入的增加或支出的减少。

4)表现为一些特殊性效益,如时间节约的效果、人力资本增值的效果、对健康的影响效果等。

注意:前三项直接效益大多能够在财务分析中得到反映,尽管这些反映有时会有一定程度的价值失真。对于价值失真的直接效益在经济分析中应按影子价格重新计算。

2.直接费用

项目直接费用是指在项目计算范围内、由项目使用投入物产生的经济费用,一般表现为投入项目的各种物料、人工、资金、技术以及自然资源而带来的社会资源的消耗。

项目投入物产生的直接费用也有多种表现:

1)表现为社会扩大生产规模所增加耗用的社会资源价值。

2)表现为社会因其他人被迫放弃使用这些资源而损失的效益。

3)表现为国家外汇支出的增加或外汇收入的减少。

注意:与直接效益一样,直接费用一般也在项目的财务分析中得到反映,仍然会有一定程度的价值失真。对于价值失真的直接费用在经济分析中仍然要按影子价格重新计算。

3.转移支付的处理

正如前面所讲,转移支付没有造成资源的实际增加或减少。在财务分析基础上调整进行经济分析时,要从财务效益和费用中剔除转移支付部分。

1)项目(企业)向政府缴纳的大部分税费(除体现资源补偿和环境补偿的税费外)。

注意:税费对于项目来说是一项支出,但对于国家财政来说是一项收入,因此它只是企业与国家之间的资金转移,不能算作经济费用。

2)政府给予项目(企业)的各种补贴。

注意:补贴虽然增加了项目的财务收益,但它是从财政收入中抽出一部分资金转给了企业,所以不能算作经济效益。

3)项目向国内银行等金融机构支付的贷款利息和获得的存款利息。

注意:利息是利润的转化形式,是企业与银行之间的资金转移,因此不能记作经济费用或效益。

间接效益与间接费用

项目的外部效果是指项目可能会给其他社会成员带来的正面或负面影响,而项目本身并不会为此获得收益或付出代价。一般把项目的外部效果称为间接效益和间接费用,经济分析时应对其进行识别。

(1)项目的外部效果

1)环境及生态影响效果。有的项目会造成环境污染和生态破坏,这应当看做是项目的一种间接费用,这种间接费用难于定量计算,可参照第4章的环境价值评估方法,也可近似地按同类企业所造成的损失估计,或按恢复环境质量所需的费用估计;有的项目会对环境产生好的影响,评价中应考虑相应的效益。

注意:环境和生态影响不能定量计算时,应作定性描述。

2)技术扩散效果。是指技术在社会上的扩散和推广所产生的社会收益。

注意:这类外部效果通常难于定量计算,一般只作定性说明。

3)“上游、下游”企业相邻效果。是指项目的实施带来的上游、下游企业的发展。有些项目对“上游、下游”企业的相邻效果,在项目的投入物和产出物的影子价格中得到反映,这时不再计算间接效果;有些间接影响难于反映在影子价格中,需要作为项目的外部效果计算。

4)乘数效果。是指项目的实施使原来闲置的资源得到利用,从而产生一系列的连锁反应,刺激某一地区或全国的经济发展。如果拟同时对该项目进行经济影响分析,可将乘数效果放在经济影响分析中。对经济落后地区的项目进行经济分析时可能需要考虑这种效果。

注意:不宜连续扩展计算乘数效果,也就是第二级乘数波及效应不予考虑。

5)劳动力培训效果(人力资本增值效果)。

(2)识别计算项目的外部效果时须注意以下几点:

1)避免发生重复计算和虚假扩大项目间接效益。已在直接效益和费用中计入的不应再在外部效果中计算(如反映在影子价格中);还要仔细论证所考虑的外部效果是否完全归属于所评价的项目。

2)可以采用调整项目范围的办法,解决项目外部效果计算上的困难。调整项目范围的一种方法是将项目的范围扩大,将相互关联的几个项目合成一个“项目群”进行经济分析,使外部效果内部化,从而抵消项目之间的相互支付。

3)项目的外部效果往往体现在对区域经济和宏观经济的影响上。影响较大的项目,需要专门进行经济影响分析,这时可适当简化经济费用效益分析中的外部效果分析。

9.2 经济效益与费用的估算

经济效益与费用的估算理论

(一)估算原则

1.支付意愿原则

注意:项目产出物正面效益的计算遵循支付意愿(WTP)原则,用来分析社会成员为项目所产出的效益愿意支付的价值。

2.受偿意愿原则

注意:项目产出物负面影响的计算遵循接受补偿意愿(WTA)原则,用来分析社会成员为接受这种不利影响所得到补偿的价值。

3.机会成本原则

注意:项目投入物的经济费用的计算应遵循机会成本原则,用来分析项目所占用资源的机会成本。机会成本是指资源的其他替代用途中所能获得的最大经济效益。

4.实际价值计算原则

应对所有效益和费用采用反映资源真实价值的实际价格进行计算,不考虑通货膨胀因素的影响,但可考虑相对价格变动。

注意:相对价格变动是指一种商品价格相对于另一种商品价格的变动水平,而通货膨胀或紧缩则体现为物价总水平的变化,是一种绝对价格变动。

(二)估算价格——影子价格

进行项目的经济分析时,原则上应采用影子价格。影子价格在经济学上可理解成资源的边际贡献,即是每增加一单位资源所产生的最优使用效果。影子价格反映了项目货物(包括投入物和产出物)的真实经济价值,在确定某种货物的影子价格之前,应先区分该货物的类型。

根据货物的可外贸性,将货物分为可外贸货物和非外贸货物;根据货物价格机制的不同,分为市场定价货物和非市场定价货物。可外贸货物通常属于市场定价货物;而非外贸货物中既有市场定价货物又有非市场定价货物。由于劳动力、土地和自然资源的特殊性,将它们归类为特殊投入物。

市场定价货物的影子价格

市场定价货物的影子价格应以市场价格为基础,另外加减相应的物流环节费用作为项目投入物或产出物的进厂或出厂影子价格。

(一)可外贸货物影子价格

项目使用或生产可外贸货物,有下列几种影响:项目产出物直接出口、间接出口和替代进口;项目投入物直接进口、间接进口和减少出口。为简化工作,实践中只对项目产出物中的直接出口和投入物中的直接进口,利用进出口口岸价格测定影子价格。对于其他几种情况仍按国内市场价格定价。

1)直接出口产出物的影子价格(出厂价)=离岸价(FOB)×影子汇率-出口费用

2)直接进口投入物的影子价格(到厂价)=到岸价(CIF)×影子汇率+进口费用

注意:

1)进口或出口费用是指货物进出口环节在国内所发生的各种相关费用,包括运输费用、储运、装卸、运输保险等各种费用支出,物流环节的各种损失、损耗以及资金占用的机会成本等。进口费用和出口费用用人民币计价,一般取其财务价值。

2)影子汇率是指外汇的影子价格,反映了外汇的真实价值。计算公式为

影子汇率=外汇牌价×影子汇率换算系数

式中,影子汇率换算系数越高,外汇的影子价格越高,评价结论有利于出口方案,不利于进口方案。目前我国的影子汇率换算系数取值为1.08。

【例9-1】

某乙烯厂的乙烯出口离岸价为1000美元/t,其原料A的进口到岸价为600美元/t,出口费用和进口费用分别为550元/t和680元/t,外汇牌价为1美元=7.5元人民币,影子汇率换算系数为1.08。

【问题】

试确定上述产品和原料的影子价格。

【解答】

乙烯的影子价格=1000×7.5×1.08-550=7550元/t

原料A的影子价格=600×7.5×1.08+680=5540元/t

(二)市场定价的非外贸货物影子价格

市场定价的非外贸货物影子价格的测算方法见表9-1。

货物或服务于竞争性市场中,市场价格能够反映支付意愿或社会成本,应采用市场价格作为计算其影子价格的依据,换算公式为

产出物影子价格(出厂价)=市场价格-国内运杂费

投入物影子价格(到厂价)=市场价格+国内运杂费

1)如果项目产出物或投入物的规模很大,项目的实施影响了其市场价格,导致“有项目”和“无项目”两种情况价格不一致,可取两者的平均值作为测算影子价格的依据。

2)产出物和投入物的影子价格中是否含税(指增值税的销项税额或进项税额),应分情况处理。

9-1 市场定价的非外贸货物影子价格的确定

978-7-111-49223-8-Part04-238.jpg

注意:表中9-1包含了非市场定价的非外贸货物的影子价格确定方法——成本分解法,后面有详细阐述。

【例9-2】

某铝锭生产企业生产的A级铝锭产品为市场急需产品,市场需求空间很大,估计的目标市场价格为16000元/t(含销项税),项目到目标市场的运杂费为1500元/t。其生产所需原料B市场供应能力较强,能满足该项目的需要,且通过市场来定价。

【问题】

在进行经济分析时,该铝锭产品和原料B的影子价格应如何确定?

【解答】

1)经分析,该铝锭产品为市场急需产品,市场需求空间很大,对市场价格的影响不大,所以应采用含税的市场价格来确定其出厂影子价格。则其影子价格为

16000-1500=14500元/t

2)原料B的供应能力较强,生产能力较富裕,足以满足该项目的需要,所以应采用社会成本来确定影子价格,又因为其属于市场定价货物,所以可采用不含税的市场价格确定其影子价格。

【解题思路】

此类确定产出物或投入物的影子价格的题目,最重要的是首先确定货物的类型及市场状况,然后根据估算方法进行影子价格的确定。

不具备市场价格的产出效果的影子价格

当项目的产出效果不具有市场价格,或市场价格难以真实反映其经济价值,尤其是项目的外部效果,这时可以采取两种方式确定影子价格。

1)根据消费者支付意愿的原则,通过其他相关市场价格信号,按照“显示偏好”的方法,寻找揭示这些影响的隐含价值,对产出效果进行间接估算。

注意:例如,项目的外部效果导致关联企业效益或费用的变动,可通过对这些变动进行量化分析,作为对项目外部效果的量化依据。

2)按照“陈述偏好”的原则,采用意愿调查评估法,评价调查对象的支付意愿或接受补偿意愿,从而间接推断出项目造成的有关外部影响的影子价格。

政府调控价格货物的影子价格

在我国,电、水和铁路运输等是由政府调控价格,不能完全反映它们的真实经济价值,往往需要采取特殊的方法来测定这些产品或服务的影子价格。

(一)几种定价方法

1.成本分解法——确定非外贸货物影子价格的一种重要方法

该法通过对某种货物的边际成本(实践中往往采取平均成本)进行分解,并对分解出的各项费用按影子价格进行调整换算,最终得到该货物的分解成本。分解成本表示了某种货物的生产所需要耗费的全部社会资源的价值,包括各种物料投入以及人工、土地等投入,也包括资金回收的费用。

具体步骤如下:

1)数据准备。列出该非外贸货物按生产费用要素计算的单位财务成本;列出单位货物所占用的固定资产原值,以及占用流动资金数额;调查确定或设定该货物生产厂的建设期、建设期各年投资比例、经济寿命期限及寿命期终了时的固定资产余值。

注意:①生产费用要素包括原材料、燃料和动力、工资或薪酬、折旧费、修理费、流动资金利息支出等;②这里的经济寿命期限可认为是项目的计算期,包括建设期和生产期。

2)确定重要原材料、燃料、动力、工资等投入物的影子价格,计算单位经济费用。

3)对建设投资进行调整和等值计算。

按照建设期各年投资比例,计算出建设期各年建设投资额,用下式把分年建设投资额换算到生产期初

978-7-111-49223-8-Part04-239.jpg

式中 IF——等值计算到生产期初的单位建设投资;

It——建设期各年调整后的单位建设投资(元);

n1——建设期(年);

is——社会折现率。

4)用固定资金回收费用取代财务成本中的折旧费。

设每单位该货物的固定资金回收费用为MF

不考虑固定资产余值回收时为:MF=IF×(A/Pisn2

考虑固定资产余值回收时为:MF=(IF-SV)×(A/Pisn2)+SV×is

式中 SV——计算期末回收的固定资产余值;

n2——生产期。

5)用流动资金回收费用取代财务成本中的流动资金利息。

设每单位该货物的流动资金回收费用为MW,则有MW=W×is

式中 W——单位该货物占用的流动资金。

6)财务成本中的其他科目可不予调整。

7)完成上述调整后,计算的各项经济费用总额即为该货物的分解成本,可作为其出厂影子价格。

2.支付意愿法

该方法遵循了支付意愿原则。在完善的市场中,市场价格可以正确地反映消费者的支付意愿;而在不完善的市场中,市场价格则可能不能正确反映消费者的支付意愿。

3.机会成本法

该方法遵循的是机会成本原则。

(二)几种主要的政府调控价格产品及服务的影子价格

几种主要的政府调控价格产品及服务的影子价格见表9-2。

9-2 政府调控价格产品及服务的影子价格

978-7-111-49223-8-Part04-240.jpg

特殊投入物的影子价格

项目的特殊投入物主要包括:劳动力、土地和自然资源,其影子价格需要采取特定的方法确定。

(一)劳动力的影子价格——影子工资

经济分析中用影子工资作为项目使用劳动力的费用。计算公式为

劳动力投入的影子价格=劳动力机会成本+新增资源消耗

式中,①劳动力机会成本是指拟建项目占用的劳动力由于不能再用于其他地方或享受闲暇时间而被迫放弃的价值;②新增资源消耗是指劳动力在本项目新就业或由原来岗位转移到本项目而发生的经济资源消耗,例如搬迁费、新增的城市交通、基础设施配套等相关投资和费用。

注意:影子工资一般是通过影子工资换算系数计算。影子工资换算系数是影子工资与财务分析中劳动力的工资之比。技术性工作的劳动力的工资一般由市场供求决定,影子工资换算系数一般取值为1;非技术劳动力的影子工资换算系数在0.25~0.8之间,非技术劳动力较为富余的地区可取较低值,不太富余的地区可取较高值,中间状况可取0.5。

(二)土地影子价格

土地在我国是一种稀缺资源,项目使用了土地,无论是否实际支付费用,都应根据机会成本或消费者支付意愿计算土地的影子价格。土地的地理位置是影响土地影子价格的关键因素。

1.非生产性用地的土地影子价格

项目占用的非生产性用地是指住宅区、休闲区等。

1)市场完善的,应按市场交易价格作为土地影子价格。

2)市场不完善或无市场交易价格的,应按消费者支付意愿确定土地影子价格。

2.生产性用地的土地影子价格

项目占用的生产性用地主要指农业、林业、牧业、渔业及其他生产性用地。

1)计算公式

土地影子价格=土地机会成本+新增资源消耗

①土地机会成本。一般按照项目占用土地的“最佳可行替代用途”产出的净效益现值进行计算。公式如下

OC=NB0(1+gτ+1×[1-(1+gn(1+is-n]/(is-g

式中 OC——土地机会成本;

NB0——基年土地的最佳可行替代用途的净效益(用影子价格计算);

τ——净效益计算基年距项目开工年的年数;

g——土地的最佳可行替代用途的年平均净效益增长率;

is——社会折现率(isg);

n——项目计算期。

注意:这里的土地“最佳可行替代用途”通常是指土地在“无项目”情况下的最佳生产性产出。

②新增资源消耗。按照“有项目”情况下土地的征用造成原有地上附属物财产的损失及其他资源耗费来计算。业主自行开发土地的土地平整等开发成本通常应计入工程建设投资中,在土地经济费用中不再重复计算。

2)可从财务分析中的土地征地费用出发,调整计算土地影子价格。

分为三个部分,按不同方法调整:

①属于机会成本性质的费用,有土地补偿费、青苗补偿费,按机会成本计算方法调整计算。

②属于新增资源消耗的费用,有征地动迁费、安置补偿费、地上附着物补偿费,按影子价格计算。

③一般而言,政府征收的税费属于转移支付,但从耕地资源的稀缺程度考虑,征地费用中的耕地占用税应计入土地经济费用。

3)已经在建或正在规划中的经济开发区和工业园区的土地,其用途已不再是农用地,应参照市场价格确定土地影子价格。

【例9-3】

2007年某地区拟建一工业项目,拟占用土地600亩,该地目前种植山茶,按影子价格计算的今年每亩净收益为8000元。经调查,该地的各种可行的替代用途中最大年净效益为每亩10000元(按影子价格计算的2007年净效益)。设定项目计算期为20年,预测该最佳可行替代用途的年平均净收益增长率为2.5%。项目预计2009年开始动工,估算的新增资源消耗为5000元/亩,社会折现率取8%。

【问题】

计算该项目占用的土地影子价格。

【解答】

项目占用生产性用地的影子价格为:机会成本+新增资源消耗

(1)首先计算每亩土地的机会成本:τ=2,g=2.5%n=20,is=8%

OC=10000×(1+2.5%)3×[1-(1+2.5%)20×(1+8%)-20]/(8%-2.5%)

=126963.01元

(2)该土地的影子价格=126963.01×600+5000×600=7917.78万元

【解题思路】

土地影子价格中使用的是用影子价格计算的基年土地“最佳可行替代用途”的净效益,而不是现有土地的产出净效益。τ的确定也很关键,容易出错。

(三)自然资源影子价格

1)矿产等不可再生资源的影子价格应按该资源用于其他用途的机会成本计算可简化用市场价格(含增值税进项税额和资源税)作为其影子价格的最低值。

2)水和森林等可再生资源的影子价格可以按资源再生费用计算。

3)为方便测算,自然资源影子价格也可以通过投入物替代方案的费用测算。

人力资本和生命价值的估算

某些项目的产出效果表现为对人力资本、生命延续或疾病预防等方面的影响,应测算其人力资本增值的价值、可能减少死亡的价值以及减少疾病增进健康等的价值,并纳入到项目的经济分析中。如果货币量化缺乏可靠依据,应采用非货币的方法进行量化。

1)教育项目,其效果可以表现为人力资本增值。

在劳动力市场发育成熟的情况下,其人力资本的增值应根据“有项目”和“无项目”两种情况下的所得税前工资的差额进行估算。

2)医疗卫生项目,其效果常表现为减少死亡和病痛的价值。

可根据社会成员为避免死亡而愿意支付的费用进行计算。

注意:如果缺乏人们对生命的支付意愿的资料,①可采用人力资本法,通过分析人员死亡所带来的社会创造收入的减少来评价死亡引起的损失,以测算生命的价值;②或通过分析伤亡风险高低不同的工种的工资差别来间接测算人们对生命价值的支付意愿。

3)卫生保健项目,其效果表现为对人们增进健康的影响。

一般应通过分析疾病发病率与项目影响之间的关系,测算由于健康状况改善而增加的工作收入,发病率降低而减少的看病、住院等医疗成本及其他各项支出,并综合考虑人们对避免疾病而获得健康生活所愿意付出的代价,测算其经济价值。

时间节约价值的测算

交通运输等项目的效果表现为时间的节约,应该按照有无对比原则分析“有项目”和“无项目”情况下的时间耗费情况,分别测算人们出行时间节约和货物运送时间节约的经济价值,见表9-3。

9-3 时间节约价值的测算

978-7-111-49223-8-Part04-241.jpg

环境价值的估算

环境工程项目的效果表现为对环境质量改善的贡献,可采用第4章中的环境价值评估方法,估算其经济价值。

9.3 经济费用效益分析报表编制和指标计算

识别和估算完经济效益和费用之后,应编制经济费用效益分析报表,并根据报表数据计算评价指标,进行经济分析,判断项目的经济合理性。

经济费用效益分析报表的编制

(一)项目投资经济费用效益流量表

用以综合反映项目计算期内各年的按项目投资口径计算的各项经济效益与费用流量及净效益流量,并可用来计算项目投资经济净现值和经济内部收益率指标,见表9-4。这里的项目投资不考虑资金筹措方式。

9-4 项目投资经济费用效益流量表

978-7-111-49223-8-Part04-242.jpg

(二)报表编制的方式

1.直接进行效益和费用流量的识别和计算,并编制经济分析报表

1)分析确定经济效益、费用的计算范围,包括直接效益、直接费用和间接效益、间接费用。

2)测算各项投入物和产出物的影子价格,对各项产出效益和投入费用进行估算。

3)根据估算的效益和费用流量,编制项目投资经济效益费用流量表。

4)能够货币量化的外部效果,纳入到经济效益费用流量表的间接费用和间接效益;难以进行货币量化的产出效果,应尽可能地采用其他量纲进行量化,难以量化的,进行定性描述。

2.在财务分析项目投资现金流量表基础上调整编制经济费用效益流量表

1)调整内容(表9-5)。在财务分析基础上编制经济分析报表,主要包括效益和费用范围调整和数值调整两方面。

9-5 在财务分析基础上编制经济分析报表的调整内容

978-7-111-49223-8-Part04-243.jpg

2)具体调整方法见表9-6。

9-6 在财务分析报表基础上调整编制经济分析报表的具体方法

978-7-111-49223-8-Part04-244.jpg

【例9-4】

根据本书第四部分第6章【例6-5】,某工厂拟从国外进口一套仪器仪表设备,重量960t,离岸价为800万美元。其他有关费用参数为:国外运费标准为420美元/t;海上运输保险费费率为0.25%;银行财务费费率为0.5%;外贸手续费费率为1.5%;关税税率为22%;进口环节增值税税率为17%;人民币外汇牌价为1美元=7.57元人民币,设备的国内运杂费费率为2.5%。

计算得到的该套进口设备的设备购置费估算为9380.05万元,设进口相关费用经济价值与财务价值相同,不必调整,影子汇率换算系数为1.08。

【问题】

试计算该套进口设备的经济价值(到厂价)。

【解答】

根据表9-6中的调整方法,用影子汇率调整该进口设备的到岸价,剔除作为转移支付的进口关税和进口环节增值税,进口相关费用不必调整。

(1)用影子汇率换算为人民币表示的进口设备到岸价为:

(800+420×960/10000)×(1+0.25%)×7.57×1.08=6887.29万元

(2)银行财务费=800×7.57×0.5%=30.28万元

外贸手续费=(800+420×960/10000)×(1+0.25%)×7.57×1.5%=95.66万元

国内运杂费=800×7.57×2.5%=151.4万元

(3)进口设备的经济价值=6887.29+30.28+95.66+151.4=7164.63万元

【例9-5】

某大型生产项目有多种产品,大部分产品的市场价格可以反映其经济价值,其中的主要产品A市场需求空间不够大,年产量较大为10万t,项目投产后,将导致该产品的市场价格下降20%,且很可能挤占国内原有厂家的部分市场份额,当前的市场价格为2000元/t(含销项税额);主要产品B为紧俏商品,年产量5万t,市场售价为2400元/t(含销项税额)。A、B产品运到目标市场的运杂费均为40元/t。该项目市场销售收入估算为70000万元(含销项税额),适用的增值税税率为17%。因A、B产品属于国家限制类资源出口产品,要求进行经济分析,判定项目经济合理性。

【问题】

(1)A、B产品的影子价格应如何确定?

(2)试估算按影子价格计算调整后的项目营业收入。

【解答】

(1)按照前述市场定价的非外贸产出物影子价格的确定原则和方法,A产品可能挤占其他厂家的市场份额,所以其影子价格可按社会成本确定,采用不含税的市场价格作为其社会成本;同时因该产品产量大影响了市场价格,所以取“有项目”和“无项目”价格的平均值作为测算影子价格的依据,A产品的影子价格为:[2000+2000×(1-20%)]/2/(1+17%)-40=1498.46元/t。

B产品按消费者支付意愿确定影子价格,采用含税的市场价格,则B产品的影子价格为2400-40=2360元/t。

(2)按产品的影子价格调整后的年营业收入为

70000-10×(2000-1498.46)-5×(2400-2360)=64784.6万元

该项目的直接经济效益为64784.6万元。

【解题思路】

通过调整财务分析报表进行经济分析,首先要根据题目所给数据确定具体的调整项目,然后逐项按照调整方法进行调整,不要有遗漏。关键是理解记忆表9-6的内容。此题的调整项目是营业收入,先确定需要调整的产出物的影子价格,然后重新计算经济效益中的营业收入。

经济费用效益分析指标

(一)经济净现值

经济净现值(ENPV)是指用社会折现率将项目计算期内各年的经济净效益流量折算到项目建设期初的现值之和,是反映项目对社会经济净贡献的绝对量指标。计算式为

978-7-111-49223-8-Part04-245.jpg

式中 B——经济效益流量;

C——经济费用流量;

B-Ct——第t年的经济净效益流量;

is——社会折现率;

n——计算期,以年计。

ENPV等于或大于零表示项目带来的经济效益达到或超过了社会折现率的基本要求,从经济效率看,该项目可以接受。ENPV越大,表明项目带来的以现值表示的经济效益越大。

(二)经济内部收益率

经济内部收益率(EIRR)是指项目在计算期内各年经济净效益流量的现值累计等于零时的折现率,是经济费用效益分析的辅助评价指标,是反映项目经济效益的相对量指标,表示项目占用的资金所能获得的动态收益率。计算式如下,可用试算法或计算机求解:

978-7-111-49223-8-Part04-246.jpg

EIRR等于或大于社会折现率时,表明项目对社会经济的净贡献达到或者超过了社会折现率的基本要求。

注意前面提到的社会折现率代表着社会投资所要求的最低动态收益率。社会折现率根据社会经济发展多种因素综合测定,由专门机构统一测算发布。我国目前的社会折现率一般取值为8%。对于永久性工程或者受益期超长的项目,社会折现率可适当降低,但不应低于6%。社会折现率的取值高低直接影响项目经济合理性判断的结果,也会影响项目的选优和方案的比选。

【例9-6】

某项目在财务数据基础上,对收益和费用进行调整后编制了项目投资经济费用效益流量表和项目国内投资经济费用效益流量表,这里只列出各自的净效益流量。设项目建设期期初投资为250万元(含国外资金100万元),社会折现率is=8%(表9-7)。

9-7 某项目的经济净效益流量 (单位:万元)

978-7-111-49223-8-Part04-247.jpg

【问题】

试计算该项目的投资经济净现值和经济内部收益率、项目国内投资经济净现值和经济内部收益率。

【解答】

(1)计算项目投资经济净现值:

ENPV=-250-280×(P/F,8%,1)-470×(P/F,8%,2)+70×(P/F,8%,3)+100×(P/F,8%,4)+200×(P/F,8%,5)+…+380×(P/F,8%,15)

=323.80万元

计算项目投资经济内部收益率EIRR

-250-280×(P/Fr,1)-470×(P/Fr,2)+70×(P/Fr,3)+100×(P/Fr,4)+200×(P/Fr,5)+…+380×(P/Fr,15)=0

用内插法求得:EIRR=r=12.46%

由于项目投资的经济净现值大于零,经济内部收益率大于社会折现率,所以项目投资具有经济合理性。

(2)计算国内投资的经济净现值:

ENPV=-150-180×(P/F,8%,1)-270×(P/F,8%,2)-50×(P/F,8%,3)+30×(P/F,8%,4)+80×(P/F,8%,5)+120×(P/F,8%,6)+…+380×(P/F,8%,15)=80.8万元

计算国内投资经济内部收益率:

-150-180×(P/Fr,1)-270×(P/Fr,2)-50×(P/Fr,3)+30×(P/Fr,4)+80×(P/Fr,5)+120×(P/Fr,6)+…+260×(P/Fr,15)=0

用内插法求得:EIRR=r=9.7%

由于国内投资的经济净现值大于零,经济内部收益率大于社会折现率,说明项目的国内投资也能取得较好的经济效益。

【解题思路】

这类题目首先估算出项目投资和国内投资的经济净效益流量,然后根据指标公式进行计算。应注意的是,建设期初也就是0点的数据不要遗漏。

9.4 经济分析中的费用效果分析

费用效果分析概述

当项目效果不能或难以货币量化时,或货币量化的效果不是项目目标的主体时,在经济分析中应采用费用效果分析方法,其结论作为项目投资决策的依据。费用效果分析是指通过比较项目达到的效果与所付出的费用,用以判断所付出的代价是否值得。其中费用是指实现项目预定目标所付出的代价,用货币计量;效果是指项目的结果所起到的作用、效应或效能,是项目目标的实现程度,采用非货币指标度量。

费用效果分析既可以应用于财务分析,也可以用于经济分析。用于前者,主要用于项目各个环节的方案比选、项目总体方案的初步筛选;用于后者,除了可以用于上述方案比选、筛选以外,对于项目主体效益难于货币化的,则取代经济费用效益分析,并作为经济分析的最终结论。

费用效果分析基本指标

1)效果费用比(RE/C),即单位费用所达到的效果

978-7-111-49223-8-Part04-248.jpg

式中 RE/C——效果费用比;

E——项目效果;

C——项目费用,用现值或年值表示(见第5章价值性指标)。

2)费用效果比(RC/E)指标,即单位效果所花费的费用

978-7-111-49223-8-Part04-249.jpg

费用效果分析用于方案比选

(一)应用条件

进行费用效果分析,项目的备选方案应具备以下条件:

1)备选方案是不少于两个的互斥方案或可转化为互斥方案的方案。

2)备选方案应有共同的目标,均能满足最低效果要求,否则不可进行比较。

3)备选方案的费用应能货币量化,且资金用量不应突破预算限额。

4)备选方案的效果应采用同一非货币计量单位衡量,如果有多个效果,可加权处理成单一的综合指标。

5)备选方案应具有可比的寿命周期。

(二)应用基本程序

1)确立项目目标,并转化为具体的可量化的效果指标。

2)构想和建立备选方案。

3)估算各个方案的费用与效果。

注意下列估算要点:

①费用应包括整个计算期内发生的全部费用;费用可采用现值或年值表示,备选方案计算期不一致时应采用年值。

②效果计量单位的选择。应能切实度量项目目标实现的程度,且便于计算。若项目的目标不止一个,或项目的效果难以直接度量,需要建立次级分解目标,借助层次分析法对项目的效果进行加权计算,处理成统一的综合指标。

4)计算相关指标,综合比较、分析各方案的优缺点。

5)推荐最佳方案或提出优先采用的次序。

(三)费用效果分析基本方法

1.最小费用法(固定效果法)

当项目效果相同的条件下,应选择能够达到效果的各种可能方案中费用最小的方案。

2.最大效果法(固定费用法)

当费用相同的条件下,应选择能使效果最大化的方案。

3.增量分析法

当备选方案的效果和费用均不固定,且分别具有较大幅度的差别时,应比较分析各个方案的增量效果和增量费用,分析获得增量效果所付出的增量费用是否值得。

采用增量分析法应先确定基准指标[E/C]0或[C/E]0,如果增加的效果能够抵补增加的费用,即ΔEC≥[E/C]0或ΔCE≤[C/E]0时,可以选择费用高的方案,否则,选择费用低的方案。

如果项目有两个以上的备选方案进行增量分析,应按下列步骤选优:

1)将方案费用由小到大排队。

2)从费用最小的两个方案开始比较,通过增量分析选择优胜方案。

3)将优胜方案与紧邻的下一个方案进行增量分析,并选出新的优胜方案。

4)重复第三步,直至最后一个方案,最终被选定的优胜方案为最优方案。

【例9-7】

因资源条件和生态环境日益恶化,内蒙古地区的珍稀动物野马数量逐年减少。当地政府拟实行一个5年期限的野马人工繁殖计划,以增加野马数量,保证此物种的繁衍。专家设计了甲、乙、丙、丁4个备选方案,费用为方案实施的全部费用,效果为增加野马数量。4个方案的费用和效果指标如下(表9-8)(已将5年的数据换算成年值)。

【问题】

4个方案的计算期相同,拟采用费用效果分析法进行比选,以决定采用哪个方案。设定基准指标[C/E]0=10(表示每增加一匹野马需要花费10万元),政府资金不受限制。

9-84个方案的效果和费用表

978-7-111-49223-8-Part04-250.jpg

【解答】

因备选方案的费用和效果均不固定,因此采用增量分析法。

(1)将方案按费用由小到大排序,并计算各方案的费用效果比(表9-9)。

9-9 方案费用效果比计算表

978-7-111-49223-8-Part04-251.jpg

(2)乙方案的费用效果比明显高于基准值,所以应予淘汰;其他3个方案经济上都可接受。

(3)将剩下的3个方案进行两两比较。

1)丁和丙比较,ΔCE=(2400-1960)/(280-200)=5.5万元/匹

此值低于基准值,则拒绝丁方案接受丙方案;

2)丙与甲比较,ΔCE=(3200-2400)/(350-280)=11.43万元/匹

此值高于基准值,则拒绝甲方案接受丙方案。

(4)由此可知,应选择丙方案。

【解题思路】

费用效果分析有三种方法,应根据题目条件进行选择。采用增量分析法,不可盲目地选择效果费用比大的方案或费用效果比小的方案,而应对增量比值进行比较。选择方案时还要注意费用有没有限制。

【专家点评】

(1)本章内容比较繁杂,尤其是货物影子价格的确定,包含多种情况,做题时首先要明确货物属于哪种类型,然后选择正确的方法;在财务分析基础上调整编制经济分析报表也是一个难点,需要调整的内容较多,难免会有遗漏,必须把应该调整的内容记清。上述两部分内容是本章的重点,一定要通过演练习题把内容理解透并记得牢。

(2)本章内容与财务分析相辅相成,属于经济评价里面的两大内容,两者容易结合出综合考题。难点是如何在财务分析的基础上调整计算进行经济分析。

(3)历年考核了经济效益和费用的识别、项目经济净效益和经济净现值的计算、经济合理性分析;在财务分析数据基础上调整经济分析数据也是考核要点。虽然内容较多,但考核难度不是很大,计算量适中。

(4)补充经济分析与财务分析的区别,帮助大家更好地理解这两部分知识(表9-10)。

9-10 经济分析与财务分析的区别

978-7-111-49223-8-Part04-252.jpg

练习题

1.某市拟建一工业园区,这势必给本地区带来用电压力,因此当地政府打算在其附近新建一生物能发电厂来满足新增用电。当地政府给予该工业园区优惠电价为0.2元/(kW·h)(含税)。采用成本分解法计算得出该电厂电力的分解成本为0.24元/(kW·h)。

【问题】 在进行该工业园区的经济分析时,确定其用电应采用的影子价格。

2.某种非外贸货物是拟建项目的主要投入物,需对其进行成本分解以求得影子价格。该货物的单位财务成本主要包括原材料、工资、折旧费、流动资金利息支出等。已知按影子价格调整后的单位货物所占用的建设投资,按各年投资比例等值计算到生产期初为1507元,单位货物占用的流动资金为250元,项目生产期为15年,社会折现率为8%。

【问题】

(1)试计算固定资金回收费用(不考虑固定资产余值回收)和流动资金回收费用。

(2)在成本分解法中,用固定资金回收费用和流动资金回收费用调整该货物财务成本中的哪些项目?

3.某企业拟建立一个物流运输系统,该项目的可行性研究报告中提出拟使用某国制造的进口卡车50辆。进口货车离岸价为6万美元/辆,海上运费3000美元/辆,保险费率0.2%,银行财务费费率0.5%,外贸手续费费率为1.5%,国内运杂费费率2.5%,进口关税税率20%,进口环节消费税税率20%,增值税税率17%。如果使用某种相同吨位的国产货车,为达到同等效果,需购买55辆,车价30万元/辆,需要缴纳购置税等费用2万元/辆。车辆使用寿命为10年,10年后车辆报废无残值。进口货车与国产货车主要经济指标见表9-11。

9-11 进口货车与国产货车主要经济指标

978-7-111-49223-8-Part04-253.jpg

上述财务基础数据,除人工工资、外汇汇率和燃油成本外,不存在价格扭曲的现象。卡车司机人均工资24000元/年,每辆卡车配1名司机。进口车辆的劳动力影子工资换算系数为1.2,国产车辆按1计算;燃油的影子价格经估算为4元/L;美元对人民币外汇牌价为1美元=7.5元,影子汇率换算系数为1.08,进口相关费用不予调整。社会折现率取8%。

【问题】 试从经济分析的角度评价本项目是购买进口卡车还是国产卡车(计算结果保留两位小数)。

参考答案

1.电价属于政府调控价格产品,作为工业园区的投入物,因其是通过新增投资来增加电力供应,所以应该用全部成本分解认定该工业园区的电力影子价格为0.24元/(kW·h)。

如果发电厂不是建在工业园区的旁边,还需要另外计算网输费(包括输变电成本及输电线损)。

【解题思路】

考核的是政府调控价格货物的影子价格,不同供应情况有不同的定价方法,应该要了解。

2.(1)不考虑固定资产余值回收,则单位货物的固定资金回收费用计算如下:

MF=IF×(A/Pisn2)=1507×(A/P,8%,15)=1507×0.11683=176.06元

单位货物的流动资金回收费用计算如下:

MW=W×is=250×8%=20元

(2)在成本分解法中,用固定资金回收费用取代财务成本中的折旧费;用流动资金回收费用取代财务成本中的流动资金利息。

【解题思路】

该题考核的是成本分解法,对成本分解法的步骤弄清,了解其中涉及的几个公式及其含义即可。

3.我们通过计算每辆货车每公里行使所花费的经济费用来判断是购买进口货车还是国产货车。

(1)人工费:每年每辆车需要人工费2.4万元,按平均年行驶里程分摊。

每辆进口车每公里人工费=24000×1.2/80000=0.36元

每辆国产车每公里人工费=24000×1/60000=0.4元

(2)燃油成本:

每辆进口车每公里燃油成本=20×4/100=0.8元

每辆国产车每公里燃油成本=22×4/100=0.88元

(3)日常维护成本:

每辆进口车每公里日常维护成本=16000/80000=0.2元

每辆国产车每公里日常维护成本=9000/60000=0.15元

(4)大修理成本(不考虑时间因素,近似计算):

每辆进口车每公里大修成本=80000/(10×80000)=0.1元

每辆国产车每公里大修成本=2×35000/(10×60000)=0.117元

(5)每公里分摊的购车成本:

1)购买每辆进口货车的经济成本中包括到岸价、银行财务费、外贸手续费、国内运杂费,进口关税、消费税、增值税作为转移支付应剔除:

每辆进口车的到岸价=(6+0.3)×(1+0.2%)×7.5×1.08=51.132万元

银行财务费=6×7.5×0.5%=0.225万元

外贸手续费=(6+0.3)×(1+0.2%)×7.5×1.5%=0.71万元

国内运杂费=6×7.5×2.5%=1.125万元

每辆进口车的经济成本=51.132+0.225+0.71+1.125=53.192万元

每辆进口车每公里分摊车辆购置成本=531920×(A/P,8%,10)/80000

=531920×0.14903/80000

=0.991元/km

2)对于国产车,缴纳的税费作为转移支付不予考虑:

每辆国产车每公里分摊车辆购置成本=300000×(A/P,8%,10)/60000

=300000×0.14903/60000

=0.745元/km

(6)根据题意:

50辆进口车的每公里经济费用=50×(0.36+0.8+0.2+0.1+0.991)=122.55元/km

55辆国产车的每公里经济费用=55×(0.4+0.88+0.15+0.117+0.745)

=126.07元/km

因此,购买50辆进口货车比较合理。

【解题思路】

本题既考核如何计算经济费用,又考核了如何利用指标进行分析评价。该题两个方案达到的效果相同,所以可只考虑经济费用,选择费用较小的方案。此题的重要内容是在项目财务数据基础上经过调整计算货物的经济费用,解题的关键在于明确调整的内容和方法,逐项调整不要遗漏。

第10章 社会评价

投资项目的社会可行性评价是贯彻科学发展观,建设社会主义和谐社会思路的重要体现,根据这一指导原则,投资项目的可行性分析应充分考虑社会、人文因素,通过对拟建项目与周边社会环境的适应性分析,帮助促进项目利益相关方对项目投资活动的有效参与,从而进一步优化项目建设实施方案,规避投资项目社会风险。

【本章结构】

978-7-111-49223-8-Part04-254.jpg

【重点难点】

(1)社会评价的主要方法。

(2)信息收集的主要方法。

(3)重大固定资产投资项目社会稳定风险评估的内容(包括社会稳定风险评估暂行办法及社会稳定风险分析篇章和社会稳定风险评估报告的内容)。

【内容精解】

社会评价是项目评价的重要组成部分,在确定评价目标和范围界定的基础上,通过信息的收集、整理和分析,社会评价应能够对项目建设的主要社会影响进行较为充分的反映,并对如何提高项目相关利益者的参与度、充分发挥项目积极影响和控制减少负面影响提出措施。本章重点对社会评价的目的、信息收集、评价方法和评价报告的编写以及重大项目社会稳定风险评估进行了介绍,由于社会评价内容多以对收集信息数据的定性分析为主,本章单独考大案例的可能性较低,应重点掌握社会评价和信息收集整理的方法,为可能的综合案例考察作准备。

10.1 社会评价概述

概念

(一)定义

社会评价是识别、监测和评价投资项目的各种社会影响,分析当地社会环境对拟建项目的适应性和可接受程度,评价项目的社会可行性,其目的是促进利益相关者对项目投资活动的有效参与,优化项目建设实施方案,规避投资项目的社会风险。

(二)社会评价的目的

社会评价的主要目的是判断项目的社会可行性,评价项目的投资建设和运营活动对社会发展目标所作的贡献。社会发展的目标包括提高人们的教育水平、知识和技能,增进人们的健康,促进社会福利增长,以及公平分配等。

(三)社会评价的特点

1)宏观性和长期性。

2)目标的多样性和复杂性。

3)评价标准的差异性。

(四)社会评价的项目范围

一般包括引发大规模移民征地的项目,以及具有明显社会发展目标的项目。

社会评价的内容及步骤

(一)社会评价的主要内容

社会评价从以人为本的原则出发,研究内容包括:从国家、地区、社区三个层面进行项目的社会影响分析、项目与所在地区的互适性分析和社会风险分析等三个方面。主要评价内容如图10-1所示。

978-7-111-49223-8-Part04-255.jpg

图10-1 社会评价框架

(二)社会评价步骤

社会评价的步骤主要包括:调查社会资料、识别社会因素、论证比选方案。

978-7-111-49223-8-Part04-256.jpg

10.2 社会评价信息的收集

社会评价所需信息

社会评价是以定性分析为主的一种分析方法,因此,信息的收集整理是直接影响评价分析结果的重要环节。

根据社会评价所需信息的特点可以大致分为四类,在项目周期的不同阶段,由于社会评价的侧重点不同,分析所需的信息类别也不一样(表10-1)。

10-1 项目周期不同阶段社会评价所需信息

978-7-111-49223-8-Part04-257.jpg

社会评价信息收集的步骤

社会评价信息收集的步骤如图10-2所示。

978-7-111-49223-8-Part04-258.jpg

图10-2 社会评价信息收集步骤

(一)确定调查对象

调查对象的选定是否恰当,对社会评价工作的成效具有至关重要的影响。

(二)调查方案设计

1)拟定调查提纲。

2)设计调查表。

3)决定调查研究的方式和方法。

4)制订调查计划。

(三)信息的收集整理

(四)信息的分析总结

1)利用统计手段分析研究资料所反映的数量特征。

2)综合应用比较、归纳、推理等方法分析变量间的内在关系,揭示数量特征及含义,得出调查结论。

社会评价信息的收集方法

社会评价信息收集的方法主要包括个人访谈、小组讨论、问卷调查、参与观察及文献资料收集五种。

(一)问卷调查

问卷调查是常用的收集社会文化信息资料的手段,根据问卷设计的特点可以分为半封闭、全封闭两种形式。问卷设计的原则主要包括以下几点:

1)尽量避免使用不确定的、歧义性的、互相重叠和技术性过强的术语,答案应尽可能简短。

2)尽可能避免导向性问题。

3)注意问题的排序具有逻辑性和流畅性。

4)对于敏感性问题,应注意其提问时机和提出方式。

(二)个人访谈

个人访谈是社会信息收集常用的重要方法。个人访谈与问卷调查不同,问卷调查使用正式的问卷,仅限于给定的问题,而个人访谈则不局限于事先预定的问题和问题的先后排列顺序。个人访谈通常分为三种类型:非正式的会话式访谈,重点问题访谈及半封闭型访谈。

个人访谈技巧性很强,调查人员在进行访谈时,应注意以下问题:

(1)初始印象 访谈主持人的外表、气质和谈话方式都应与访谈的气氛相称;语言应该通俗,尽量避免使用行话或不必要的技术术语。

(2)提问顺序 从简单问题开始,从当前问题开始。

(3)提问方式 使问题易于理解,变得具体,使被调查者乐于回答。

(4)访谈引导 正确引导和控制访谈的进程,让被调查者充分表达自己对所提问题的认识和意见。

(5)访谈立场 调查人员既是有心的听众,又是不偏不倚的观察者;避免给所讨论的话题加入自己的态度和好恶;被调查者有权表达自己的观点,调查人员应正确引导其对自己的观点进行淋漓尽致地表达。

(6)访谈记录 访谈的内容应尽可能迅速、完整地记录,整理出来;调查人员应当尽可能地把自己的观点、反应和感觉系统地记录下来。

(三)小组讨论

小组讨论是借助调查者与被调查者之间的讨论交流获取信息的一种互动式信息收集方法,这种方式收集的某些信息要比个人访谈更为精确。按照参与人数的多少,小组讨论可以分为两种:

(1)社区会议 邀请所有社区和村落人员参加的讨论会。

(2)专题讨论会 只是邀请一些细心选择的人员参加(通常由6~10人构成)。

(四)参与观察

参与观察是要求调查人员通过参与到具体的社会实践活动中,对项目的社会环境状况进行直接观察,通常与其他方法结合使用。

(五)文献资料的收集

社会调查一般是从文献调查开始的,通过收集有关的各种文献资料,摘取其中对社会评价有用的信息,为进一步的信息收集作准备。

10.3 社会评价的主要方法

社会评价方法概述

(一)社会评价方法分类

项目涉及的社会因素、社会影响和社会风险不可能用统一的指标、量纲和判据进行评价,因此社会评价应根据项目的具体情况采用灵活的评价方法。

1.定性分析和定量分析

由于分析目标的因素通常较为繁杂且受主观影响较大,因此,社会评价通常采用定量分析与定性分析相结合、指标评价与经验判断相结合的方法。

(1)定性分析方法 即主要采用文字描述为主的形式,详细说明相关的情况、性质、程度、优劣,并据以作出判断或得出结论。定性分析应尽量引用直接或间接的数据,以便更准确地说明问题的性质和影响程度。

(2)定量分析方法 所谓定量分析就是通过一定的数学公式或模型,在调查分析得到的原始数据基础上,计算得出结果并结合一定的标准所进行的分析评价。对于项目评价来说,对大量复杂的社会因素进行定量计算显然难度很大,因此定量分析在社会评价中仅仅是一种辅助方法。

2.初步社会评价和详细社会评价

在项目前期工作阶段,应根据项目研究的深度分别采用初步社会评价和详细社会评价的方法。

(1)初步社会评价 初步社会评价是在预可行性研究阶段进行社会评价常采用的一种简便方法,通过这一方法可大致了解拟建项目所在地区社会环境的基本状况,识别主要影响因素,粗略地预测可能出现的情况及其对项目的影响程度。一般以定性描述和分析为主。主要步骤如下:①识别主要社会因素;②确定利益相关者;③估计接受程度。

(2)详细社会评价 详细社会评价是在初步社会评价的基础上,采用定量与定性分析相结合的方法,结合项目的工程技术方案,进一步研究与项目相关的社会因素和社会影响程度,进行详细论证并预测风险程度,系统地评价社会影响。广泛应用在可行性研究阶段。主要步骤包括:①识别社会因素并排序;②识别利益相关者并排序;③论证当地社会环境对项目的适应程度;④比选优化方案。

(二)社会评价所采用的指标

为准确反映项目的社会效果,社会评价指标应把社会性指标(例如教育、健康、技能开发、信息透明和社会性别等)和经济性指标(例如收入增加、新增就业机会、生产率提高、收入分配等)综合在一起,作为分析项目社会影响及效果的辅助工具。

1.社会评价指标分类

社会评价指标,按照指标值的取得方式及其性质,可分为客观指标和主观指标;按照其衡量的内容和对象不同,可分为核心指标和辅助指标。

(1)客观指标和主观指标 客观指标反映客观社会现象,适用于衡量项目带来的结构变化。主观指标适用于衡量对个人的影响,即他们的福利现状和期望,以及对各种影响的满意程度。

(2)核心指标和辅助指标 核心指标是指能够直接衡量项目的社会影响,特别是衡量受项目影响人群的收入和就业状况,社会服务和当地文化状况,以及项目地区的具体目标人群对项目的看法等内容的重要指标。辅助指标是特定行业的,或与特定项目目标或具体情况相关的其他一般性指标。

2.社会评价指标的特征

对于不同的项目,社会评价具体采用的指标可能不同,但所有项目的社会评价指标具有一些共同的特征:

1)应该是可量化计算的。

2)所依据的信息资料必须是可以得到的,并且是可靠的。

3)指标数据的收集和测算应考虑成本效益因素,经济上必须是可承受的。

4)应能用来反映随时间变化的动态趋势。

5)应有能显示和衡量与弱势群体社会状况改善有关的评价指标。

6)必须对变化反应灵敏,从而能正确反应现实。

7)易为大家所理解并能被使用者所接受。

8)指标体系应具有全面性综合性特征,既反映正面影响,又反映负面影响。

3.社会评价的指标体系

社会评价应以各项社会政策(例如就业政策、分配政策、扶贫政策、社会福利政策和社会保障政策等)为基础,针对国家与地方各项社会发展目标的贡献与影响进行分析评价。表10-2给出一些社会评价指标,在实际运用时可视具体情况有所取舍。

10-2 社会评价指标举例

978-7-111-49223-8-Part04-259.jpg

(续)

978-7-111-49223-8-Part04-260.jpg

常用的社会评价方法

(一)利益相关者分析

利益相关者分析在社会评价中用于辨认项目利益相关群体,分析他们对项目的实施及实现目标的影响。一般按照以下四个步骤进行:

1.识别利益相关者

项目利益相关者一般划分为:①项目受益人;②项目受害人;③项目受影响人;④其他利益相关者,包括项目的建设单位、设计单位、咨询单位、与项目有关的政府部门与非政府组织。他们可能会对项目产生重大的影响,或者对项目能否达到预定目标起着十分重要的作用。

2.分析利益相关者的利益构成

一般应重点分析以下问题:①利益相关者对项目有什么期望?②项目将为他们带来什么样的益处?③项目是否会对他们产生不利影响?④利益相关者拥有什么资源以及他们是否愿意和能够动员这些资源来支持项目的建设?⑤利益相关者有没有与项目预期目标相冲突的任何利害关系?

3.分析利益相关者的重要性和影响力

利益相关者按其重要程度分为主要利益相关者和次要利益相关者。对其影响力及其重要程度主要分析以下内容:①权利和地位的拥有程度;②组织机构的级别;③对战略资源的控制力;④其他非正式的影响力;⑤与其他利益相关者的权利关系;⑥对项目取得成功的重要程度。

4.为主要利益相关者制订参与方案

(二)社区基层参与评价

社区基层参与评价是在项目设计和实施阶段对当地社会情况和利益相关者的态度进行调查,识别所存在的社会问题,促进当地社会成员参与项目实施的一种重要手段,也是沟通项目规划者、实施者和利益相关者的一种重要方式。基本方法就是开展各类访谈。

社区基层参与评价的过程,重点强调以下活动:①通过与当地个人或家庭会面、召开小组讨论会或召开社区会议等方式,就与项目相关的问题展开讨论;②使用各种辅助工具,以便让文化层次较低的社区群众参与到项目中去;③对问题、偏好、财富等进行排序;④采用趋势图表、日常活动表等分析有关社会经济活动的特征及其变动趋势。

(三)多因素综合评价方法

1.矩阵分析总结法

分析步骤:①将各项定量与定性分析指标的单项评价结果列于矩阵表中,对矩阵中所列的各指标进行分析,阐明每个指标对整个项目社会可行性的影响程度;②将一般可行且影响较小的指标逐步排除,重点考察和分析那些对项目影响大而且存在风险的问题,研究说明对其的补偿措施情况;③进行分析和归纳,指出对项目社会可行性具有关键影响的决定性因素,评价项目的社会可行性,并提出规避社会风险的对策措施。

2.多目标加权评价法

分析项目的社会可行性时通常要考虑项目的多个社会因素和目标的实现,并选用多目标决策分析评价的方法,根据定量与定性分析指标的重要程度,进行指标打分和加权计算,得出综合评价的结论。

(四)社会评价中的公众参与方法

1.参与式社会评价方法

(1)参与式方法的概念 参与式方法是通过一系列的方法或措施,促使项目的相关群体介入项目决策、实施、管理和利益分享等过程的一种方法。通过项目所在地相关群体的参与,可以有效提高项目方案的透明度、较少偏差、完善项目方案,并有利于项目正面影响的充分发挥,使当地人从项目的实施中得到收益。

(2)参与式方法的内容 参与式方法包括参与式评价和参与式行动两个方面:

1)参与式评价主要侧重于让利益相关人群充分发挥自己掌握的信息和知识,帮助项目专家补充和完善项目方案,增加项目方案的社会可行性,扩大项目的实施效果。

2)参与式行动侧重于让利益相关人群参与到项目的设计与建设工作,促进项目的顺利建设。

参与式行动与参与式评价最主要的区别是,更侧重于让项目利益相关者在决策和项目实施上发挥作用。

(3)参与式方法的基本理念

1)外部的支持固然重要,但当地人在一般情况下有能力认识和解决自己的问题。

2)每一个人,不论是当地人还是咨询专家,他们都具有自己特有的知识和技能,这些知识和技能在社会经济的发展中都应该同样地得到充分尊重和运用。

3)分享知识,共同决策,共同行动,共同发展。

应用参与式方法时,在行为与态度上,社会评价人员应坚持以下原则:

1)尊重每个人。

2)尊重每个人以及每个群体的知识。

3)站在当地人而不是外来者的角度看问题。

4)理解当地不同人群所面临的困难、问题及需求。

5)还应关注公平、公正、公开等问题,并重视倾听弱势人群的声音;还要注意了解并理解政府的决策过程和决策机制,理解当地人的文化、经济、生活状况。

2.利益相关者的参与机制

(1)参与机制的环节

1)信息交流。属于单向信息流动,如收集项目受益者的数据。

2)磋商。属于双向信息流动,如政府和受益者或受影响群体之间的信息交流。

3)参与过程。如共同进行评价、共同作出决策、在项目规划和实施过程中通力合作。

(2)公众参与的主要形式

1)自主性参与和动员性参与。

2)组织化参与和个体化参与。

3)目标性参与和手段性参与。

4)支持性参与和非理性参与。

5)制度化参与和非制度化参与。

10.4 社会评价报告的编写

社会评价报告编写一般应包括以下重点内容:

(一)报告摘要

主要阐述评价项目的由来,编制社会评价报告的依据、评价范围、主要工作过程、主要结论及建议等。

(二)建设项目概述

主要阐述建设项目的规模、工程技术及产品方案、原材料燃料供应、辅助设施建设、项目建设和运营活动的社会影响范围和途径等。

(三)社会影响范围的界定

根据项目的具体特点及当地的社会经济情况,对社会影响范围及对象进行合理界定。重点包括以下内容:

(1)对项目的社会影响区域进行界定。

(2)对项目影响区域内的目标群体和影响群体进行合理界定。

(3)分析由项目导致的直接社会影响和间接影响。

(4)对项目可能导致的重要影响因素进行合理界定。

(四)社会经济调查

在社会影响范围界定的基础上,阐述对受项目影响的社会环境、经济环境及人文环境进行调查的过程、方法和主要步骤。社会经济调查应重视采用参与式方法,强调通过公众参与,广泛收集相关社会经济状况资料。

(五)利益相关者分析

在社会经济调查的基础上,进行利益相关者分析,为各利益相关者参与项目方案制订、实施管理提出相应的参与方案,以提高项目建设的透明度,避免工程延期或管理方面的冲突。特别是对特定利益相关者要进行重点分析评价。特定利益相关者包括贫困人群、妇女群体、少数民族群体和非自愿移民群体。

(六)减轻负面社会影响的措施方案及其可行性

在对利益相关者社会风险分析评价的基础上,应针对比较重要的风险因素,通过工程规划设计方案的调整和变更,或者采用相应的对策措施,有针对性地提出规避社会风险的措施方案。

措施方案应包括损失估算、补偿标准制定、收入恢复计划、补偿措施、实施进度计划、费用预算等相关内容,并结合社会经济调查及利益相关者分析的结果,对措施方案的可行性进行分析论证。

(七)参与、磋商及协调机制

社会评价报告应结合项目的具体特点,对利益相关者参与社会经济调查、参与补偿措施方案的制订和实施、参与项目的实施管理等活动提出措施建议,对相关的沟通协调、意见反馈、申诉及纠偏机制建立提出措施方案。

(八)监测评价

社会评价重视对项目的实施效果及社会风险规避措施的监测评价。项目业主应根据项目的具体情况,建立内部监测评价的框架机制。对于存在社会风险的可能性较大的项目,还应委托外部机构和专家建立相应的外部监测评价制度。在项目前期论证的社会评价报告中,应对监测评价方案提出明确要求。

(九)主要结论及建议

(十)附件、附图及参考文献

社会评价报告应结合项目的具体情况,在报告正文之后提供有关的附件、附图及参考文献等。

10.5 重大固定资产投资项目社会稳定风险评估

为预防和化解社会矛盾,建立和规范重大固定资产投资项目社会稳定风险评估机制,国家发展改革委于2012年8月16日印发了《国家发展改革委重大固定资产投资项目社会稳定风险评估暂行办法》,并于2013年2月17日制定下发了《重大固定资产投资项目社会稳定风险分析篇章编制大纲及说明(试行)》和《重大固定资产投资项目社会稳定风险评估报告编制大纲及说明(试行)》。

适用的项目范围

国家发展改革委审批、核准或者核报国务院审批、核准的在中华人民共和国境内建设实施的固定资产投资项目(简称“项目”下同)。

社会稳定风险分析及评估的含义

1.社会稳定风险分析

项目单位在组织开展重大项目前期工作时,应当对社会稳定风险进行调查分析,征询相关群众意见,查找并列出风险点、风险发生的可能性及影响程度,提出防范和化解风险的方案措施,提出采取相关措施后的社会稳定风险等级建议。

社会稳定风险分析应当作为项目可行性研究报告、项目申请报告的重要内容并设独立篇章。

2.社会稳定风险评估

由项目所在地人民政府或其有关部门指定的评估主体组织对项目单位作出的社会稳定风险分析开展评估论证,根据实际情况可以采取公示、问卷调查、实地走访和召开座谈会、听证会等多种方式听取各方面意见,分析判断并确定风险等级,提出社会稳定风险评估报告。

3.重大项目社会稳定风险等级

重大项目社会稳定风险等级分为三级:

高风险:大部分群众对项目有意见、反应特别强烈,可能引发大规模群体性事件。

中风险:部分群众对项目有意见、反应强烈,可能引发矛盾冲突。

低风险:多数群众理解支持但少部分人对项目有意见,通过有效工作可防范和化解矛盾。

社会稳定风险分析篇章的内容

包含七个部分:

1)编制依据。

2)风险调查:重点围绕拟建项目建设实施的合法性、合理性、可行性和可控性等方面开展。调查范围应覆盖所涉及地区的利益相关者,充分听取、全面收集群众和各利益相关者的意见。

3)风险识别:针对利益相关者不理解、不认同、不满意、不支持的方面,或在日后可能引发不稳定事件的情形,全面、全程查找并分析可能引发社会稳定风险的各种风险因素。

4)风险估计:找出主要风险因素,采用定性与定量相结合的风险分析方法,估计主要风险因素的风险程度,分析主要因素之间是否相互影响。

5)风险防范和化解措施:根据风险识别和风险估计的结果,研究提出风险防范化解措施。

6)风险等级:分析各项风险防范、化解措施落实的可行性和有效性,预测落实措施后每一个主要风险因素可能引发风险的变化趋势,综合判断拟建项目落实风险防范、化解措施后的风险等级。

7)风险分析结论,包括:①拟建项目主要的风险因素;②主要的风险防范、化解措施;③拟建项目风险等级;④落实风险防范、化解措施的有关建议。

四、社会稳定风险评估报告的内容

(一)评估报告的主要内容

包括:①项目建设实施的合法性、合理性、可行性、可控性;②可能引发的社会稳定风险;③各方面意见及其采纳情况;④风险评估结论和对策建议;⑤风险防范和化解措施以及应急处置预案等。

(二)评估报告编制大纲

1)基本情况:①项目概况;②评估依据;③评估主体;④评估过程和方法。

2)评估内容:①风险调查评估及各方意见采纳情况(评估风险调查的全面性、公众参与的完备性、调查结果的真实性和可信性、补充调查完善相关内容);②风险识别和估计的评估;③风险防范和化解措施的评估;④落实措施后的风险等级确定。

3)评估结论:①拟建项目存在的主要风险因素;②拟建项目合法性、合理性、可行性、可控性评估结论;③拟建项目的风险等级;④拟建项目主要风险防范、化解措施;⑤根据需要提出应急预案和建议。

(三)评估报告的使用

报送项目可行性研究报告、项目申请报告的申报文件中,应当包含对该项目社会稳定风险评估报告的意见,并附社会稳定风险评估报告。

社会稳定风险评估报告是国家发展改革委审批、核准或者核报国务院审批、核准项目的重要依据。评估报告认为项目存在高风险或者中风险的,国家发展改革委不予审批、核准和核报;存在低风险但有可靠防控措施的,国家发展改革委可以审批、核准或者核报国务院审批、核准,并应在批复文件中对有关方面提出切实落实防范、化解风险措施的要求。

【专家点评】

本章经常考核定性案例,以小问题的形式出现,比较简单;重点是理解社会评价的概念、内容和目的,掌握几种常用的社会评价方法及其含义,熟悉公众参与的主要形式。尤其要重点复习社会稳定风险分析与评估的内容。

2008年考核了社会评价的内容和利益相关者分析;2010年考核了详细社会评价的内容;2012年考核的是个人访谈法的要求,社会评价报告中减轻社会负面影响的措施方案应包括的内容;2013年考核了重大固定资产投资项目社会稳定风险评估暂行办法的有关规定;2014年考核的是详细社会评价中社会因素分组排序的依据。

练习题

1.为了体现民主决策,某市政府要求采用参与式方法,征求有关社会成员对当地市政建设规划方案的意见。组织者对参与人员提出如下要求:

(1)尽可能邀请更多的工程建设方面的咨询专家参与。

(2)要求参与者应具备本科以上学历,以提高意见的专业性。

(3)要求参与者以普通话作为交流语言,以便提高沟通效率。

(4)应以当地人的角度来分析当地人面临的困难和需求。

【问题】 在参与式评价中,组织者对参与人员提出的要求哪些符合参与式评价理念?哪些不符合?

2.咨询人员经过对某公益性项目进行初步社会评价后,判断项目地区居民无法从以往的发展项目中受益,需要进一步进行详细社会评价。

【问题】 详细社会评价应如何进行?

3.某项目位于国家重点扶持的西部某贫困地区。为了尽快完成脱贫任务,本项目提出要进行水土优化结合的异地移民开发扶贫工程,从改变恶劣的生存条件入手,把水利灌溉与扶贫结合起来,以灌溉工程为基础,通过大规模移民解决贫困问题,从根本上改变当地贫困人口的生存条件,加快该地区经济、社会发展步伐。

项目主管部门委托咨询单位做了如下工作:

(1)组织了经济、环保、水利、社会等有关专家进行座谈,专家深入全面分析了该项目对社会带来的影响,认为该项目的建设,能够促进本地区经济社会的发展,提高当地居民的物质生活水平。

(2)通过问卷调查,向当地居民征求意见,结果发现,有85%的被调查者认为该项目的建设有利于当地经济的发展,10%的被调查者认为该项目会对当地的生态环境会带来严重不良影响,从而会阻碍当地经济的发展,5%的被调查者认为该项目建设与否没什么区别。

(3)随后又组织了由当地居民、政府部门等利益相关者参加的讨论会,会上大家交流了意见和看法。

主管部门认为该项目需报国家发展改革委审批,故指定另一家咨询单位对项目进行了社会稳定风险评估,提出了社会稳定风险评估报告。

【问题】

(1)该案例中用到了哪些社会评价信息的调查与收集方法?还有哪些方法没有用到?

(2)该项目的社会稳定风险评估报告包括哪些内容?

参考答案

1.从参与式方法的基本理念,以及组织者的行为与态度上,提出的要求(4)是符合的,(1)、(2)、(3)是不符合的。

点评:参照上文,参与式方法的理念是:①外部的支持固然重要,但当地人在一般情况下有能力认识和解决自己的问题;②不论是当地人还是咨询专家,他们的知识和技能都应该同样地得到充分尊重和运用。在行为与态度上,社会评价人员应坚持的原则有:①尊重每个人;②尊重每个人以及每个群体的知识;③站在当地人而不是外来者的角度看问题;④理解当地不同人群所面临的困难、问题及需求。

从上述内容来看,参与式方法就是要求听取不同利益相关者的意见,尊重每个人及其拥有的知识,所以邀请更多的外部支持、提出学历要求和语言要求显然是强加了外在限制条件。

2.详细社会评价的步骤包括:①识别社会因素并排序;②识别利益相关者并排序;③论证当地社会环境对项目的适应程度;④比选优化方案。

【点评】 注意初步社会评价与详细社会评价的联系和区别。

3.(1)1)用到了小组讨论法中的专题讨论会和社区会议,还有问卷调查法。

2)其他方法还有个人访谈、参与观察、文献资料收集法。

(2)该项目的社会稳定风险评估报告的主要内容有:

①项目建设实施的合法性、合理性、可行性、可控性;②可能引发的社会稳定风险;③各方面意见及其采纳情况;④风险评估结论和对策建议;⑤风险防范和化解措施以及应急处置预案等。

第11章 不确定性分析与风险分析

尽管投资项目的前期工作已经进行了详见的预测、分析和研究,但是由于多种因素的不确定性导致了项目面临多种风险,需要进行不确定性分析和风险分析。本章以不确定性分析和风险分析的内容和方法为主进行重点讲解,关联的相关基础知识作简单介绍,可参阅参考教材《项目决策分析与评价》第13章或《建设项目经济评价方法与参数》(第3版)的相关内容。

【本章结构】

978-7-111-49223-8-Part04-261.jpg

【重点难点】

(1)风险评价矩阵。

(2)专家调查法。

(3)风险概率分布。

(4)概率树分析。

(5)蒙特卡洛模拟。

【内容精解】

项目决策分析和评价的各项工作都是预测和假定,因而具有不确定性,正是由于不确定性的存在导致风险的发生,所以需要进行不确定性分析找出最敏感的因素及其临界点,进而通过风险分析揭示影响项目目标的关键风险因素,制订风险对策,合理规避不利影响,提高项目的社会和经济效益。

依据大纲,本章重点讲解敏感性分析的内容和方法,线性盈亏平衡分析的内容、条件和方法,风险分析的内容和方法。本章侧重决策阶段的风险分析,本书第三部分第4章工程项目风险管理侧重项目实施阶段的风险分析。

11.1 不确定性分析与风险分析的区别与联系

不确定性与风险的概念

不确定性是指某一事件在未来可能发生,也可能不发生,其发生的可能性或概率是未知的;而风险是指某一事件发生的可能性及对目标产生影响的大小,其发生的可能性是可知的。所以风险是介于确定性和不确定性之间的一种状态。由此,产生了未知概率的不确定性分析和基于概率的风险分析两种决策分析方法。

不确定性分析与风险分析的区别与联系

不确定性分析是通过对拟建项目的主要不确定性因素进行分析,计算基本变量的增减变化引起的项目财务或经济效益指标的变化,找出最敏感的因素及其临界点;风险分析则是通过对风险因素的识别,采用定性或定量的方法估计风险因素发生的可能性及对项目的影响程度,揭示影响项目成败的关键风险因素,提出风险对策,为投资决策服务。

(一)不确定性分析与风险分析的作用

投资项目的决策分析与评价旨在为投资决策服务,如果忽视不确定性与风险的存在,仅仅依据基本方案的预测结果,可能会给投资者带来巨大损失。因此,需要在项目决策分析阶段进行不确定性分析与风险分析,正确地认识到相关的风险,并在实施过程中加以控制,从而降低和防范大部分不确定性和风险因素的影响。主要作用有:

1)有助于在可行性研究的过程中,改进或优化项目设计方案,直接起到降低项目风险的作用,避免因忽视风险而导致决策失误。

2)充分利用风险分析的成果,建立风险管理系统,有助于为项目全过程风险管理打下基础,防范和规避项目实施和经营中的风险。

风险分析应贯穿于项目决策分析与评价的各个环节和全过程,作为一种系统分析方法来使用,不仅仅局限在市场分析或财务分析或经济分析等某些环节。

(二)不确定性分析与风险分析的区别与联系

不确定性分析与风险分析的区别与联系见表11-1。

11-1 不确定性分析与风险分析的区别与联系

978-7-111-49223-8-Part04-262.jpg

(续)

978-7-111-49223-8-Part04-263.jpg

11.2 不确定性分析

不确定性分析的主要方法有敏感性分析和盈亏平衡分析。

敏感性分析

(一)敏感性分析的内容

敏感性分析用以考察项目涉及的各种不确定因素对项目基本方案经济评价指标的影响,通过计算敏感度系数和临界点,估计项目效益指标对它们的敏感程度,找出关键敏感因素,粗略预测项目可能承担的风险,为进一步的风险分析打下基础。

敏感性分析包括单因素敏感性分析和多因素敏感性分析。单因素敏感性分析是指每次只改变一个因素的数值来进行分析,估算单个因素的变化对项目效益产生的影响;多因素分析则是同时改变两个或两个以上因素进行分析,估算多因素同时发生变化对项目效益产生的影响。为了找出关键的敏感性因素,通常多进行单因素敏感性分析。

注意:敏感性分析对项目财务分析和经济分析同样适用。

(二)敏感性分析的方法与步骤

1.选定不确定因素

不需要也不可能对所有因素都进行分析,只是对那些可能对项目效益影响较大且重要的不确定因素进行分析,通常包括建设投资、产出物价格、主要投入物价格或可变成本、运营负荷、建设期以及人民币汇率等,根据项目的具体情况也可选择其他因素。

2.确定不确定因素的变化程度

一般是选择不确定因素变化的百分率,习惯上常选取±10%。为了绘制敏感性分析图的需要,可分别选取±5%、±10%、±15%、±20%等。对于那些不便用百分率表示的因素,例如建设期,可采用延长时间的方式表示。

注意:百分率的取值并不重要,我们不是用来考察项目效益会发生多少变化,而主要是用来进一步计算敏感性系数和临界点。

3.选取分析指标

通常财务分析与评价的敏感性分析中必选的分析指标是项目投资财务内部收益率;经济分析与评价中必选的分析指标是经济内部收益率。净现值、投资回收期等评价指标也可以,必要时可同时针对两个或两个以上的指标进行敏感性分析。

4.计算敏感性指标

(1)敏感度系数 敏感度系数是项目效益指标变化的百分率与不确定因素变化的百分率之比。敏感度系数高,表示项目效益对该不确定因素敏感程度高。计算公式为

978-7-111-49223-8-Part04-264.jpg

式中 E——评价指标A对于不确定因素F的敏感度系数;

ΔF/F——不确定因素F的变化率(%);

ΔA/A——不确定因素F发生ΔF变化时,评价指标A的相应变化率(%)。

E>0,表示评价指标与不确定因素同方向变化;E<0,表示评价指标与不确定因素反方向变化;|E|较大者敏感度系数高,项目对该因素较为敏感。

(2)临界点 临界点是指不确定性因素的变化使项目由可行变为不可行的临界数值。临界点可以用百分率表示也可用百分率对应的具体数值表示。

临界点的高低与设定的基准收益率有关,对于同一个投资项目,设定的基准收益率提高,临界点就会变低;而在一定的基准收益率下,临界点越低,说明该因素对项目评价指标影响越大,项目对该因素就越敏感。

临界点可以使用试插法或计算机软件来求得,也可以通过敏感性分析图求得,后者由于项目评价指标的变化与不确定因素的变化之间不是直线关系,有时误差较大。

5.敏感性分析结果的表述

(1)编制敏感性分析表 将敏感性分析的结果进行汇总,编制敏感性分析表(见表11-2);编制各不确定因素的敏感度系数与临界点分析表(见表11-3)。两者也可合并成一张表。

(2)绘制敏感性分析图 根据敏感性分析表中的数值可以绘制敏感性分析图,如图11-1所示。横轴为不确定因素变化率,纵轴为项目评价指标。图中曲线可以明确表明项目评价指标变化受不确定因素变化的影响趋势,并由此粗略求出临界点。

6.敏感性分析结果的应用

应对敏感性分析表和敏感性分析图显示的结果进行文字说明,将不确定因素变化后计算的经济评价指标与基本方案的评价指标进行对比分析,主要有以下工作:

1)结合敏感度系数及临界点的计算结果,按不确定因素的敏感程度进行排序,找出那些较为敏感的不确定因素。

2)定性分析临界点所表示的不确定因素变化发生的可能性。依据前几章的分析研究,结合经验判断,说明某种不确定因素是否有可能发生临界点表示的变化,并作出风险的粗略估计。

3)归纳敏感性分析的结论,指出最敏感的一个或几个关键因素,粗略预测项目可能的风险。如果项目不系统地进行风险分析,可根据敏感性分析结果提出减轻不确定因素影响的措施。

(三)敏感性分析的不足

敏感性分析虽然能粗略地估计不确定因素对项目效益的影响程度,但其最大的不足是不能得知这些影响发生的可能性。要估计风险发生的可能性必须进行风险分析。

【例11-1】 某项目进行敏感性分析,建设投资、经营成本、销售价格等数据来源于预测,具有一定的不确定性,其发生变化对所得税后项目投资财务内部收益率(FIRR)的影响程度见表11-2。请粗略估计各因素变化的临界点(基准收益率取8%)。

11-2 所得税后FIRR敏感性分析表

978-7-111-49223-8-Part04-265.jpg

11-3 敏感度系数和临界点分析表

978-7-111-49223-8-Part04-266.jpg

【问题】(1)根据所给数据计算敏感度系数(仅计算变化率为±10%的情况),填入表11-3中,并对结果进行分析。

(2)根据敏感性分析表绘制敏感性分析图,并粗略估计临界点,填入表11-3中,并对结果进行分析。

【解答】(1)以建设投资增加10%和产品价格增加10%为例,说明敏感度系数的计算。

建设投资增加10%时:

ΔA/A=(27.16%-29.26%)/29.26%=-0.0718

E=-0.0718/0.1=-0.718,敏感度系数为负,说明建设投资增加导致FIRR降低。

销售价格增加10%时:

ΔA/A=(37.41%-29.26%)/29.26%=0.2785

E=0.2785/0.1=2.785,敏感度系数为正,说明销售价格增加导致FIRR提高。

经计算所有数据列入表11-3中,比较所有敏感度系数的绝对值,可以看出E较大,说明销售价格与建设投资、经营成本相比对FIRR的影响程度更大,也就是说项目效益对销售价格变化的敏感程度高于建设投资和经营成本。

(2)根据表11-2的数据粗略地绘制敏感性分析图如图11-1所示。

978-7-111-49223-8-Part04-267.jpg

图11-1 敏感性分析图

图11-1中共有四条FIRR随不确定因素的变化曲线,其中水平线为基准收益率线。每条曲线分别代表内部收益率随着各种不确定因素变动而发生的变化。以销售价格为例,当销售价格提高时,FIRR随之提高,而销售价格降低时,FIRR随之降低。FIRR随销售价格的变化曲线与基准收益率线相交的交点即为销售价格变化的临界点,用该点对应的不确定因素的变化率表示。用该变化率换算的不确定因素的变化数值称为临界值。可以看出,销售价格降低的临界点约为22.5%,说明在基准收益率为8%时允许销售价格降低的极限是22.5%。依次类推,经营成本增加的临界点约33%,建设投资增加的临界点超过100%(建设投资影响小,这里简单估算它的临界点)。

盈亏平衡分析

(一)盈亏平衡分析的概念、作用与条件

1.盈亏平衡分析的定义

盈亏平衡分析是研究分析成本费用与收入平衡关系的一种方法,根据达到设计生产能力时的成本费用与收入数据,求取盈亏平衡点,在这一点上刚好盈亏平衡。

注意:盈亏平衡的含义是销售收入扣除销售税金与附加后等于总成本费用。

盈亏平衡分析可以分为线性盈亏平衡分析和非线性盈亏平衡分析,投资项目决策分析与评价中一般仅进行线性盈亏平衡分析。

投资项目决策分析与评价中常用产量和生产能力利用率来表示盈亏平衡点,也可采用产品售价表示。

2.盈亏平衡分析的作用

通过盈亏平衡分析可以找出盈亏平衡点,考察企业(或项目)对产出品变化的适应能力和抗风险能力。盈亏平衡分析只适宜在财务分析与评价中应用。

3.线性盈亏平衡分析的条件

1)产量(扣除自用量)等于销售量。

2)总成本费用是产量的线性函数:产量变、单位可变成本不变。

3)销售收入是销售量的线性函数:产量变、售价不变。

4)只生产单一产品,或者生产多种产品,但可以换算为单一产品计算。

(二)盈亏平衡点的求取方法

1.公式计算法

1)BEP(生产能力利用率)=年总固定成本/(年销售收入-年总可变成本-年销售税金及附加)×100%

2)BEP(产量)=年总固定成本/(单位产品价格-单位产品可变成本-单位产品销售税金及附加)

=BEP(生产能力利用率)×设计生产能力

3)BEP(售价)=(年总固定成本/设计生产能力)+单位产品可变成本+单位产品销售税金及附加

注意:产量和生产能力利用率表示的盈亏平衡点越低,表明企业适应市场需求变化的能力越大、抗风险能力越强;售价表示的盈亏平衡点越低,表明企业适应市场价格下降的能力越大、抗风险能力越强。上述计算公式中,如果采用含税价格计算,1)、2)中应分别扣除年增值税、单位产品增值税,3)中应加上单位产品增值税。

2.图解法

销售收入线与总成本费用线的交点即为盈亏平衡点,这一点所对应的产量即为BEP(产量),也可换算为BEP(生产能力利用率)(图11-2)。

978-7-111-49223-8-Part04-268.jpg

图11-2 盈亏平衡分析图

(三)盈亏平衡分析的注意要点

1)盈亏平衡点应按项目达产年份的数据计算,不能按计算期内的平均值计算。

2)当计算期内各年数值不同时,最好按还款期间和还完借款以后的年份分别计算。最好选择还款期间的第一个达产年和还完借款以后的年份分别计算,以便分别给出最高的盈亏平衡点和最低的盈亏平衡点。

11.3 风险分析

与本书第三部分第4章讲到的风险管理的主要任务是一致的,只是表述有些不同,侧重点不同,本章的内容主要针对决策阶段的风险而言。项目风险分析包括风险识别、风险估计、风险评价与风险对策研究四个基本阶段,实质上是从定性分析到定量分析,再从定量分析到定性分析的过程。

概述

第三部分第4章提到风险量的概念,可以用二元函数Rpq)=p×q来表示,p表示风险事件发生的概率,q表示风险事件对项目目标的影响。

(一)风险分析的基础

1.风险概率

通常风险概率可划分为五个档次:

(1)很高 风险很有可能发生,概率在81%~100%,用S表示。

(2)较高 风险发生的可能性较大,概率在61%~80%,用H表示。

(3)中等 风险可能在项目中预期发生,概率在41%~60%,用M表示。

(4)较低 风险不可能发生,概率在21%~40%,用L表示。

(5)很低 风险非常不可能发生,概率在0~20%,用N表示。

2.风险影响

也可以划分为五个影响等级:

(1)严重影响 风险一旦发生,将导致整个项目的目标失败,用S表示。

(2)较大影响 风险一旦发生,将导致整个项目的目标值严重下降,用H表示。

(3)中等影响 风险一旦发生,造成中度影响,一部分项目目标能够达到,用M表示。

(4)较小影响 风险一旦发生,对应部分的项目目标受到影响,但不影响整体目标,用L表示。

(5)可忽略影响 风险一旦发生,对项目目标的影响可忽略,用N表示。

3.风险评价矩阵

上述内容构成了风险评价矩阵,也称概率—影响矩阵,以风险事件发生的概率为横坐标,以风险事件发生后对项目的影响大小为纵坐标,用来表示风险的大小,如图11-3所示。

978-7-111-49223-8-Part04-269.jpg

图11-3 风险概率—风险影响矩阵

图中发生概率大且对项目影响也大的风险因素位于矩阵的右上角,发生概率小且对项目影响也小的风险因素位于矩阵的左下角。这样将风险划分成了五个等级。

4.风险等级

采用风险评价矩阵方法,将风险程度分为微小风险、较小风险、一般风险、较大风险和重大风险五个等级,如图11-3所示:

(1)微小风险 图中的N区域,风险发生的可能性很小、发生后造成的损失较小、对项目的影响很小,可忽略。

(2)较小风险 L区域,风险发生的可能性较小或者发生后造成的损失较小,不影响项目的可行性。

(3)一般风险 M区域,风险发生的可能性不大或者发生后造成的损失不大,一般不影响项目的可行性,但应采取一定的防范措施。

(4)较大风险 H区域,风险发生的可能性较大或者发生后造成的损失较大,但造成的损失是项目可以承受的,必须采取一定的防范措施。

(5)重大风险 S区域,风险发生的可能性大、风险造成的损失大,将使项目由可行转变为不可行,需要采取积极有效的防范措施或放弃项目。

(二)投资项目决策阶段的主要风险

1.市场风险

市场风险是竞争性项目常遇到的重要风险,造成的损失表现在产量和销售收入达不到预期的目标。主要因素有:消费者的消费习惯、消费偏好发生变化,使市场需求发生重大变化;市场预测方法或数据错误,导致市场需求分析出现重大偏差;竞争对手的竞争策略调整,市场竞争格局发生重大变化;项目产品和主要原材料的供应条件和价格发生较大变化,对项目的效益产生了重大影响。

2.技术与工程风险

可行性研究阶段应考虑的技术方面的风险因素主要有:引进技术的先进性、可靠性、适用性和经济性与原方案发生重大变化,导致项目不能按期进入正常生产状态,或生产能力利用率降低,达不到设计要求,或生产成本提高,产品质量达不到要求等。

特别是高新技术开发项目这方面的风险更大。对于引进国外二手设备的项目,设备的性能能否如愿是应认真分析的风险因素;另外,工艺技术与原料的匹配问题也是应考察的风险因素。对于矿山、铁路、港口、水库以及部分加工业项目,在地质情况复杂的地区,应慎重对待工程地质风险因素。

3.组织管理风险

管理风险是指由于项目组织结构不当、管理机制不完善或主要管理者能力不足等,导致项目不能按期建成,投资超出预算;或在项目投产后,未能制订有效的企业竞争策略,导致失败。

组织风险是指由于项目存在众多参与方,各方的动机和目的不一致将导致项目合作的风险,还包括项目组织内部各部门对项目的理解、态度和行动的不一致而产生的风险。

4.政策风险

政策风险主要指国内外政治经济条件发生重大变化或者政府政策调整,项目原定目标难以实现所造成的损失。

5.环境与社会风险

外部环境因素包括自然环境和社会环境因素,主要是由于项目选址不当,项目对社区影响、生态环境影响分析不足,或者项目环保措施不当,项目建成后可能对社区和生态环境带来严重影响,导致社区居民和社会的反对,造成直接经济损失。

6.其他风险

如矿山、油气开采等资源开发项目,资源风险很重要;对于投资巨大的项目,还存在融资风险;大量消耗原材料和燃料的项目,还存在原材料供应量、价格和运输保障三个方面的风险;在水资源短缺地区建设项目,水资源风险因素应予重视;对于中外合资项目,要考虑合资对象的法人资格和资信问题,还有合作的协调性问题;对于农业投资项目,还要考虑因气候、土壤、水利等条件的变化对收成造成的不利影响。

注意:上面列举的风险因素并非能涵盖所有投资项目的全部风险因素,也并非每个投资项目都同时存在这么多风险因素,要根据项目具体情况予以识别。

风险分析的内容

(一)风险识别

风险识别是风险分析的基础,主要是通过对风险特征的充分认识,识别项目潜在的风险和引起这些风险的具体风险因素,为进一步的风险评估和风险对策研究提供基础。

风险识别遵循分解原则,把综合性的风险分解为多层次的风险因素。常用的方法主要有风险分解法、流程图法、头脑风暴法和情景分析法等。具体操作中,大多通过专家调查的方式完成。

(二)风险估计

风险估计是在风险识别后,通过定量分析方法测定风险发生的可能性及其对项目的影响。投资项目涉及的风险因素有些是可以量化的,同时客观上也存在着许多不可量化的风险因素,因此风险估计应采取定性描述与定量分析相结合的方法,对项目面临的风险作出全面的估计。

风险估计的方法包括风险概率估计方法和风险影响估计方法,前者主要分为主观估计和客观估计,后者有概率树分析、蒙特卡洛模拟等方法。

(三)风险评价

风险评价是在风险估计的基础上,通过相应的指标体系和评价标准,对项目风险程度分级排序,从而找到项目的关键风险因素,确定项目的整体风险水平,以便采取防范措施。风险评价包括单因素评价和整体风险评价。

单因素风险评价,即评价单个风险因素对项目的影响程度,以找出影响项目的关键风险因素,评价方法主要有风险概率矩阵、专家评价法等;项目整体风险评价,即综合评价若干主要风险因素对项目整体的影响程度(对于重大投资项目或估计风险很大的项目,应进行投资项目整体风险分析)。

(四)风险对策研究

在项目的决策、实施和经营的全过程都应该实施风险管理(第三部分第4章已经提及),投资项目决策前的可行性研究阶段的风险对策研究是整个项目风险管理的重要组成部分。

1.对策研究的基本要求

1)风险对策研究应贯穿于可行性研究的全过程。

2)风险对策应具有针对性。针对特定项目主要的或关键的风险因素提出必要的措施,将其影响降低到最小程度。

3)风险对策应具有可行性。不仅技术上可行,且从财力、人力和物力方面也可行。

4)风险对策必须具有经济性。应将规避防范风险措施所付出的代价与该风险可能造成的损失进行权衡,寻求以最少的费用获取最大的风险效益。

5)风险对策研究是项目有关各方的共同任务。风险对策研究不仅有助于避免决策失误而且是项目实施和经营中风险管理的基础。

2.常用的风险对策

(1)风险回避 风险回避是断绝风险的来源,彻底规避风险的一种做法。对投资项目可行性研究而言,往往意味着提出推迟或否决项目的建议。该对策的采用应该慎重,一般适用于以下两种情况:某种风险可能造成相当大的损失,且发生的可能性较高;应用其他风险对策防范风险代价昂贵,得不偿失。

(2)风险减轻 风险减轻是针对可控性风险采取的降低风险发生、减少风险损失的对策,也是绝大部分项目应用的主要风险对策。

风险减轻措施必须针对项目具体情况提出,既可以是项目内部采取的技术措施、工程措施和管理措施等,也可以采取向外分散、与其他各方共担风险的方式来减少项目承担的风险。

(3)风险转移 风险转移是将项目业主可能面临的风险转移给他人承担,以避免风险损失的一种方法。有两种方式:一是将风险源转移出去,如把项目全部或风险大的部分转给他人;二是只把部分或全部风险损失转移出去,包括保险转移方式和非保险转移方式两种。

保险转移是采取向保险公司投保的方式将项目风险损失转嫁给保险公司承担;非保险转移方式是项目前期工作较多采用的风险对策,例如在技术合同谈判中提出保证性条款。

(4)风险接受 风险接受是将风险损失留给项目业主自己独立承担。适用于两种情况:一是已知有风险但由于可能获利而需要冒险时,同时无法采取其他对策,必须保留和承担这种风险;另一种情况是已知有风险,但若采取某种风险措施,其费用支出会大于自担风险的损失时,常常主动自担风险。

注意:实践中以上风险对策常常是组合使用的。

风险分析的主要方法

(一)风险解析法

风险解析法,也称风险结构分解法,是风险识别的主要方法之一,它是将一个复杂系统分解为若干子系统进行分析的常用方法,通过对子系统的分析进而把握整个系统的特征。例如,我们可以将市场风险解析成如图11-4所示。

978-7-111-49223-8-Part04-270.jpg

图11-4 市场风险解析图

(二)专家调查法

专家调查法是基于专家的知识、经验和直觉,通过发函、开会或其他形式向专家进行调查,将多位专家的经验集中起来形成分析结论,从而发现项目潜在风险,对项目风险因素及其风险大小进行评定的一种方法,它适用于风险分析的全过程。

采用专家调查法时,所聘请的专家应熟悉该行业和所评估的风险因素,并能做到客观公正。为减少主观性,专家人数一般应在10~20位。

专家调查法有很多,如头脑风暴法、德尔菲法、风险识别调查表、风险对照检查表和风险评价表等,前两者在第四部分第1章进行了有关介绍,这里只介绍后三种方法。

1.风险识别调查表

该表主要定性描述风险的来源与类型、风险特征、对项目目标的影响等。

2.风险对照检查表

该表是一种规范化的定性风险分析工具,具有系统、全面、简单、快捷、高效等优点。容易集中专家的智慧和意见,不容易遗漏主要风险;能启发和开拓风险分析人员的思路。

对照检查表的设计和确定需要大量类似项目的数据,而新项目或完全不同环境下的项目应用此法则偏差较大。国际上许多项目管理组织如美国项目管理学会、欧洲国际项目管理协会等都制定了规范的风险清单,大大提高了风险识别的工作效率。

3.风险评价表

风险评价表是通过专家凭借经验独立地对各类风险因素的风险程度进行评价,最后将各位专家的意见归集起来。风险评价表通常的格式见表11-4,表中风险种类应随行业和项目特点而异,其层次可视情况细分,同时重在说明,说明中应对程度判定的理由进行描述,并尽可能明确最悲观情况及其发生的可能性。

11-4 风险评价表示例

978-7-111-49223-8-Part04-271.jpg

(三)风险概率估计

风险概率估计,包括客观概率估计和主观概率估计。在项目评价中,风险概率估计较常用正态分布、三角形分布、贝塔分布等概率分布形式,由项目评价人员或专家估计。

1.客观概率估计

客观概率是实际发生的概率,并不取决于人的主观意志,可以根据历史统计数据或是大量的试验来推定,有两种方法:一是将一个事件分解为若干子事件,通过计算子事件的概率来获得主要事件的概率;另一方法是通过足够多的试验,统计出事件的概率。

应用客观概率对项目风险进行的估计称为客观估计,它利用同一事件的历史数据,或是类似事件的数据资料,计算出客观概率。该方法只能用于完全可重复事件,因而并不适用于大部分现实事件,其最大缺点是需要足够的信息,但通常是做不到的。

2.主观概率估计

主观概率是基于个人经验、预感或直觉而估算出来的概率,是一种个人的主观判断。当有效统计数据不足或是不可能进行试验时,主观概率是唯一选择。基于经验、知识或类似事件比较的专家推断概率可看做是一种主观估计(可认为是专家调查法在风险分析中的应用)。主观概率的专家估计的具体步骤如下:

1)根据需要调查问题的性质组成专家组。专家组成员由熟悉该风险因素的现状和发展趋势的专家、有经验的工作人员组成。

2)查某一变量可能出现的状态数和各种状态出现的概率,或可能的状态范围和变量在状态范围内的概率,由每个专家独立使用书面形式反映出来。

3)整理专家组成员的意见,计算专家意见的期望值和意见分歧情况,反馈给专家组。

4)专家组讨论并分析意见分歧的原因。由专家组成员重复进行背靠背的独立估计,直至专家意见分歧程度满足要求值为止。这个循环过程最多经历三次,否则会引起专家的厌烦而不利于获得真实意见。

3.风险概率分布

(1)离散型概率分布 当输入变量可能值是有限个数,称这种随机变量为离散型随机变量。如产品市场销售量可能存在低、中、高三种状态,即可认为是离散型随机变量。

(2)连续型概率分布 当输入变量的取值充满一个区间,无法按一定次序一一列举出来时,称这种随机变量为连续型随机变量。如市场需求量在某一数量范围内,存在无限多个可能,这时即可认为是连续型随机变量,它的概率分布用概率密度和分布函数表示,常用的连续概率分布有:

1)正态分布。正态分布是一种最常用的概率分布,适用于描述一般经济变量的概率分布,如销售量、售价、产品成本等。其特点是密度函数以均值为中心对称分布,如图11-5所示。其均值为978-7-111-49223-8-Part04-272.jpg,方差为σ2,用N978-7-111-49223-8-Part04-273.jpgσ)表示。当978-7-111-49223-8-Part04-274.jpg=0,σ=1时,称为标准正态分布,用N(0,1)表示。

2)三角形分布。其特点是密度数是由最悲观值、最可能值和最乐观值构成的对称的或不对称的三角形,如图11-6所示。适用于描述工期、投资等不对称分布的输入变量,也可用于描述产量、成本等对称分布的输入变量。

3)β分布。其特点是密度函数为在最大值两边的不对称分布,如图11-7所示,适用于描述工期等不对称分布的变量。

978-7-111-49223-8-Part04-275.jpg

图11-5 正态分布概率密度图

978-7-111-49223-8-Part04-276.jpg

图11-6 三角形分布概率密度图

4)经验分布。其密度函数并不适合于某些标准的概率函数,可根据统计资料及主观经验估计形成非标准概率分布,它适合于项目评价中的所有各种变量。

978-7-111-49223-8-Part04-277.jpg

图11-7 β分布概率密度图

(3)风险概率分析指标 描述风险概率分布的指标主要有期望值、方差、标准差、离散系数等。

1)期望值 是风险变量的加权平均值。对于离散型风险变量,期望值为

978-7-111-49223-8-Part04-278.jpg

其中 n——风险变量的状态数;

xi——风险变量的第i种状态下变量的值;

pi——风险变量的第i种状态出现的概率。对于等概率的离散随机变量,其期望值为978-7-111-49223-8-Part04-279.jpg

2)方差和标准差 都是描述风险变量偏离期望值程度的绝对指标。对于离散变量,方差S2

978-7-111-49223-8-Part04-280.jpg

方差的平方根为标准差,计为S。

对于等概率的离散随机变量,方差为978-7-111-49223-8-Part04-281.jpg

n足够大(通常n大于30)时,可以近似为978-7-111-49223-8-Part04-282.jpg

3)离散系数 是描述风险变量偏离期望值的离散程度的相对指标,计为β978-7-111-49223-8-Part04-283.jpg

【例11-2】 专家估计理想状态下某产品的年利润服从正态分布,8位专家对利润额可能出现的状态范围及概率进行估计,调查结果见表11-5。

【问题】 (1)计算专家估计值的期望值及期望值的方差、标准差和离散系数。

(2)计算利润额的正态分布指标。

【解答】 (1)首先计算专家估计值的期望值和期望值的方差、标准差和离散系数。

978-7-111-49223-8-Part04-284.jpg

11-5 专家估计调查意见表

978-7-111-49223-8-Part04-285.jpg

(2)其次,计算各专家估计的正态分布的标准差σ

以第1位专家估计值为例,认为利润额在5~15百万元范围内的概率为95%,即在该范围之外的概率为5%。如图11-8所示,利润额小于5百万元的概率为2.5%,大于15百万元的概率为2.5%,也即是利润额大于5百万元的累计概率为0.975。

任一正态分布的概率计算都可转换为标准正态分布来计算,公式为978-7-111-49223-8-Part04-286.jpg,其中μ为期望值,σ为标准差,P表示概率。

978-7-111-49223-8-Part04-287.jpg

图11-8 正态分布概率估计图

通过查标准正态分布函数表,对应0.975的x值为1.96,则:978-7-111-49223-8-Part04-288.jpg

依此类推,可计算8位专家对该项目利润额的期望值与标准差的估计值,见表11-6。

11-6 专家估计分析表

978-7-111-49223-8-Part04-289.jpg

从表11-6可计算各专家估计的正态分布的标准差的平均值为3.026。

(3)因此,产品价格的概率分布服从期望值为10、标准差为3.026的正态分布。

(四)概率树分析

概率树分析是假定风险变量之间是相互独立的,在构造概率树的基础上,分析判断每个风险变量的各种状态取值,分别计算每种组合状态下的评价指标值及相应的概率,得到评价指标的概率分布,并统计出评价指标值低于或高于基准值的累计概率,同时计算评价指标值的期望值、方差、标准差和离散系数。还可以绘制以评价指标为横轴,累计概率为纵轴的累计概率曲线。

概率树分析的计算方法一般只使用于服从离散分布的输入与输出变量(这里的输入变量就是指风险变量)。计算步骤如下:

1)通过敏感性分析,确定风险变量;判断风险变量可能发生的状态。

设风险变量有ABC、…N,变量之间相互独立;各风险变量可能发生的状态有:

978-7-111-49223-8-Part04-290.jpg

2)确定每种状态可能发生的概率,概率之和必须等于1;列出相应的联合概率。

978-7-111-49223-8-Part04-291.jpg

978-7-111-49223-8-Part04-292.jpg

各状态组合的联合概率为:P{A1P{B1}×…×P{N1},P{A2P{B2}×…×P{N2},…,P{Am1P{Bm2}×…×P{Nmn},共有这种状态组合和相应的联合概率mm2×…×mn个。

3)评价指标(通常选择净现值或内部收益率)从小到大排序,构造概率树,列出相应的联合概率和累计概率,并绘制评价指标为横轴、累计概率为纵轴的累计概率曲线;计算评价指标的期望值、方差、标准差和离散系数。

4)可利用累计概率表求出:

P{NPVic)≥0}=1-P{NPVic)<0}或P{IRRic}=1-P{IRR<ic}

注意:当输入变量和每个变量可取的状态数多于3个时,这时状态组合数过多,一般不适合用概率树计算法;若各个风险变量之间不是独立的而是存在相互关联关系,也不适合用这种方法。

【例11-3】 某项目有4个主要风险变量:固定资产投资、年经营成本、年销售收入和项目寿命,数据及其概率分布见表11-7。贴现率取10%(假定当年建成当年达产)。

11-7 主要风险变量数据及其概率分布表

978-7-111-49223-8-Part04-293.jpg

(续)

978-7-111-49223-8-Part04-294.jpg

【问题】(1)计算该项目净现值的期望值。

(2)计算净现值≥0的累计概率。

【解答】(1)计算净现值的期望值

1)列出各参数不同取值的所有组合,并计算每种组合下方案的净现值及其相应的组合概率。

2)根据每组组合下的净现值及其相应的组合概率,计算项目净现值的期望值。

计算步骤及其结果可以用树形图的形式加以表示,如图11-9所示。

3)以第一事件为例,计算如下:

组合概率P1=1×1×0.3×0.2=0.06

净现值X1=-80000-12000(P/A,10%,18)+20000(P/A,10%,18)=-14388.8万元

净现值加权值=X1×P1=-863.328万元

其他数值计算同理,填入图11-9中。

978-7-111-49223-8-Part04-295.jpg

图11-9 概率分析树形图

4)根据图表中所列XjPj数据值,根据公式978-7-111-49223-8-Part04-296.jpg,可得该项目净现值的期望值为31206.16万元。

(2)净现值≥0的概率=(1-0.3)×100%=70%

【解题思路】本题考查概率树的构建以及评价指标的计算,要熟悉概率树计算方法的分析过程和步骤,逐步进行计算。

(五)蒙特卡洛模拟

这种方法的原理是用随机抽样的方法抽取一组输入变量的数值,并根据这组输入变量的数值计算项目评价指标,如内部收益率、净现值等,通过多次抽样可获得评价指标的概率分布及累计概率分布、期望值、方差、标准差,计算项目由可行转变为不可行的概率,从而估计项目投资所承担的风险。

1.应用条件

当输入的随机变量个数多于3个,每个输入变量可能出现3个以上以至无限多种状态时(如连续随机变量)。

2.蒙特卡洛模拟的程序

1)确定风险分析所采用的评价指标。

2)确定对项目评价指标有重要影响的输入变量。

3)经调查确定输入变量的概率分布。

4)为各输入变量独立抽取随机数。

5)由抽得的随机数转化为各输入变量的抽样值。

6)根据抽得的各输入随机变量的抽样值组成一组项目评价基础数据。

7)根据抽样值组成的基础数据计算出评价指标值。

8)重复第4)步到第7)步,直至预定模拟次数。

9)整理模拟结果计算评价指标的期望值、方差、标准差和概率分布,绘制累计概率图。

10)计算项目由可行转变为不可行的概率。

3.应用蒙特卡洛模拟法时应注意的问题

1)应用此方法时,假设输入变量之间是相互独立的,在风险分析中会遇到输入变量的分解程度问题。

如果变量分解得越细,输入变量个数也就越多,模拟结果的可靠性也就越高;而变量分解程度低,变量个数少,模拟可靠性降低,但能较快获得模拟结果。

如果输入变量本来是相关的,而模拟中视为独立地进行抽样,就可能导致错误的结论。为避免此问题,可采用以下办法处理:①限制输入变量的分解程度;②限制不确定变量个数;③进一步搜集有关信息,确定变量之间的相关性,建立函数关系。

2)根据不确定变量的个数和变量的分解程度确定模拟次数。

(六)风险综合评价法

风险综合评价有许多方法,这里介绍一种最常用、最简单的分析方法。通过调查专家的意见,获得风险因素的权重和发生概率,进而获得项目的整体风险程度。其步骤主要包括:

1)建立风险调查表。在风险识别完成后,建立投资项目主要风险清单,将该投资项目可能遇到的所有重要风险全部列入表中。

2)判断风险权重。利用专家经验,对这些风险因素的重要性,及风险对项目的影响大小进行评价,计算各风险因素的权重。

3)确定每个风险发生概率。可以采用1~5标度,分别表示可能性很小、较小、中等、较大、很大,代表5种程度。

4)计算每个风险因素的等级。将每个风险的权重与发生可能性相乘,所得分值即为每个风险因素的等级。

5)最后将风险调查表中全部风险因素的等级相加,得出整个项目的综合风险等级。分值越高,项目的整体风险越大。

【专家点评】

不确定性分析和风险分析对项目决策分析非常重要,这是当前项目前期工作中的薄弱环节。新的可行性研究指南要求加强这两方面内容,其中敏感性指标、盈亏平衡点计算和风险概率分析是重要内容。

本章对风险概率估计方法、概率树法及蒙特卡洛模拟等风险分析方法进行了详细介绍,要求重点掌握,可以通过案例练习掌握其步骤。还要掌握专家调查法在风险分析中的应用,方法内容可见第1章相关知识。不确定性分析是新加内容,重点掌握其中的计算公式。

2008年考核了盈亏平衡点计算、累计概率计算和风险对策的内容;2009年考核的仍是净现值大于等于零的累计概率;2011年考核的是风险等级;2012年考核的是风险对策的类型和风险综合评价法的步骤;2013年考核的是风险概率—影响矩阵和风险对策的类型;2014年考核了一道完整的盈亏平衡分析题。

练习题

1.假设某项目达产第一年的销售收入为4000万元,固定成本1050万元,可变成本850万元,销售税金及附加为120万元,销售收入与成本费用均采用不含税价格表示,该项目设计生产能力为100万件,求解盈亏平衡点。

2.经对某项目进行不确定性分析,其主要的风险变量为产品售价和经营成本。通过调查设定投资不变,预测产品售价和经营成本发生变化的概率见表11-8。

11-8 可能发生状态及其对应的财务净现值

978-7-111-49223-8-Part04-297.jpg

【问题】

计算本项目财务净现值大于等于零的概率,并判断本项目的财务抗风险能力。

参考答案

1.BEP(生产能力利用率)=[1050/(4000-850-120)]×100%=34.65%

BEP(产量)=100×34.65%=34.65万件

BEP(产品售价)=(1050/100)+(850/100)+(120/100)=20.2元/件

结果表明,在生产负荷达到设计能力的34.65%时即可盈亏平衡,说明项目对市场的适应能力较强、抗风险能力较强。另一方面可以认为为了维持盈亏平衡,允许产品售价最低降至20.2元/件。

【解题思路】 达产第一年时项目利息负担较重,固定成本较高,所以此时计算的盈亏平衡点为各年最高值。此类题目必须记牢计算公式。

2.(1)将净现值从小到大排序,计算各净现值的组合概率和累计概率(表11-9)。

11-9 各净现值的组合概率和累计概率

978-7-111-49223-8-Part04-298.jpg

(2)P{NPV<0}=0.045+0.075+15=0.27

财务净现值大于等于零的概率=1-0.27=73%,说明该项目的财务抗风险能力较强。

【解题思路】 因概率树分析适用于离散型分布的变量,所以计算财务净现值小于零时的累计概率时,只要把各个小于零的财务净现值对应的组合概率相加即可,计算方法与以前有所不同。

第12章 方案经济比选

在项目决策分析和评价过程中,由于资源的有限性,投资主体往往需要对各个备选方案进行经济比选,从而选择最优方案。方案比选是项目决策分析与评价的精髓。本章重点讲解如何应用几种经济比选方法进行方案选择。可参考《项目决策分析与评价》第8章或《建设项目经济评价方法与参数》(第3版)的相关内容。

【本章结构】

978-7-111-49223-8-Part04-299.jpg

【重点难点】

互斥型方案的比选。

本章重点掌握互斥方案经济比选的几种方法。每种方法要求掌握:定义、公式、应用条件、判别准则。

【内容精解】

本书第四部分第5章提到,项目评价主要解决两类问题,一类是考虑各个方案经济效果的“绝对效果评价”,一类是比较不同方案优劣的“相对效果评价”。本章讲解的是“相对效果评价”。

比选方法中涉及的经济评价指标的含义和计算公式可参见第四部分第5章。

12.1 项目(方案)之间的关系

通常,项目群内各项目(方案)之间的相互关系分为如下三种类型。

互斥型项目(方案)

其特点是项目(方案)之间具有相互排斥性,互不相容。也就是说,在互斥型项目(方案)中只能选择一个,并且一旦选中任意一个项目(方案),其他的必须放弃。

独立型项目(方案)

其特点是项目(方案)之间具有相容性,只要条件允许,项目群中的有利项目都可以选择。这些项目可以共存,而且投资、经营成本与收益具有可加性。

相关型项目(方案)

某一项目的采用不排斥其他项目,但会对其他项目的效益产生影响。

不论项目群中的项目是何种关系,经济评价的宗旨只有一个:有限的投资获得最大的经济效益。

12.2 方案经济比选方法

一般实际工作中应用最多的是互斥方案的比较。方案经济比选的方法分为考虑资金时间价值的动态分析法和不考虑资金时间价值的静态分析法,以动态方法为主,对静态分析法这里不作介绍。方案经济比选中使用的评价指标可以是价值性指标,也可以是比率性指标,具体可见第四部分第5章的相关内容。

需要说明的是:采用比率性指标时,应该分析不同方案之间的差额现金流量,使用差额内部收益率,否则会导致错误判断。因为内部收益率的经济含义是项目对初始投资的偿还能力,它不是用来计算初始投资收益的指标,所以不能用来直接进行方案比选,但可用来判断单个方案的可行性(第四部分第5章也有相关表述)。

一般进行方案比选工作时,需要事先对各个方案进行绝对效果评价,然后再进行相对效果评价。解答案例时往往会遗漏第一步,这里请大家注意。

互斥型方案的比选

在互斥型关系下,根据项目计算期相等和项目计算期不等两种情况有不同的比选方法。不论何种情况,不论使用何种评价指标,互斥型方案比选的关键是方案之间必须具备可比性。

(一)计算期相同的情况

对于计算期相等的互斥方案,我们将方案的计算期设定为共同的分析期,这样各方案在时间上具有可比性。

1.净现值法

即比较备选方案的财务净现值或经济净现值,净现值≥0且净现值最大的方案为相对最优方案;或各方案净现值≥0的前提下,计算方案间的差额净现值ΔNPV1-2ic),当ΔNPV1-2ic)≥0时,以投资大的方案为优,反之,以投资小的方案为优。(方案1比方案2投资大)

2.费用现值法

该法也称最小费用法,适用于效益相同或效益基本相同、又难于具体估算效益的互斥方案的比较。因为仅需计算费用现金流量,所以只需进行相对效果检验,选择费用现值最小者为相对最优方案。

3.差额投资内部收益率法

(1)差额投资内部收益率的概念 差额投资内部收益率,又称增量投资内部收益率或追加投资内部收益率,是两方案各年净现金流量差额的现值之和等于零的折现率,也是使两方案净现金流量的现值相等的折现率。其表达式如下,采用与内部收益率相同的求解方法

978-7-111-49223-8-Part04-300.jpg

式中 ΔFIRR——差额投资财务内部收益率;

CI-CO)2——投资多的方案的年净现金流量;

CI-CO)1——投资少的方案的年净现金流量。

若使用经济净效益流量替换财务净现金流量,则上式成了差额投资经济内部收益率(ΔEIRR)的表达式。

(2)差额投资内部收益率的判别准则 进行方案比选时,差额投资内部收益率ΔFIRR与基准投资收益率ic(或ΔFIRR与社会折现率is)相比较,若ΔFIRRic时,则投资大的方案为优;若ΔFIRR<ic,则投资小的方案为优。

多个互斥方案相比选时,先将投资额由小到大排序,然后再依次就相邻方案两两比较;经过不断的取舍判断,直至比较完所有方案,最后保留的方案即为相对最优方案。

(3)几点注意事项

1)用差额投资内部收益率对多方案进行比选时,其前提是每个方案是可行的。所以该方法的第一步是计算每一方案的内部收益率,然后除掉那些内部收益率小于基准收益率的方案(本书案例省略了第一步的计算,所给方案均符合要求)。

2)用差额投资内部收益率比选与用价值性评价指标比选的结论是一致的。

【例12-1】

某企业欲引进新的生产线,有两种备选方案,它们的现金流量见表12-1。请分析应选择哪个方案。行业基准收益率取15%。

12-1 两方案现金流量表 (单位:元)

978-7-111-49223-8-Part04-301.jpg

【解答】

本题可以用多种方法来解答,可以用净现值法,也可以用差额投资内部收益率法,还可以用净年值法等。这里给出用净现值法和差额内部收益率法解答的过程。

(1)首先计算各方案的净现值:

NPV=-152500+45675×(P/A,15%,5)=609.68元

NPV=-115000+34350×(P/A,15%,5)=146.53元

NPVNPV均大于0,两个方案均通过了绝对效果检验;经过比较NPV>NPV,表明Ⅰ方案为较优方案。

(2)首先计算两方案各自的内部收益率(过程省略):

方案Ⅰ的内部收益率为15.17%,方案Ⅱ的内部收益率为15.04%,两个方案都可行;然后计算两方案的各年现金流量差额(表12-2)。

12-2 两方案各年现金流量差额表 (单位:元)

978-7-111-49223-8-Part04-302.jpg

根据公式:-37500+11325×(1+i-1+…+11325×(1+i-5=0

经过试算,用内插法可以求得:ΔFIRR=i=15.5%>ic=15%

因此投资大的Ⅰ方案为较优方案。

(二)计算期不同的情况

计算期不等的互斥方案的比选与计算期相等的互斥方案的比选都遵循一致的基本原则。由于方案的计算期不等,无法直接进行比较,通常采用计算期统一法或年值法使得各方案在时间上具备可比性。

1.计算期统一法

就是对计算期不等的比选方案选定一个共同的分析期,然后再用前述指标对方案进行比选。分析期的设定通常有以下几种处理方法:

(1)最小公倍数法 此法假定各备选方案在计算期结束后仍可按原方案重复实施若干次,选取各备选方案计算期的最小公倍数为共同分析期。

(2)研究期法 也称最短计算期法,选取一个适当的计算期,往往是各备选方案中最短的计算期,作为各方案的共同分析期。

【例12-2】

某企业打算引进新生产线,有两个方案可供选择,各方案的有关数据见表12-3,设基准收益率为12%。

12-3 两方案的经济数据

978-7-111-49223-8-Part04-303.jpg

【问题】

(1)服务年限不同的投资方案进行比选时,可以进行时间条件的处理,有哪些处理方法?如果各备选方案在计算期结束后不能重复实施若干次,应选用什么处理方法?

(2)根据上述已知条件,用最小公倍数法和最短计算期法分别进行比选。

【解答】

(1)计算期不同时,有两种时间条件的处理方法:①最小公倍数法;②最短计算期法。如果各备选方案在计算期结束后不能重复实施若干次,应选用最短计算期法。

(2)①由于各方案的计算期不同,先求出计算期的最小公倍数为24年。两个方案24年内的现金流量图如图12-1所示,其中方案A重复4次,方案B重复3次。

NPVA=-700-700(P/F,12%,6)-700(P/F,12%,12)-700(P/F,12%,18)+410(P/A,12%,24)=1866.218万元

NPVB=-1300-1300(P/F,12%,8)-1300(P/F,12%,16)+450(P/A,12%,24)=1465.835万元

由于NPVA>NPVB>0,故方案A优于方案B,应选择方案A。

②最短计算期法,选择方案A的计算期6年为共同分析期。

NPVA=-700+410(P/A,12%,6)=-700+410×4.1114=985.674万元

NPVB=[-1300+450(P/A,12%,8)]×(A/P,12%,8)×(P/A,12%,6)

=935.42×0.2013×4.1114=774.177万元

由于NPVA>NPVB>0,故方案A优于方案B,选择方案A。

978-7-111-49223-8-Part04-304.jpg

图12-1 A、B方案现金流量图

【解题思路】

本题考核的是计算期不同时的方案比选,重要的是根据题目选择时间处理方法。练习此题要清楚不同方法的计算方式。可见,最小公倍数法和最短计算期法得到的比较结论是一致的。

2.净年值法

进行计算期不等的互斥方案的比选,净年值法最为简便,尤其是当备选方案数目众多时。根据第5章的净年值计算公式,比较各备选方案的净年值,以净年值≥0且净年值最大的方案为相对最优方案。

注意:用净年值法进行计算期不等的互斥方案比选,实际上隐含着一种假定:各备选方案在其计算期结束后均可按原方案或以与原方案经济效益水平相同的方案多次重复实施。此假设前提下,现值法与年值法得出的结论才是一致的。

3.费用年值法

对于仅有或仅需要计算费用现金流量的互斥方案,可以用费用年值指标进行比选,原则同净年值法。选择费用年值最小的方案为相对最优方案。

(三)互斥方案比选方法小结

根据互斥方案的特点选择可以使用的方法,要特别注意各种方法所做的假设和适用范围(表12-4)。

12-4 互斥方案特点与方法选择

978-7-111-49223-8-Part04-305.jpg

特别指出:

1)最小公倍数法的计算最为简单,但要求重复性假设和精确的基准收益率,不适用于技术更新快的产品和设备方案的比较,也不适用于处理更新改造项目。

2)最短计算期法可避免重复性假设。

3)差额内部收益率法计算最复杂,但无需事先确定一个精确的折现率。

独立项目的比选

当各投资项目相互独立时,如果资金不受限制,则只要分别计算各项目的NPVIRR,选择所有NPVic)≥0或IRRic的项目即可;如果资金不足以分配到所有可行项目,则出现了独立项目的比选问题,即在资金约束条件下,如何选择一组项目组合,以便获得最大的总体效益,即∑NPVic)最大。

(一)互斥组合法

资金约束条件下的项目组合比选问题的基本解法是互斥组合法,即把各独立项目组合成一个个相互排斥的组合方案,利用前述互斥方案的比选方法,选择相对最优的组合方案。

一般步骤为:

1)将各NPVic)≥0独立项目进行组合,形成互斥的组合方案。N个独立项目可以构成2N个互斥型方案。

2)根据资金约束条件,对组合方案进行筛选。

3)采用合适的互斥方案比选方法对符合要求的组合方案进行选优。

应该指出,这种方法适用于项目数目较少的情况。若项目数目较多,则计算相当烦琐,可借助计算机手段解决大量的计算工作。

【例12-3】

某企业有A、B、C三个产品生产线的规划目标,这三个项目是独立的,产品项目寿命相同,均为10年,估算得出的期初投资和年净收益见表12-5。现在由于资金有限只能筹集到1000万元,试分析应选择那些产品项目进行生产(设定基准收益率为10%)。

12-5 三个独立项目的期初投资和年净收益 (单位:万元)

978-7-111-49223-8-Part04-306.jpg

【解答】

(1)计算各项目的净现值,这里省略计算过程,结果见表12-5;将所有可行项目进行组合形成互斥的组合方案(表12-6)。

12-6 各组合方案的投资额年净收益和净现值 (单位:万元)

978-7-111-49223-8-Part04-307.jpg

(续)

978-7-111-49223-8-Part04-308.jpg

(2)因为只筹集到1000万元,所以组合方案AC、ABC超出限额,应予排除。

(3)对剩下的7个组合方案进行比选,利用净现值法可知,组合方案AB的净现值最大,故该企业应选择A和B进行生产。

(二)效益费用比法

其标准是效益现值必须大于或等于费用现值。该方法一般用于评价公共项目方案的经济效果。与经济分析中费用效果分析的原理相同。

一般步骤为:

1)计算每个方案的效益/费用比,比值大于1则这个方案在经济上可以接受;否则经济上不可取。

2)如果两个方案是互斥的,则计算两个方案之间的增量效益与增量费用之比,比值大于1则费用大的方案较优。

【专家点评】

复习本章时,要结合第四部分第5章进行学习。方案比选是项目前期的基础工作,在具体掌握这些方法时,要注意这些方法的假定条件、适用范围,要比较这些方法的异同,在理解的基础上加强演练。对于同一个比选问题,往往可以选择多种方法,在研习某些例题时大家应考虑是否可以使用其他比选方法。

同时还要注意费用效果分析方法也可用于方案比选,详见第四部分第9章9.4经济分析中的费用效果分析。

2004年考核的是计算期相同和不同情况下的费用年值法、费用现值法,2005年考核的是费用年值法、效果费用分析法(增量分析法),可作习题演练之用。可见,不仅要掌握比选方法的计算,还要熟悉这些方法的适用条件。

练习题

1.某企业有A、B两个投资项目可进行选择投资。基准率取10%。各项目的净现金流量图如下,单位为万元:

978-7-111-49223-8-Part04-309.jpg

项目评价人员进行方案比较时,依据公式:

978-7-111-49223-8-Part04-310.jpg

计算得出以下指标:

NPVA=-200+800(P/F,10%,1)-600(P/F,10%,2)+500(P/F,10%,3)+300(P/F,10%,4)=611.966;

NPVB=-500+300(P/F,10%,1)+500(P/F,10%,2)+350(P/F,10%,3)+400(P/F,10%,4)=722.116;

又经过计算得IRRA=35%,IRRB=32%。此时评价人员产生了迷惑,从净现值指标来看,B项目较好,但从内部收益率来看,A项目较好。现在不知道到底应该选用哪个方案。

【问题】

(1)净现值的计算结果是否正确?简要说明理由。

(2)请帮助评价人员做出判断,并说明判断的理由。

2.某企业拟建分厂,计划使用原有旧生产线,或者更新产品生产线,工程技术人员提供了新旧生产线的有关数据,单位为万元,不考虑税率的影响(表12-7)。假设基准收益率为15%,新旧生产线期末出售价格等于其账面价值。

12-7 新旧生产线对比 (单位:万元)

978-7-111-49223-8-Part04-311.jpg

某咨询人员对上述两个方案进行比选,过程如下:

PC=600×(P/A,15%,4)-175×(P/F,15%,4)=1612.94万元

PC=1200+500×(P/A,15%,8)-260×(P/F,15%,8)=3358.66万元

因为PC<PC,所以不需要更新。

【问题】

(1)能否将咨询人员的比选结论作为决策依据,简述理由。

(2)如果你是该咨询人员,你认为该企业是使用旧生产线还是更新生产线,简述计算过程。(保留2位小数)

3.某公司准备购入一设备扩充生产能力,现有甲乙两方案可供比较。甲方案需投资30000元,使用寿命5年,5年后设备无残值,5年中每年销售收入15000元,每年经营成本5000元;乙方案需投资36000元,使用寿命5年,残值6000元,5年中每年收入17000元,经营成本第一年为6000元,以后随着设备陈旧,逐年增加修理费300元。假设所得税率为25%,基准收益率为10%,两方案折旧情况见表12-8。

12-8 方案折旧情况

978-7-111-49223-8-Part04-312.jpg

【问题】

(1)分别计算两方案各年的现金流量。

(2)用净现值法比较两方案的优劣(用所得税后净现金流量)。

参考答案

1.(1)净现值的计算结果不正确。因为《方法与参数》的公式中t从1开始,所以许多工程师都认为是将各年净现金流折算到净现金流量图中的刻度1,然而在第5章一开始就有交待,不管t=0还是t=1(本书公式都是978-7-111-49223-8-Part04-313.jpg),其实际含义都是折算到刻度0。本题中正确计算过程应该是:

NPVA=-200(P/F,10%,1)+800(P/F,10%,2)-600(P/F,10%,3)+500(P/F,10%,4)+300(P/F,10%,5)=556.333;

NPVB=-500(P/F,10%,1)+300(P/F,10%,2)+500(P/F,10%,3)+350(P/F,10%,4)+400(P/F,10%,5)=656.469。

(2)因为NPVB>NPVA,所以B项目好于A项目,应该选择B项目。在方案比较中,净现值可以作为比较的依据,而内部收益率不是计算初始投资收益的指标,它只是用来判定方案是否可行,不能用来比较方案优劣。对于本题来讲,对于A项目而言,它属于非常规投资,存在第1年以外年份的投资(第三年为-600万元),所以并不存在真正意义上的内部收益率,那么内部收益率也就不适合作为项目比较的依据了。

【解题思路】

本题考查的是互斥方案比选方法的选择,一定要清楚各种方法的含义和适用条件。注意如果使用比率性指标,应该进行差额分析,使用差额投资内部收益率(此题该法也不能使用,见前面的阐述)。

2.(1)不能。理由:该工作人员使用的是费用现值比较法,但是计算过程不正确,违反了方案经济比较的原则,两个方案的计算期不相同,不能直接计算费用现值进行比较,应使用费用年值法,因此结果不能作为决策依据。

(2)采用费用年值法进行方案比选。

AC=600-175×(A/F,15%,4)=564.95万元

AC=1200×(A/P,15%,8)+300-60×(A/F,15%,8)=563.05万元

因为AC>AC,所以应更新产品生产线。

【解题思路】

采用费用年值比较法,在服务年限不同的情况下,可以直接进行比较而不必考虑计算期。可采用计算期统一法中的最短计算期法计算各方案的费用现值,但是没有费用年值法简单。需要强调的是此题不能使用最小公倍数法,因为它不适用于处理设备更新方案的比选。

3.(1)各年的净现金流量见表12-9。就现有数据列出一个简单表格,其他数据不考虑。

(2)计算各方案的净现值:

NPV=9000×(P/A,10%,5)-30000=4117.08元

NPV=10750×(P/F,10%,1)+10025×(P/F,10%,2)+9300×(P/F,10%,3)+8575×(P/F,10%,4)+13850×(P/F,10%,5)-36000=3501.68元

因为NPV>NPV,所以甲方案为相对最优方案。

12-9 各方案的年净现金流量

978-7-111-49223-8-Part04-314.jpg

模拟题

模拟题(一)

一、(20分)A咨询单位通过对自身所面临的市场环境进行调查,决定向规划咨询领域拓展业务。当前,某地政府部门正通过公开招标方式拟选择咨询公司,对其正在实施的五年经济和社会发展规划进行中期评估论证,包括A咨询单位在内共有7家单位参与了竞标,评标过程中:

情况1.经过资格预审,有5家咨询单位进入短名单,需要进一步进行评审。

情况2.评标委员会首先对各家提交的技术建议书进行评价打分,并排列出先后次序;其次对技术建议书合格的投标人的财务建议书进行评审,通过对投标报价进行调整,从中推荐评标价最低的B单位为首位中标候选人。

情况3.经过详细评审,排名前三位的咨询单位是B、E、A三家。其中B单位未按招标文件规定在要求期限内提交履约保证金。

情况4.招标人在签订服务合同后,只给中标人退还了投标保证金。

【问题】

1.A咨询单位进行市场环境调查时,主要调查哪些内容?

2.A咨询单位参与竞标的该市五年经济和社会发展规划的中期评估业务,应具体阐述哪些内容?

3.评标时,确定短名单要考虑的主要因素和条件有哪些?

4.根据情况2所述内容,评标过程采用的是哪种评标方法?国际上通用的评标方法还有哪些?

5.根据情况3所述内容,应推荐哪家单位为中标候选人?简述理由。

6.请说明情况4的做法是否正确?简述理由。

二、(20分)某咨询单位接受委托为某煤电一体化项目编写可行性研究报告,收集的相关资料如下:

该项目总用地面积为66.7hm2,总建筑面积为38.3万m2,绿化用地面积3.3万m2,项目总投资7亿元,其中固定资产总投资57000万元。项目主要的能源消耗为电、水、天然气,年耗用量数据见表1-1。项目生产选用了目前国内先进的工艺流程和设备,最终产品的单位综合能耗指标和主要工序能耗指标均达到了国内领先水平。

1-1 项目电天然气年耗用量

978-7-111-49223-8-Part04-315.jpg

编制可行性研究报告时企业对总图运输方案提出了明确要求,计算了一系列项目建设用地指标。报送可研报告时还一同报送了项目节能评估报告表。

【问题】

1.可行性研究报告必须要编制“节能篇(章)”,一般应包含哪些内容?

2.对总图运输方案进行比选时应考虑哪些方面的内容?请利用题中数据计算该项目投资强度、厂区绿化系数、容积率。(计算结果保留两位小数)

3.该企业报送节能评估文件的做法是否正确,说明理由。

三、(25分)某市近几年交通压力猛增,建立巴士快速交通(BRT)迫在眉睫。该市拟对现有公共交通系统进行评估,通过建立一个公交数据资料库,吸取欧洲、美洲、亚洲等大城市的BRT经验,从而设计一个可实施的巴士快速交通线网规划,并制订近期实施方案。

某工程咨询公司经招标委员会评审成为中标公司,负责现有公共交通系统评估工作。投标文件中编制了工作进度网络图(图1-1),各项工作均按最早时间安排。各项工作所需时间和费用见表1-2,每月费用与完成工作量成正比。

978-7-111-49223-8-Part04-316.jpg

图1-1 工作进度网络计划图

1-2 咨询工作时间及费用表

978-7-111-49223-8-Part04-317.jpg

在咨询工作开展过程中,咨询人员定期地对进度计划的执行情况进行了跟踪检查;第一月月末,工作A完成了1/3,工作B全部完成,工作C完成了1/4;第二月月末,工作A全部完成,工作C完成了1/2;第三月月末,工作C完成了3/4,工作D全部完工,工作E完成了1/2;第四月月末,工作C才全部完工,工作E完成了3/4,工作G全部完工。

因物价上涨,咨询公司决定将咨询服务收费价格提高10%。

【问题】

1.咨询工作开始之前,该市政府要求缩短工期以尽快改善交通状况。请问咨询公司应该通过压缩哪些工作来达到这个要求?

2.分析工作开始后第四个月末的费用偏差和进度偏差,并从工作进展方面分析偏差产生的原因。

3.请粗略估算第四个月末实际工作进度比计划拖延了多长时间?

四、(20分)某汽车配件A于1995年投入某区域市场,经过十几年的发展,产品技术已经成熟,销售量近3年增长缓慢且有所下降,行业内企业竞争日趋激烈,生产成本逐年下降。

为了得到产品A在该区域的市场信息,产品A的主要生产企业委托某咨询公司进行市场调查,得到了2008年1~12月份的销售量,见表1-3,并分析出该企业的核心竞争能力在于其生产成本低。

1-3A产品的销售量表

978-7-111-49223-8-Part04-318.jpg

该生产企业打算引进国外先进技术,投资生产一种新型配件B,投产前同一咨询公司进行了消费调查和市场需求调查。

该咨询公司的甲咨询工程师认为在市场调查中,问卷调查法能够控制调查对象,调查信息充分,但调查周期长、费用高;实地调查法应用范围广泛、操作简单易行,费用相对较低。经比较选择了问卷调查法。

【问题】

1.分析判断产品A处于产品生命周期的哪个阶段?

2.根据题目要求,采用移动平均法预测A产品2009年第一季度的销售量,并说明移动平均法的应用范围。n=3,结果取整数。

3.除了消费调查和市场需求调查外,市场调查还包括哪些内容?除了问卷调查法和实地调查法外,还有哪些市场调查方法?甲咨询工程师对市场调查方法的看法是否准确,说明理由。

4.除了生产成本低,该企业还可拥有哪些竞争成功关键因素?

五、(20分)2009年大型企业甲拟建尿素生产项目,年产10万t,采用CO2汽提法。从数据库中查到2006年有同类项目在周边城市落户,年产4万t尿素,也是采用CO2汽提法,建设投资为8000万元。基本数据如下:

(1)该新建项目,建设期1年,生产期5年。建设投资中包含60%的债务资金,以发行债券的方式筹措。面值100元的债券,发行价96元,票面利率5%,3年期,到期一次还本付息,按单利计息。发行费1%,在债券发行时支付,兑付手续费1%,所得税率为25%,通货膨胀率为3%。

(2)基本预备费率取6%。某咨询人员在计算基本预备费和涨价预备费时分别取工程费用和建设投资为基数。

(3)对项目进行融资前所得税后分析时,某咨询人员测算的现金流入包括销售收入、回收固定资产余值、回收流动资金,现金流出包括建设投资、流动资金投资、经营成本、利息支出、营业税金及附加、所得税。

【问题】

1.试估算该拟建项目的建设投资(生产能力指数n取0.9,综合调整系数CF取1.1)。

2.本项目的兑付手续费由谁支付?试计算本项目债务资金的扣除通货膨胀影响的税后资金成本(假定资金成本率i=5%时,资金现值=-1.966;i=6%,资金现值=0.753)。

3.题中第(2)、(3)中,咨询人员的测算是否正确?说明理由。

4.假设正确测算的项目投资运营期各年的所得税后净现金流量见表1-4,计算项目所得税后的投资回收期和财务净现值(基准收益率取10%),并据此判断项目的财务能力。

1-4 项目投资运营期各年的所得税后净现金流量表(单位:万元)

978-7-111-49223-8-Part04-319.jpg

六、(25分)某新建高速公路是我国西部路网中具有重要战略意义的公路干线,是政府投资的交通运输建设项目。组建了公路公司,作为出资人代表,全面负责该公路建设和运营。

公路全线处于3000m以上的高海拔地区,地质复杂特殊,自然条件恶劣,灾害严重,对参建人员的健康构成极大威胁;沿线生态环境敏感脆弱,珍稀特有物种多、自然景观多种多样,地表植被一旦破坏极难恢复。该公路建设工程量大且施工艰难,工程设计、施工与运营管理面临重大技术难题;投资大且客货运量少,运营成本高。

全部建设投资由政府安排,其中75%为国债资金,25%为公路建设基金;流动资金30%由运营单位自筹,70%为银行贷款。

该项目财务评价的范围为本公路,评价主体为公路公司;经济评价的范围界定为路网范围,包括项目直接吸引区和间接吸引区。甲咨询工程师识别的经济费用主要包括项目投资、运营费用、其他相关交通设施及附属设施的运营维护及更新投资等费用、引起的日常环境维护费用、对环境造成的损害、营业税、进口设备关税、国家对项目的补贴等;经济效益主要包括收费收入、客货运输时间节约的效益、运输成本节约的效益、运输质量提高的效益、当地相关产业的发展等。

因甲工程师测算有误,改由乙工程师重新测算,得出结果:经济净现值大于0,经济内部收益率大于社会折现率,财务净现值小于0,财务上不具备生存能力。

【问题】

1.根据上述分析结果,该项目是否应投资?简述理由。

2.甲咨询工程师对经济费用和经济效益的识别中,哪些是不应包含的?

3.项目选址位于地质灾害易发区,申请用地时需要编制哪些文件?

4.如果对该项目进行社会评价,需要调查收集相关信息,调查与收集的方法有哪几种?

5.如果用铁路项目替代该公路项目,经济分析时铁路运价的影子价格应如何确定?

参考答案

一、【解答】

1.市场环境调查的内容主要包括:①政治法律环境调查;②经济环境调查;③社会人文环境调查;④技术应用环境调查;⑤市场容量调查。

2.中期评估报告具体阐述内容包括:①宏观经济运行情况;②结构调整情况;③规划实施措施到位情况;④规划对发展环境的适应程度;⑤对重大问题的解决程度。

3.确定短名单要考虑的主要因素和条件有:①咨询单位完成的类似项目的工作经验;②咨询单位在项目所在的类似地区的工作经验;③咨询单位的技术水平和综合实力。

4.评标过程采用的是经评审的最低评标价法,国际上通用的评标方法还有质量成本评估法、质量评估法、固定预算评估法。

5.应推荐E单位为中标候选人,理由:虽然B单位排名第一,但因其未按招标文件规定在要求期限内提交履约保证金,所以推荐排名第二的E单位为中标候选人。

6.不正确,理由:招标人应当在与中标人签订合同后5个工作日内,向中标人和未中标人一次性退还投标保证金。

二、【解答】

1.节能篇(章)应包括①项目概况;②项目所在地能源供应条件;③合理用能标准和节能设计规范;④项目能源消耗种类、数量及能源使用分布情况;⑤项目节能措施及效果分析。

2.(1)对总图运输方案进行比选时应考虑:①技术指标比选;②总图布置费用比选;③功能比选;④拆迁方案比选;⑤运输方案比选。

(2)投资强度=项目固定资产总投资(万元)/项目总用地面积(hm2

=57000/66.7=854.57万元/hm2

(3)厂区绿化系数=(厂区绿化用地计算面积/厂区占地面积)×100%

=3.3/66.7=4.95%

(4)容积率=总建筑面积/总用地面积=38.3/66.7=0.57

3.不正确,理由:先计算项目年综合能源消耗量

用电折算成标准煤=4280万(kW·h)×0.1229kgce/(kW·h)=5260.12t标准煤

用水折算成标准煤=26万m3×0.0857kgce/m3=22.28t标准煤

天然气折算成标准煤=260万m3×1.2143kgce/m3=3157.18t标准煤

项目年综合能源消耗量=5260.12+22.28+3157.18=8439.58t标准煤

则,根据《固定资产投资项目节能评估和审查暂行办法》规定,年综合能源消耗量3000t标准煤以上(含3000t标准煤)的固定资产投资项目,应单独编制节能评估报告书,在报送可研报告或项目申请报告时一同报送审查。

、【解答】

1.通过计算双代号网络图的时间参数,可知A、E、H、I为关键工作。工期优化一般通过压缩关键工作的持续时间来进行,因此也就是通过压缩工作A、E、H、I来达到工期要求。

2.根据题目要求,咨询服务收费价格有提高,所以:

4月末累计已完工作实际费用=(6+2+4+3+5+4.5)×(1+10%)=26.95万元

4月末累计已完工作计划费用=6+2+4+3+5+4.5=24.5万元

4月末累计拟完工作计划费用=6+2+4+3+6+3+5=29万元

4月末费用偏差=24.5-26.95=-2.45万元,表示比计划超支了2.45万元;因实际费用增加了10%。

4月末进度偏差=24.5-29=-4.5万元,表明比计划拖延了4.5万元工作量;4月末按计划A、B、C、D、E、F、G应全部完成,而C工作4月末才完成导致F工作3万元的工作量拖延,E工作还差1.5万元工作量未完成。

3.检查情况显示各咨询工作并非是等速进行,所以可以通过绘制S形曲线比较图来粗略估算进度偏差。

(1)先计算各月月末的进度完成情况见表1-5。估算进度偏差只用到已完工作预算费用和计划工作预算费用。

1-5 咨询工作开展的进度监测情况表 (单位:万元)

978-7-111-49223-8-Part04-320.jpg

(2)根据上述数据绘制简单的S形曲线比较图,如图1-2所示。

978-7-111-49223-8-Part04-321.jpg

图1-2 S形曲线比较图

可用尺子粗略测算ΔT,第四月月末实际工作比计划拖延了18d左右(这种方法虽有误差,但也有一定的应用价值)。

四、【解答】

1.产品A处于产品生命周期的成熟期。

2.2009年1月份的预测销售量=(5800+4800+4500)/3=5033万个

2009年2月份的预测销售量=(4800+4500+5033)/3=4778万个

2009年3月份的预测销售量=(4500+5033+4778)/3=4770万个

所以,2009年第一季度的预测销售量=5033+4778+4770=14581万个。

移动平均法的应用范围:只适用于短期预测,多数情况下只用于以月度或周为单位的近期预测;只是处理水平型历史数据才有效;用于对原始数据进行预处理,以消除数据中的周期变动成分。

3.(1)除了消费调查和市场需求调查外,市场调查还包括市场供应调查和竞争者调查。

(2)除了问卷调查法和实地调查法外,市场调查方法还有文案调查法、实验调查法等。

(3)甲咨询工程师对市场调查方法的看法不准确。理由:是实地调查法能够控制调查对象,调查信息充分,但调查周期长、费用高;而问卷调查法应用范围广泛、操作简单易行,费用相对较低。

4.该企业属于制造类行业企业,除了生产成本低外,还可拥有的竞争成功关键因素有:生产能力利用率高、劳工技能高、产品设计能力强等。

五、【解答】

1.该拟建项目的建设投资为:

978-7-111-49223-8-Part04-322.jpg

2.(1)本项目的兑付手续费由大型企业甲支付。

(2)先计算债务资金的税后资金成本为

978-7-111-49223-8-Part04-323.jpg

96-100×1%-100×3×5%×(1-25%)/(1+i3-100×(1+1%)/(1+i3=0

用人工试算法得出:978-7-111-49223-8-Part04-324.jpg

(3)债务资金的扣除通货膨胀影响的税后资金成本为

978-7-111-49223-8-Part04-325.jpg

3.(2)中,咨询人员的测算不正确。理由:计算基本预备费的基数应该是工程费用和工程建设其他费用之和,计算涨价预备费的基数应该是分年的工程费用。

(3)中,咨询人员对现金流入的测算是正确的,对现金流出的测算是不正确的。理由:现金流出中不应包括利息支出和所得税,因为对项目进行的是融资前所得税后分析,不考虑利息因素的影响,项目投资现金流量表中应该用调整所得税代替所得税。

4.(1)根据第1问的建设投资,计算项目所得税后的净现金流量见表1-6。

1-6 项目投资各年的现金流量表 (单位:万元)

978-7-111-49223-8-Part04-326.jpg

(2)所得税后项目投资回收期=4-1+2074/12000=3.17年,表明项目投资回收快,抗风险能力强。

所得税后项目财务净现值=-20074/1.1+6000/(1.1)2+12000/(1.1)3+…+12000/(1.1)6=8105.53万元

净现值大于0,表明该项目在财务上可行。

六、【解答】

1.该项目应投资。理由:交通运输项目在我国具有自然垄断特征,应以经济合理性作为投资依据,而不是依据财务分析结果,该项目财务分析的目的只是建议政府提出有效措施改善项目财务状况。乙工程师测算得到经济净现值大于0,经济内部收益率大于社会折现率,因此该项目具有经济合理性,可行。

2.识别的经济费用中,营业税、进口设备关税、国家对项目的补贴视为转移支付,不应纳入;经济效益中,收费收入视为项目向政府缴纳的费用,属于转移支付,不应纳入。

3.地质灾害危险性评估报告和项目用地预审申请报告。

4.社会评价信息的调查与收集方法有个人访谈、小组讨论、问卷调查、参与观察、文献资料的收集等。

5.铁路运价属于政府调控价格,作为项目产出物时,可按替代运输量运输成本的节约、诱发运输量的支付意愿以及时间节约的效益等测算。

模拟题(二)

一、(20分)甲工程咨询单位近期开展了以下咨询业务:

一是:为A项目编制项目建议书和可行性研究报告,该项目属于政府直接投资,地处地质灾害易发区。该项目的项目建议书得到批复后,甲单位即着手开始可行性研究工作,工作过程中重点对①项目需求及目标定位;②项目建设方案;③土地利用与移民安置方案;④投资估算;⑤社会影响分析等内容进行了论证。其中,进行土地利用分析时用到了另一家咨询单位为该项目编制的用地预审申请报告的内容。

二是:为B项目编制政府性资金申请报告,该项目的部分资金是外国政府贷款,由中央统借统还。该项目资金申请报告的内容有:①项目概况;②项目对外工作进展情况;③贷款使用范围;④经济分析和财务评价结论等。

三是:协助某企业办理C项目的有关行政手续,该项目是企业到境外收购某矿山开采公司。完成有关行政手续后,又向国家发展和改革委员会补交了项目信息报告。其中,还编制了行政程序所需的报告,其中对项目的技术选择、财务效益、适用的市场准入规定和环境保护政策进行的分析论证。

【问题】

1.A项目的项目建议书得到批复后,应开始着手什么工作?A项目的可行性研究论证的重点除了上述5项内容外,还应包括哪些内容?

2.A项目的用地预审申请报告应包括哪些内容?除此之外还应提交什么报告,报告的内容有哪些?

3.B项目应履行审批制、核准制还是备案制程序?该项目资金申请报告的内容是否全面?还应包括哪些?

4.C项目应履行审批制、核准制还是备案制程序?履行的程序有无不妥,并简述理由。

5.为C项目编制的报告是否合理,并简述理由。

二、(20分)某咨询公司为某市编制未来四年(2012—2015)的经济和社会发展规划时,对该市目前的宏观经济运行情况进行了分析:

(1)分别从消费、投资、政府购买、净出口四个方面统计核算该市2011年的实际GDP,发现实际GDP低于潜在GDP。此时期,实际失业率高于自然失业率,物价水平不断上涨,引发需求型通货膨胀。

(2)监测到该市某月的采购经理指数PMI等于51。

(3)为促进该市的循环经济发展,单独编制了循环经济评价指标体系,供总体规划使用。该市2011年的有关数据为:2011年该市GDP为770.7亿元,工业增加值为277.19亿元,取水总量为6.6897亿m3(其中,工业取水总量为1.5717亿m3)。

(4)规划编制过程中采用了系统分析方法;规划中列出的主要指标有:城镇化率(%)、每万人口发明专利拥有量(件)、单位工业增加值用水量降低(%)、城镇保障性安居工程建设(万套)、森林蓄积量等。

【问题】

1.题目中GDP的核算采用了哪种方法?还有哪些方法?并分别说明各种方法的含义。

2.关于经济周期中失业和价格水平的分析是否正确,说明理由。

3.采购经理指数等于51说明什么?

4.循环经济评价指标体系由几部分指标构成?请计算该市2011年的万元工业增加值用水量。

5.简述系统分析方法的流程,并说明规划中列出的指标的属性。

三、(20分)某城市轻轨交通项目业主拟选择一家咨询机构为其处理项目设计、施工及设备、材料的招标事务。该轻轨交通项目技术复杂,并在轨道铺设、车体制造方面有特殊要求。发生了以下几项事件:

1.M招标代理机构中标并接受业主委托,全权负责处理项目招标事务。在各施工合同标段招标时,某一施工标段的评标中发现了如下几个问题:

(1)A投标人的总报价与单价和工程量的乘积不一致。

(2)D投标人在投标文件中提出:考虑到施工的难度,将招标文件规定的总工期延长3个月。

(3)由于该标段比较复杂,评标的时间较长,在招标文件规定的投标有效期结束日30个工作日之前无法完成评标和定标工作。

(4)经详细评审后,该标段最后的有效投标只有两家。

2.业主要求咨询机构在投标文件中写明该项目可能遇到的技术性风险,给出应对消极风险或危害的策略。

3.在设备、材料招标过程中,招标文件规定投标保证金有效期应当超出投标有效期30d。

【问题】

1.该项目业主选择咨询机构时,适宜采用什么方式进行招标?采用什么方法对投标咨询单位进行评标?

2.事件1中,评标时发生的4个问题应如何处理?

3.事件2中,项目可能遇到的技术性风险有哪些?应对消极风险或危害的策略有哪些?

4.事件3中,招标文件的规定是否正确?说明理由。

四、(20分)某行业的龙头企业A公司,处于我国华东地区,为了制定自身的发展战略,采用五因素模型对行业的竞争结构进行分析。部分因素分析如下:

1.本行业的新进入者来自国内、国外两个方面。先进技术和研发投资是进入本行业的主要门槛;此行业在政策上受到一定限制;对于国外进入者,为保护本国行业发展也制定了一些限制措施。

2.本行业的供应商较为分散,供应商之间的竞争也较为激烈。

3.该行业目前正处于发展阶段,技术发展迅猛,市场上已经出现性能更好的此类产品,只是价格略高。

4.产品种类比较少,并且消费者对此类产品有依赖性,一段时间内很少更换。

5.因该行业属于新型行业,竞争对手有限,集中度较低,产品差异化很大。

咨询人员还分析出A公司产品在华东地区的销售量明显受到当地农民人均收入水平的影响,收集了该公司产品2006~2008年的销售量和农民人均收入数据见表2-1,预测2012年农民的人均收入较2008年将增长50%。

2-12006~2008A产品华东市场销售量和农民人均收入表

978-7-111-49223-8-Part04-327.jpg

基于上述分析,A公司进一步运用评价矩阵对公司的内外部因素进行了综合评价,结果见表2-2。A公司对该产品采用的是差别化竞争战略。

2-2A公司的内外部因素评价

978-7-111-49223-8-Part04-328.jpg

【问题】

1.行业的竞争结构主要有几种类型?上述四方面因素分别属于五因素模型中的哪个方面?说明每个因素对该行业竞争强度的影响是增强还是减弱。

2.根据咨询人员收集的数据,预测A公司2012年每千人的产品消费量。

3.如果要对公司产品2050年的需求进行预测,采用德尔菲法是否正确?德尔菲法的应用范围是什么?

4.根据A公司的企业内外部因素评价结果,指出该公司应选择何种战略,并说明理由。

5.企业基本竞争战略除了差别化战略外,还有哪些战略?

五、(25分)某流感疫苗生产商的车间设备因寿命期已到需要更新,有A、B两种新设备可供选择。两种设备的经济数据见表2-3,设备投资发生在年初。财务基准收益率取15%。

2-3A、B设备的经济数据表 (单位:万元)

978-7-111-49223-8-Part04-329.jpg

某地区流感发病率逐日上升,为此当地政府制定了三种疫苗接种方案,计算期均设为5年。根据咨询人员分析论证,项目效果表现为减少发病人数,同时也减少了治疗费用,数据见表2-4;各方案每年投入的费用额见表2-5。设定折现率为3%。

2-4 三种方案产生的效果/效益表

978-7-111-49223-8-Part04-330.jpg

2-5 三种方案年投入费用表 (单位:万元)

978-7-111-49223-8-Part04-331.jpg

【问题】

1.如果你是该企业的咨询人员,请用费用年值法比较选择设备更新的最优方案。

2.如果设备B的使用寿命期为9年,最后三年经营成本均为7000万元,期末净残值为2000万元,其他数据不变。请以最小寿命期作为共同研究期,比较选择最优方案。

3.咨询人员拟采用费用现值法来评价三种疫苗接种方案的优劣,请判断该方法是否妥当?说明理由。

4.请对三种疫苗接种方案进行比选,哪种方法为最优方案(设定基准指标[C/E]0=400,即每减少发病一人需要花费400元)。

六、(25分)某企业目前年销售收入为3200万元人民币,年经营成本为2400万元人民币,财务效益较好。该企业生产的产品市场需求空间比较大。现计划从国外引进一套设备进行改扩建。该设备的离岸价格为160万美元,国外运输及保险费为20万美元,运到中国口岸后需要缴纳的费用:①关税41.5万元人民币;②国内运输费用12.7万元人民币;③银行财务费费率0.5%;④外贸手续费(费率为1%);⑤增值税87.5万元人民币。通过扩大生产规模,该企业年销售收入可增加到4500万元人民币,年经营成本提高到3200万元人民币。

假定设备投资发生在期初,当年即投产运营。在经营成本的计算中,包含国家环保部门规定的每年收取200万元人民币的排污费。该企业污染严重,经济及环境保护专家通过分析认为,该企业排放的污染物对国民经济的实际损害应为销售收入的10%才合理。经营成本其余部分及国内运输费用和贸易费用的经济分析计算结果与财务分析相同。市场研究表明,该产品还可以在市场上销售5年,5年后停止生产,5年末进口设备残值为50万元人民币。如果决定现在实施此项目,原有生产线一部分设备可以100万元人民币的资产净值在市场售出。设备的国民经济评价影子价格与市场出售价格相同。

本企业的财务基准收益率为10%,社会折现率为8%,美元兑人民币官方汇率为1∶6.5,影子汇率换算系数为1.08,增值税为17%(以上收入及成本数据均以不含税价格计算)。

【问题】

1.计算进口设备的经济价值?

2.如何确定该企业生产产品的影子价格?

3.请利用题目所给数据,分析企业改扩建的经济合理性?

参考答案

一、【解答】

1.(1)应依据项目建议书批复文件分别向城乡规划、国土资源和环境保护等政府部门申请办理规划选址预审、用地预审和环境影响评价审批手续。

(2)还应包括:项目实施方案、环境保护措施方案及环境影响评价、资金筹措方案、费用效果分析、风险分析等。

注意:可研报告中应专设环评篇,而环境影响评价文件的编制另成体系。

2.(1)项目用地预审申请报告应包括:拟建项目的基本情况、拟选址占地情况、拟用地面积确定的依据和适用建设用地指标情况、补充耕地初步方案、征地补偿费用和矿山项目土地复垦资金的拟安排情况等。

(2)因项目地处地质灾害易发区,还应提交地质灾害危险性评估报告,报告的内容有:工程建设可能引发、加剧地质灾害的可能性,工程建设本身可能遭受地质灾害危害的危险性,拟采取的防治措施等。

3.(1)B项目应履行审批制。

(2)项目的资金申请报告的内容不全面,还应包括:国外贷款来源及条件,设备和材料采购清单及采购方式,贷款偿还及担保责任、还款资金来源及还款计划。

4.(1)C项目应履行核准制。

(2)履行的程序不妥。理由:国家对境外竞标或收购项目实行预先申报规划、自主决策立项、相机实施运作、事后上报核准的政策,一般是先报送信息报告,待项目中标或收购条件基本达成一致后,再向发展改革部门申请办理项目核准手续。

5.不合理,理由:境外投资项目的申请报告不同于项目可研报告,不要求进行详细的技术选择分析、财务效益和敏感性分析等可行性分析论证,也不要求满足中国的环境保护、市场准入等政府法规要求。

二、【解答】

1.(1)采用了支出法进行核算,还有生产法和收入法。

(2)生产法是指对经济中所有企业在一定时期内的增加值进行加总。

收入法是指一定时期内所有生产要素的收入(工资、利息、地租、利润)的总和,加上折旧和政府间接税收入。

2.(1)对失业的分析是正确的。理由:实际GDP低于潜在GDP,说明经济处于潜在产出水平以下时,总支出不足,实际失业率等于摩擦性失业、结构性失业以及周期性失业之和,高于自然失业率。

(2)对价格水平的分析是错误的。理由:价格由市场供求关系决定,而目前经济处于潜在产出水平以下时,总支出不足,会伴随通货紧缩,而非通货膨胀。

3.采购经理指数等于51说明经济在缓慢前进。

4.(1)由资源产出指标、资源消耗指标、资源综合利用指标、废物排放(处置)指标四个部分构成。

(2)该市2011年的万元工业增加值用水量

=工业取水总量/工业增加值

=1.5717亿m3/277.19亿元

=56.7m3/万元

5.(1)系统分析方法的流程是系统研究、系统设计、系统量化、系统评价和系统协调。

(2)城镇化率(%)、每万人口发明专利拥有量(件)属于预期性指标;单位工业增加值用水量降低(%)、城镇保障性安居工程建设(万套)、森林蓄积量属于约束性指标。

三、【解答】

1.适应采用邀请招标方式进行招标,采用质量评估法进行评标。

2.(1)根据规定,评标委员会可以书面方式要求投标人对有明显文字和计算错误的内容作必要的澄清、说明或补正。单价与工程量的乘积与总价之间不一致时,以单价为准。

(2)D投标人的投标文件载明的招标项目完成期限超过招标文件规定的期限,视为重大偏差,由评标委员会初审后否决其投标。

(3)不能在投标有效期结束日30个工作日前完成评标和定标的,招标人可以书面形式要求所有投标人延长投标有效期。投标人同意延长的,不得要求或被允许修改其投标文件的实质性内容,但应相应延长其投标保证金的有效期;投标人拒绝延长的,其投标失效,但投标人有权收回其投标保证金。

(4)有效投标不足三个使得投标明显缺乏竞争的,评标委员会可以否决全部投标,此时招标人在分析招标失败的原因并采取相应措施后,应当依法重新招标。

3.项目可能遇到的技术性风险有设计技术的风险、施工技术的风险、生产工艺的风险等。应对消极风险或危害的策略有回避、转移和减轻。

4.不正确。理由:按照规定投标保证金有效期应当与投标有效期一致。

四、【解答】

1.行业的竞争结构主要有完全竞争、寡头垄断、双头垄断、完全垄断四种类型。

(1)因素1属于行业新进入者的威胁,行业的特性及国家的限制政策使得本行业有较高的进入障碍,该因素使得该行业的竞争强度减弱。

(2)因素2属于供应商讨价还价的能力,本行业的供应商较为分散,供应商之间的竞争也较为激烈,说明供应商的讨价还价能力较低,该因素使得该行业的竞争强度减弱。

(3)因素3属于替代品的威胁,市场上出现了性能高的新产品,从而使得行业竞争能力增强,同时价格略高又减弱了行业的竞争强度。

(4)因素4属于客户讨价还价的能力,产品选择机会少且有依赖性,说明客户的讨价还价能力较弱,使得行业的竞争能力减弱。

(5)因素5属于现有企业的竞争,竞争对手有限,集中度较低,产品差异化很大,使得行业的竞争强度减弱。

2.根据现有数据,计算2007年、2008年的收入弹性:

978-7-111-49223-8-Part04-332.jpg

2012年每千人产品销售量增长率=0.668×50%=33.4%。

2012年每千人产品销售量=50×(1+33.4%)=66.7台。

3.正确。德尔菲法的应用范围是缺乏足够的资料、长远规划或大趋势预测、影响预测事件的因素太多、主观因素对预测事件的影响较大的领域。

4.(1)计算内外部因素评价的加权分:

内部因素加权得分为1.35,外部因素加权得分为0.7。

(2)利用SWOT分析图,确定A公司的位置(如图2-1所示,不画也可),该公司应选择增值性战略,企业拥有强大的内部优势和众多机会,企业应增加投资、扩大生产、提高市场占有率。

5.企业基本竞争战略除了差别化战略外,还有成本领先战略和重点集中化战略。

978-7-111-49223-8-Part04-333.jpg

图2-1 A公司的SWOT分析图

五、【解答】

1.ACA=[10000+5500(P/A,15%,3)+6500(P/A,15%,3)(P/F,15%,3)-3500(P/F,15%,6)]×(A/P,15%,6)

=(10000+12557.6+9757.826-1513.05)×0.26424

=8139.22万元

ACB=[12000+5000(P/A,15%,3)+6000(P/A,15%,3)(P/F,15%,3)-4500(P/F,15%,6)]×(A/P,15%,6)

=(12000+11416+9007.224-1945.35)×0.26424

=8053.47万元

经比较得知,费用年值较小的B方案较优。

2.PCA=10000+5500(P/A,15%,3)+6500(P/A,15%,3)(P/F,15%,3)-3500(P/F,15%,6)

=10000+12557.6+9757.826-1513.05

=30802.38万元

PCB=[12000+5000(P/A,15%,3)+6000(P/A,15%,3)(P/F,15%,3)+7000(P/A,15%,3)(P/F,15%,6)-2000(P/F,15%,9)]×(A/P,15%,9)(P/A,15%,6)

=(12000+11416+9007.224+6909.192-568.6)×0.2096×3.7845

=30748.67万元

经比较得知,费用现值较小的B方案较优。

3.采用费用现值法来评价三种方案的优劣是不妥当的,因为该法适用于效益相同或效益基本相同但难于具体估算的互斥方案的比较,但本题疫苗接种方案产生的货币化效益(减少治疗费用)不是该政府项目目标的主体,其主要效果表现为减少发病人数(难于货币量化),所以适合采用费用效果分析方法。

4.利用各备选方案效果和费用数据,因两者均不固定,所以应采用增量分析方法。

(1)各方案每年产生的效果年值见表2-4。

(2)各方案每年投入的费用年值:

方案1=[1300×(P/F,3%,1)+1400×(P/F,3%,2)+…+1800×(P/F,3%,5)]×(A/P,3%,5)=1532.36万元

方案2=[2200×(P/F,3%,1)+2300×(P/F,3%,2)+…+3200×(P/F,3%,5)]×(A/P,3%,5)=2644.14万元

方案3=[2500×(P/F,3%,1)+2600×(P/F,3%,2)+…+3600×(P/F,3%,5)]×(A/P,3%,5)=2962.98万元

(3)按方案费用年值由小到大排队,计算各方案的费用效果比:

方案1=1532.36/5=306.47元/人

方案2=2644.14/6=440.69元/人

方案3=2962.98/8=370.37元/人

方案2的费用效果比高于基准指标,应予放弃。

(4)计算方案1和3的增量费用效果比:

ΔCE=(2962.98-1532.36)/(8-5)=476.87元/人

因两者增量费用效果比高于设定的基准值400,说明费用低的方案1为最优方案。

六、【解答】

1.设备到岸价=(160+20)×6.5×1.08=1263.6万元

银行财务费=160×6.5×0.5%=5.2万元

外贸手续费=(160+20)×6.5×1%=11.7万元

则,进口设备的经济费用=到岸价+银行财务费(离岸价)+外贸手续费(到岸价)+国内运杂费=1263.6+5.2+11.7+12.7=1293.2万元

注意:各相关费用的计价基础,有的是离岸价有的是到岸价,一定记清楚。

2.该企业生产的产品为市场定价货物,且市场需求量大,所以应采用含税的市场价格作为其影子价格。

3.(1)初始投资(0点现金流量):

设备经济价值=1293.2万元

旧设备变现价值=100万元

净效益流量=100-1293.2=-1193.2万元

(2)项目每年经济净效益流量:

增量收入:(4500-3200)×(1+17%)=1521万元

增量经营费用=(3200-200)-(2400-200)=800万元

增量间接费用=(4500-3200)×10%=130万元

净效益费用流量:1521-800-130=591万元

(3)考虑到第5年末固定资产回收余值50万元,则项目的经济净现值为

ENPV=-1193.2+591×(P/A,8%,5)+50×(P/F,8%,5)

=1200.52万元

ENPV>0,说明企业进行改扩建具有经济合理性。

模拟题(三)

一、(20分)为寻求更大发展,经过详细的目标市场分析后,A咨询公司拟向海外拓展咨询业务,承揽国内外投资项目咨询服务。

1.通过搜集相关项目信息,经过项目分析与筛选,A公司决定接受甲投资企业委托,为其在境外某投资收购项目编制申请报告。

2.A咨询公司的咨询工程师李某认为该项目申请报告一方面要从企业的角度进行技术选择分析和财务分析,一方面要从国内法规要求的角度进行生态环境影响分析。

3.由于A公司对境外工程咨询规则不熟悉,对有关经济形势估计不足,导致该投资收购项目延误了最佳时机。

【问题】

1.A咨询公司承接业务进行项目的分析与选择一般要经过什么过程?

2.请说明咨询工程师李某的观点是否准确?简述理由。

3.导致该投资收购项目延误属于何种性质的风险?从工程咨询单位的角度,可采取哪些风险管理策略?

二、(20分)某国外汽车公司欲在我国投资建设家用轿车生产厂,聘请一家咨询单位进行相关的市场咨询等方面的研究工作。

咨询公司对国内大中城市家庭轿车需求量进行预测。调查收集的A城市过去2003~2007年的轿车销售量和城镇居民储蓄余额的数据见表3-1。

3-1A城市2003~2007历年轿车销售量与城镇居民储蓄余额

978-7-111-49223-8-Part04-334.jpg

已知数据:A城市2003~2007历年轿车销售量的二次方和为6465。2003~2007历年城镇居民储蓄余额的二次方和为7652500,2003~2007历年城镇居民储蓄余额与轿车销售量乘积之和为222400,预计2010年城镇居民储蓄余额为1800亿元。

国内有三个城市邀请该国外汽车公司进入其城市经济开发区投资建厂。咨询单位邀请有关方面的专家组成专家组,对申报城市的自然条件、交通运输、市场因素、经济发展政策等因素进行了考察,综合专家评审意见,确定了厂址选择的评价指标;同时,专家组给出了各项指标的重要程度,并为各个城市的各项指标按百分制进行了打分。

最终,该国外汽车公司决定在A城市投资建厂,并初步设定了建设规模。咨询单位对建设规模在产品政策、行业特点、收益等方面的合理性进行了分析,确定了最终的建设规模。

【问题】

1.利用题目数据建立一元线性回归模型,并计算系数ab(结果小数点后保留3位)。

2.请问是否有必要对回归方程进行相关系数检验?简述理由。写出检验过程,并对2010年可能的销售量进行点预测(取α=0.05,R值小数点后保留3位,部分相关系数临界值见表3-2)。

3-2 部分相关系数临界值

978-7-111-49223-8-Part04-335.jpg

3.项目选址应考虑的区域因素除了上述因素外,还有哪些因素?对建设规模进行合理性分析除了上述方面外,还应分析哪些方面的合理性?

4.咨询公司对厂址进行选择时采用的咨询方法是综合评价法,采用这种方法是否恰当?如何用综合评价法选择厂址方案?

(20分)某X公司生产A、B、C三种产品,三种产品近几年的销售情况如图3-1所示。

978-7-111-49223-8-Part04-336.jpg

图3-1 A、B、C三种产品的销售趋势图

C产品2008年1~12月份的市场销售量见表3-3。

B产品所在行业的市场逐渐饱和,市场竞争日益激烈,为了进一步制订企业的竞争策略,该企业委托咨询公司对企业竞争能力与主要竞争对手Y企业进行了对比分析,结果见表3-4。

3-3C产品20081~12月份的市场销售量表

978-7-111-49223-8-Part04-337.jpg

3-4 企业竞争态势矩阵表

978-7-111-49223-8-Part04-338.jpg

【问题】

1.请判断A、B、C三种产品2008年分别处在产品生命周期的哪个阶段?

2.请利用一次指数平滑法预测C产品2009年1月份的销售量。(初始平滑值取前3个月的平均值,α取0.3)

3.利用竞争态势矩阵判断X公司相对于Y公司的竞争能力如何?

(20分)某项目建设期1年、运营期5年。建设投资1200万元(含可抵扣固定资产进项税200万元),其中自有资金800万元,其余为银行贷款,年利率为6%,计算的建设期利息为12万元,投产后5年内等额还本、利息照付。固定资产净残值率为5%,采用年限平均法计提折旧,折旧年限同运营期。增值税率为17%,营业税金及附加为增值税的10%,所得税税率为25%。

投产当年即达到满负荷生产,满负荷流动资金为100万元,全部来源于项目资本金,投产第一年即全部投入。销售收入为600万元,经营成本为200万元,其中原材料和燃料动力160万元,均以不含税价格表示。该项目投资现金流量表见表3-5。

3-5 该项目投资现金流量表 (单位:万元)

978-7-111-49223-8-Part04-339.jpg

【问题】

1.请判断表3-5项目投资现金流量表中所列项目是否正确?简述理由。

2.计算项目投资各年的所得税后净现金流量,将结果填入表3-5中,并计算项目投资回收期(税后)。

3.能否直接利用项目投资回收期来判断该项目是否可投资?说明理由。

4.编制项目资本金现金流量表。

五、(20分)西部某贫困地区拟新上一工业项目,以促进当地经济发展,改善当地群众的生活状况。该项目通过“招拍挂”方式取得一块500亩[4]农田的土地开发权,该土地性质为生产性用地。该农田现行的用途是种植小麦,上一年按影子价格计算的亩产净收益为800元,该农田的其他可行替代用途中按影子价格计算的最大净收益为1000元/亩。土地的影子价格也可通过分解实际征地费用来调整计算,征地费用主要包括:土地补偿费、安置补助费、青苗补偿费、地上附着物补偿费、耕地占用税等。

所用原料A可从当地进行采购,市场供应紧张,短期内无法增产;原料B则需要从国外进口。生产的产品C主要在国内销售,目前市场平均价格为2500元/t,产品投放市场后会挤占其他厂商的市场份额,并且可能导致价格降低为2200元;产品到目标市场的运杂费为200元/t。该项目同时也解决了当地的就业,促进当地经济的发展,使得当地居民人均年收入增加了300元。(均按不含税价格计算)

甲咨询工程师对该项目进行经济分析时,有下列分析过程:

(1)计算土地机会成本时,采用的净效益数据为800元/亩。

(2)原料A采用不含税的市场价格作为确定其影子价格的基础。

(3)计算原料B的影子价格时,用到的公式为

原料B的影子价格=到岸价×影子汇率

(4)确定产品C的影子价格时,采用不含税的市场价格计算,公式为

产品C的影子价格=2500元/t

【问题】

1.如果土地的影子价格通过分解实际征地费用来调整计算,那征地费用该如何划分?

2.根据题目所给资料,估算该项目的经济效益时应包括哪些项目?

3.甲咨询工程师的4个分析过程是否正确?不正确的说明理由。

六、(20分)某地区拟建大型化工厂,除了工厂之外建设内容还包括煤田矿井和选煤厂工程,投资巨大。该地区煤炭储量丰富,开采条件有些艰苦;由于地质条件特殊,需要专门的工程技术进行开采;该项目会对周围环境造成一定影响,虽然引起当地部分居民的不满,但由于煤炭产业属于当地支柱产业,同时洁净煤技术已得到广泛推广,因此得到当地政府支持。

咨询人员对前期预测得到的财务数据进行了敏感性分析,分析结果见表3-6。初步得出,产品售价、原料价格的变动对项目投资财务净现值的影响较大。

3-6 项目敏感性分析表

978-7-111-49223-8-Part04-340.jpg

咨询人员利用风险评价矩阵进一步分析得出:融资风险和资源风险属于一般风险,技术与工程风险属于较大风险,政策风险属于微小风险;同时利用德尔菲法测定了产品售价和原料价格变动的概率,利用计算机工具计算出各种可能状态下的财务净现值(税前),见表3-7。

3-7 不确定因素变化概率表

978-7-111-49223-8-Part04-341.jpg

【问题】

1.风险评价矩阵方法将风险程度分为几个等级?投资项目决策阶段的主要风险除了资源风险、融资风险、技术与工程风险和政策风险外,还有哪些风险?

2.利用敏感性分析表,分析确定项目投资财务净现值对哪个因素变化的敏感程度高?

3.能否用敏感性分析结果代替风险分析结果?说明理由。

4.计算各种可能状态下的概率及净现值的期望值。

参考答案

、【解答】

1.项目分析与选择的过程一般经过三个步骤:①由公司的业务开发部门(市场部)完成项目分析,包括项目背景、资金来源、地理位置等;项目是否属于公司从事的项目类型;项目的经济社会价值;可否通过项目达到公司的发展目标;业务的财务状况。②专业部门深入分析项目,主要是客户对咨询服务的要求;是否需要竞争性投标;公司参与竞争的技术能力;需要的商务竞争策略;风险分析。③编写咨询服务建议书,递交建议书。

2.不准确,理由:境外投资项目申请报告与项目可行性研究报告不同,与境内投资项目申请报告也有很大差别,不要求详细的技术选择分析、财务效益和敏感性分析等企业决策所需的技术经济可行性分析论证;也不要求满足环境保护、市场准入等政府法规要求。

3.(1)属于管理风险。

(2)针对咨询单位的风险管理策略包括:①建立规范的内部治理结构;②健全内部风险控制制度;③建立咨询单位的信用评级制度;④建立责任赔偿制度;⑤推广担保制度;⑥建立工程保险制度;⑦实行合伙人机制。

、【解答】

1.以年轿车销售量为因变量y,年城镇居民储蓄余额为自变量x,建立一元线性回归模型:

y=a+bx

(1)n=5,Σxi=6150,Σyi=179,978-7-111-49223-8-Part04-342.jpgy=179/5=35.8

978-7-111-49223-8-Part04-343.jpg

(3)则建立的一元线性回归模型为:y=5.05+0.025x

2.(1)有必要。理由:对回归模型进行相关系数检验是为了判定预测模型的合理性和适用性,只有相关系数R的绝对值大到一定程度时,才能采用线性回归模型进行预测。

(2)根据一元线性回归方程可得:y1=5.05+0.025×1000=30.05,y2′=35.05,y3′=36.3,y4′=37.55,y5′=40.05;

则:Σyi-y′i)2=0.3,978-7-111-49223-8-Part04-344.jpg

978-7-111-49223-8-Part04-345.jpg

α=0.05时,自由度=5-2=3,查相关系数检验表,得R0.05=0.878。

因为R=0.997>R0.05,因此汽车销售量与人均月收入之间的线性关系成立。

(3)2010年的可能的销售量的点预测为:

y2010=5.05+0.025×1800=50.05万辆

3.(1)项目选址时除了应考虑上述因素外,还应考虑劳动力因素和集聚因素。

(2)对建设规模进行合理性分析除了上述方面外,还应分析资源利用的合理性、外部条件的适应性和匹配性。

4.(1)采用综合评价法选择厂址方案是恰当的。

(2)综合评价法的程序是:①确定选择厂址的目标;②确定评价范围;③确定评价指标和标准;④确定指标的权重;⑤确定综合评价判据;⑥选择加权平均法进行综合评价。

三、【解答】

1.A产品处在产品生命周期的衰退期,B产品处在产品生命周期的成熟期,C产品处在产品生命周期的成长期。

2.计算初始平滑值F0=(15.5+16.2+14.6)/3=15.43万t

根据指数平滑法的计算公式,得出:

F1=αx1+(1-αF0=0.3×15.5+(1-0.3)×15.43=15.45万t

F2=αx2+(1-αF1=0.3×16.2+0.7×15.45=15.68万t

F3=αx3+(1-αF2=0.3×14.6+0.7×15.68=15.36万t

F12=αx12+(1-αF11=20.03万t

于是,C产品2009年1月份的销售量为20.03万t。

3.X公司的竞争能力加权评分=0.15×4+0.2×5+…+0.12×3=3.72

Y公司的竞争能力加权评分=0.15×5+0.2×3+…+0.12×2=3.48

可知,X公司较Y公司的综合竞争能力强。

四、【解答】

1.(1)表3-4中2.5项所得税有错,应该是调整所得税。理由:项目投资现金流量分析属于融资前分析,用到的所得税数值应与融资方案无关,因此应是不受利息因素影响的调整所得税。

(2)现金流入中应增加销项税额,现金流出中应增加进项税额和增值税。理由:考虑可抵扣固定资产进项税引起的影响。

2.(1)计算期第2年的所得税后净现金流量。

现金流入:①销售收入=600万元

②销项税额=600×17%=102万元

现金流出:

①流动资金=100万元

②经营成本=200万元

③进项税额=160×17%=27.2万元

④增值税:102-27.2-200=-125.2万元,还有125.2万元未抵扣,本年应交增值税为0。

⑤营业税金及附加=0

⑥调整所得税=息税前利润×25%

固定资产折旧=(1200-200)×(1-5%)/5=190万元

息税前利润=600-200-0-190=210万元

调整所得税=210×25%=52.5万元

所得税后净现金流量=(600+102)-(100+200+27.2+0+0+52.5)=322.3万元

(2)使用上述公式计算各年数据,填入表中,见表3-8。

第3年的增值税计算应继续将未抵扣完的固定资产进项税。

3-8 项目投资现金流量表 (单位:万元)

978-7-111-49223-8-Part04-346.jpg

(续)

978-7-111-49223-8-Part04-347.jpg

(3)项目投资回收期(税后)=5-1+59.33/341.89=4.17年。

3.不能。理由:项目投资回收期(静态)一是不考虑资金的时间价值,二是不考虑投资回收以后的现金流量,因此不能够用来作为投资决策的依据。

4.(1)项目资本金现金流量表与项目投资现金流量表的区别在于:现金流出中还包括用于建设投资的项目资本金、用于流动资金的项目资本金、借款还本付息、所得税,其他项目相同。

(2)各年计提折旧=(1000+12)×(1-5%)/5=192.28万元

第6年回收固定资产余值=(1000+12)×5%=50.6万元

(3)采用等额还本、利息照付方式还款,因此各年还本付息额为

每年偿还本金=(400+12)/5=82.4万元

生产期第一年应付利息=412×6%=24.72万元,还本付息额=82.4+24.72=107.12万元;

978-7-111-49223-8-Part04-348.jpg,还本付息额=102.18万元;

978-7-111-49223-8-Part04-349.jpg,还本付息额=97.23万元;

978-7-111-49223-8-Part04-350.jpg,还本付息额=92.29万元;

978-7-111-49223-8-Part04-351.jpg,还本付息额=87.34万元。

(4)各年利润总额=销售收入-总成本费用-营业税金及附加=销售收入-经营成本-折旧-利息支出-营业税金及附加

生产期第一年利润总额=600-200-192.28-24.72-0=183万元

生产期第一年所得税=183×25%=45.75万元,其他各年计算方式同此。

(5)各年数据填入表中,见表3-9。

3-9 该项目资本金现金流量表 (单位:万元)

978-7-111-49223-8-Part04-352.jpg

(续)

978-7-111-49223-8-Part04-353.jpg

注意:项目资本金现金流量分析属于融资后分析,应以利润总额作为计算所得税的基数,同时建设期利息应纳入固定资产原值后计算折旧。

五、【解答】

1.土地补偿费和青苗补偿费属于机会成本性质的费用;安置补助费和地上附着物补偿费属于新增资源消耗的费用;耕地占用税属于转移支付的费用,不计入土地经济费用。

2.估算该项目的经济效益时应包括企业得到的销售收入和当地居民增加的年收入。

3.(1)过程1不正确,因为计算土地机会成本时用的是土地最佳可行替代用途的净效益,应该是1000元/亩,而不是800元/亩。

(2)过程2不正确,原料A作为项目投入物市场供应紧张,应采用含税的市场价格来确定其影子价格。

(3)过程3不正确,其公式应为:原料B的影子价格=到岸价×影子汇率+进口费用。

(4)过程4不正确。因产品C影响了市场价格,应取“有项目”和“无项目”两种情况下的价格平均值作为确定其影子价格的基础,即取(2500+2200)/2=2350元/t作为其市场价格;并且公式中应扣除国内运杂费:产品C的影子价格=2350-200=2150元/t。(注意:因产品C会挤占其他厂商的市场份额,所以采用不含税的市场价格)。

六、【解答】

1.(1)风险评价矩阵方法将风险程度分为微小风险、较小风险、一般风险、较大风险和重大风险5个等级。

(2)投资项目决策阶段的主要风险除了上述风险外,还有市场风险、组织管理风险、环境与社会风险。

2.(1)首先计算各因素的敏感系数:

产品售价增加10%时,ΔA=(67100-44500)/44500=0.508,E=0.508/0.1=5.08

产品售价降低10%时,ΔA=(22400-44500)/44500=-0.497,E=-0.497/-0.1=4.97

原料价格增加10%时,ΔA=(38100-44500)/44500=-0.144,E=-0.144/0.1=-1.44

原料价格降低10%时,ΔA=(51300-44500)/44500=0.153,E=0.153/-0.1=-1.53

(2)通过比较敏感性系数的绝对值,可以看出,E>E,说明项目投资财务净现值对产品售价变化的敏感程度高于原料价格。

3.不能。理由:敏感性分析虽然可以找出项目效益对之敏感的不确定性因素,并估计其对项目效益的影响程度,但却不能得知这些影响发生的可能性有多大,所以还需要进一步进行风险分析。

4.(1)先计算各种可能状态下的组合概率,见表3-10。

第一种状态下的组合概率=0.3×0.4=0.12,依此类推。

3-10 各种可能状态下的概率表

978-7-111-49223-8-Part04-354.jpg

(2)财务净现值的期望值=0.12×60400+0.06×67100+…+0.20×29000=40230万元。

考试试题

2013年注册咨询工程师(投资)执业资格考试试题

一、(20分)

某市为提高“十二五”期末服务业增加值比重,提出建设快速公交走廊工程、垃圾处理场、农贸市场等一揽子投资计划,以提高公共服务水平,促进当地服务业快速发展。

该计划涵盖的建设项目将影响全市3个区3个乡镇(街道)的5个村/社区,其中包括1个少数民族聚居区,需要征收180亩集体土地和城镇居民房屋31700m2,影响259户共994人;拆迁商业店铺50个,总建筑面积2800m2

项目单位从项目实施的必要性、有效性和经济性角度,自行对拟建项目社会稳定风险分析报告进行了评估论证,并提出了低风险的结论。同时,要求将征地拆迁及移民安置方案分析、社会稳定风险分析作为项目可行性研究报告的独立篇章。

问题:

1.该投资计划所含项目的土地、房屋征用及移民安置方案分析应重点关注哪些内容?

2.列出该投资计划所含项目可能影响社会稳定的三个主要风险因素。

3.项目单位有关社会稳定风险评估的做法是否正确?说明理由。

二、(25分)

甲工程咨询单位接受委托,为某市编制国民经济和社会发展规划,提出了国内生产总值、九年制义务教育巩固率、耕地保有量、城镇登记失业率、城镇居民人均可支配收入、城镇保障性安居工程建设量等规划指标。

该市政府为了落实城镇保障性安居工程规划,改善低收入群体的居住条件,计划2013年建设10万m2的廉租住房小区,以及小区道路和绿地等配套设施,解决2000户低收入居民的住房问题。建设资金主要来源于中央政府投资补助和地方政府配套资金。项目建设工作的主要内容包括:可行性研究、勘察设计、工程招标、工程施工、工程监理、竣工验收等。

甲工程咨询单位编制了该项目的可行性研究报告,内容包括:项目需求及目标定位、项目建设方案、项目实施方案、风险评价等,并采用逻辑框架法对项目进行了总体分析。

为保证项目顺利实施,项目业主要求工程施工阶段要有施工单位的工作记录和监理单位的监理报告。项目业主保留全部工程档案,所有工程资料都可以通过现场调查和文案调查获取。

问题:

1.甲工程咨询单位在规划报告中提出的各项指标,哪些属于约束性指标?哪些属于预期性指标?

2.该廉租住房项目的可行性研究报告除上述已给出内容外,还应包括哪些?

3.列出该廉租住房项目垂直逻辑各层次的具体内容。

4.列出该廉租住房项目水平逻辑产出层次的客观验证指标和验证方法。

三、(20分)

甲设计院接受委托,为某市新建污水处理厂项目进行可行性研究。在建设方案研究中,通过方案比较,推荐X厂址。为了合理布置工程总体空间和设施,还对项目的总图运输方案进行了优化。

该项目预计总投资10亿元,拟采用特许经营方式。通过招标,A公司与B公司组成的联合体中标。A公司为国内一家污水厂运营公司,技术力量雄厚,但资金不足;B公司为国内一家基础设施投资公司,资金实力雄厚。中标后,该联合体决定成立一个项目公司负责项目的融资、建设和运营。

该项目的资金筹措方案为:A、B公司分别出资股本金1亿元和3亿元,项目公司从银行贷款6亿元,贷款利率为7%。假设社会无风险投资收益率为4%,市场投资组合预期收益率为12%,污水处理行业投资风险系数为1.1,所得税税率为25%。

问题:

1.甲设计院在比选项目厂址时,应考虑哪些因素?

2.甲设计院在研究项目总图运输方案时,应考虑哪几方面的内容?

3.对于市政府而言,该项目采取特许经营项目融资具有哪些优点?

4.列式计算该项目的加权平均资金成本。

四、(25分)

甲咨询公司受A企业委托,为其风电项目提供投资咨询服务。

甲咨询公司搜集了2001—2011年我国风电装机容量发展变化数据(见表4-1)和A企业2006—2011年出售的风力发电机装机容量数据(见表4-2),拟采用简单移动平均法或一次指数平滑法预测企业未来3年的销售量。

4-1 我国风电装机容量变化情况

978-7-111-49223-8-Part04-355.jpg

4-2A企业出售的风力发电机装机容量变化情况

978-7-111-49223-8-Part04-356.jpg

为了明确A企业风电项目发展战略,甲咨询公司采用了优势、劣势、机会、威胁(SWOT)分析方法,有关事项如下:①按照风电“十二五”发展规划,我国海上风电的装机容量将从1000MW增加到5000MW;②政府对风电上网电价继续实施优惠政策;③风力发电机生产企业有100多家,市场竞争激烈;④A企业投资海上风力发电机起步较大型同行企业晚5年,所以初期市场占有率仅为8%;⑤A企业资金雄厚;⑥A企业技术研发力量强,近年陆续研发了国内领先的多个系列风机产品;⑦A企业生产的产品质量稳定;⑧A企业生产的风力发电机销量逐年上升,形成一定的品牌优势。

假设企业内部各因素权重相同,权重之和为1;企业外部各因素权重也相同,权重之和亦为1。内外部各因素评价得分绝对值均为4(得分区间为-5~5)。

问题:

1.根据我国风电装机容量变化趋势,判定当前我国风力发电机发展所处产品生命周期的阶段,并说明理由。

2.我国发展规划包括哪几类?风电发展“十二五”规划属于哪类规划?

3.甲咨询公司拟采用的预测方法是否合理,说明理由。

4.根据事项①~⑧,列出A企业SWOT分析中的优势、劣势、机会和威胁因素。

5.计算A企业风电发展内外部因素的综合得分,并据此确定A企业应采取的风电发展战略。

五、(20分)

甲工程咨询单位受乙企业委托,为某核准类工程项目开展前期咨询服务。进行风险分析时发现该项目主要风险发生的概率和影响为:①房屋征收风险发生的概率较高,发生后会严重影响项目按计划实施;②恶劣天气风险发生的可能性中等,发生后会导致较高的索赔;③承包单位违约风险发生的可能性及影响程度均较小。

该项目通过核准后,丙招标代理机构受乙企业委托,为该工程项目招标,招标文件规定:本工程评标采用经评审的最低投标价法,最低报价低于有效次低报价15%(含15%)者,为无效投标文件。

在招标过程中,相继发生了下列事件:

事件1:A、B、C、D、E五家单位报名投标,资格预审时因B单位非本地企业而未获通过。

事件2:踏勘现场时,C单位口头提出招标文件中的地质资料与现场情况有差异,乙企业工作人员口头答复并予以确认。

事件3:开标时发现,A单位还有一个相对较低的报价,但未声明哪份报价有效。

五家投标单位的投标报价数据见表5-1。

5-1 各投标单位报价数据

978-7-111-49223-8-Part04-357.jpg

问题:

1.请画出该项目的风险概率—影响矩阵,确定上述三类风险的等级,并从项目单位的角度提出相应的风险防范策略。

2.请指出事件1、事件2和事件3中有无不妥之处,请说明理由。

3.如各投标文件技术部分均可行,请推荐中标候选人,并说明理由。

六、(20分)

某新建项目建设投资为113500万元(含可抵扣固定资产进项税额8000万元),其中基本预备费为10000万元,涨价预备费为5000万元。项目计算期为6年,其中建设期1年,运营期5年,运营期内采用平均折旧及摊销。

项目营业收入和可变成本均采用运营期初的市场价格(不含增值税),营业税金及附加按增值税的12%计算,企业所得税税率为25%。项目现金流量按年末发生计,财务基准收益率(所得税后)设定为10%,项目投资现金流量见表6-1。

通过费用与效益识别,该项目可变成本及投资中设备、材料的影子价格均等同于其市场价格(不含增值税),土地经济费用应调增1000万元,其他各项财务效益与费用均能反映其经济价值。

6-1 项目投资现金流量表 (单位:万元)

978-7-111-49223-8-Part04-358.jpg

注:带“∗”空格处需计算。

问题:

1.计算项目第2年和第3年的应纳增值税和营业税金及附加。

2.计算项目第2年和第3年的调整所得税。

3.计算项目第2年和第3年的现金流出、净现金流量以及项目投资财务净现值(所得税后),并判断项目的财务可行性。

4.计算本项目经济费用流量中的建设投资。

(要求列出计算过程,计算结果保留整数。)

参考答案

一、

1.(1)土地利用方案分析重点评价:土地利用是否符合相关规划的要求,土地利用方案是否符合保护耕地等政策法规的要求。

(2)征地拆迁及移民安置方案分析:应提出城镇居民拆迁方案、农村移民安置方案及征地补偿方案、收入恢复及后期扶持计划,并对方案的合理性以及征地拆迁及移民安置可能造成的风险及其规避对策进行分析。

2.项目可能影响社会稳定的三个主要风险因素有:移民安置问题,民族矛盾、宗教问题,受损补偿问题。

3.(1)项目单位自行进行社会稳定风险评估的做法不正确,理由:按规定,应由项目所在地人民政府或其有关部门指定的评估主体组织对项目单位作出的社会稳定风险分析开展评估论证。

(2)要求将征地拆迁及移民安置方案分析、社会稳定风险分析作为项目可行性研究报告的独立篇章的做法不完全正确,理由:按规定,社会稳定风险分析应当作为项目可行性研究报告、项目申请报告的重要内容并设独立篇章;而征地拆迁及移民安置方案分析是项目可行性研究报告应包括的重要内容,不设独立篇章。

(见《国家发展改革委重大固定资产投资项目社会稳定风险评估暂行办法》第五条、第三条)

【解析】 本题涉及考点有三个:项目可行性研究中征地拆迁、移民安置方案分析的内容、社会评价中的社会风险分析。2013年增考内容:重大项目社会稳定风险评估。工程咨询服务内容是考核重点,每年必考;当年新增考内容必考,是复习重点。需要注意的是第二问中对社会风险的分析,不仅是直接的简述题,还是判断分析题,根据此题的项目情况,弱势群体支持问题不是它的主要风险因素。

二、

1.(1)九年制义务教育巩固率、耕地保有量、城镇保障性安居工程建设量等指标属于约束性指标。

(2)国内生产总值、城镇登记失业率、城镇居民人均可支配收入等指标属于预期性指标。

2.还应包括土地利用与移民安置方案、环境保护措施方案及环境影响评价、投资估算、资金筹措方案、费用效果分析、社会影响分析等内容。

3.该廉租住房项目垂直逻辑各层次的内容:

(1)目标:为了落实城镇保障性安居工程规划,改善低收入群体的居住条件。

(2)目的:解决2000户低收入居民的住房问题。

(3)产出:10万m2的廉租住房小区,以及小区道路和绿地等配套设施。

(4)投入和活动:建设资金主要来源于中央政府投资补助和地方政府配套资金,以及上面所述项目建设的各项工作。

4.项目水平逻辑产出层次的内容:

(1)客观验证指标:2013年建成10万m2的廉租住房小区,满足2000户低收入居民居住。

(2)验证方法:信息来源是施工单位的工作记录和监理单位的监理报告及其他工程档案,采用方法是现场调查和文案调查。

【解析】 本题涉及考点有三个:规划指标分析、政府投资项目可行性研究重点关注的内容、逻辑框架法。要掌握企业投资项目与政府投资项目在可行性研究阶段论证内容的异同点,以及企业投资、境外项目、外商投资项目在核准申请报告上的异同点,对于关联性强的内容通过记忆不同点来复习。对于逻辑框架法,重点掌握其框架结构及其含义。

三、

1.在比选项目厂址时,应考虑:建设条件、投资费用、运营费用、运输条件和运输费用、环境保护条件和安全条件。

2.研究项目总图运输方案时,应考虑:总体布置与厂区总平面布置、竖向布置、运输、厂区道路、绿化、总图技术经济指标等内容。

3.对于市政府而言,特许经营项目融资的优点有:①拓宽资金来源,减少政府的财政支出和债务负担;②降低政府风险;③发挥外资和民营机构的能动性和创造性;④合理利用资源;⑤有利于发展国民经济、金融资本市场和法律体系。

4.(1)权益资金成本采用资本资产定价模型法:

Ks=Rf+βRm-Rf)=4%+1.1×(12%-4%)=12.8%

(2)所得税后的债务资金成本:

所得税前资金成本×(1-所得税税率)=7%×(1-25%)=5.25%

978-7-111-49223-8-Part04-359.jpg

【解析】 本题涉及考点有四个:场(厂)址比选内容、总图运输方案的内容、特许经营项目融资、资金成本计算。特许经营项目融资的优点不容易记忆,可从减轻政府负担、有效利用外资或民间资本、提高项目成功度等方面来理解记忆。资金成本计算掌握权益资金、债务资金的不同计算方法,债务资金成本还要考虑税前税后问题。

四、

1.处于成长期。理由:表4-1的数据显示,新增风电装机容量逐年增长,2005—2009年急剧增长,随后仍处在增长中。(也可通过画产品生命周期曲线判断,如下图)

978-7-111-49223-8-Part04-360.jpg

2.(1)我国发展规划包括三类:总体规划、专项规划、区域规划。(2)风电发展“十二五”规划属于专项规划。

3.不合理,理由:移动平均法或指数平滑法适用于近期或短期预测,大多数情况下只用于以月度或周为单位的近期预测;而且只是在处理水平型历史数据时才有效。

4.A企业的优势因素为⑤、⑥、⑦、⑧,劣势因素为④,机会因素为①、②,威胁因素为③。

5.内部因素的综合得分=4×0.2×4-4×0.2=2.4

978-7-111-49223-8-Part04-361.jpg

根据SWOT分析图,企业处于右上角第一象限,应采取增加投资、扩大生产、提高市场占有率的增长性战略。(SWOT分析图省略)

【解析】 本题涉及考点有四个:产品生命周期、发展规划类型、市场预测方法特点、SWOT分析。对于咨询方法的考核关键是按步骤一步步地分析计算,要求写全公式、代入数据、计算准确;方法的适用范围、特点等定性内容也要背诵掌握。像SWOT分析这类带图的计算题,要看清题目要求是否画图,如果没要求可在草稿上画图辅助答题。

五、

1.(1)先画出项目风险概率—影响矩阵:

978-7-111-49223-8-Part04-362.jpg

(2)房屋征收风险发生的概率较高、造成严重影响,位于S区域,属于重大风险;恶劣天气风险发生的可能性中等、造成较大影响,位于H区域,属于较大风险;承包单位违约风险发生的可能性及影响程度均较小,位于L区域,属于较小风险。

(3)从项目单位的角度,相应的风险防范策略有风险回避、风险减轻、风险转移和风险接受。

2.(1)事件1中因非本地企业而排斥B单位不妥,理由:按规定,招标人不得以不合理的条件限制或者排斥潜在的投标申请人,不得对投标申请人实行歧视待遇。

(2)事件2中乙企业工作人员口头答复并予以确认不妥,理由:按规定,对于潜在投标人在阅读招标文件和现场踏勘中提出的疑问,招标人可以书面形式或召开投标预备会的方式解答,但需同时将解答以书面方式通知所有购买招标文件的潜在投标人。该解答的内容为招标文件的组成部分。

(3)事件3中评标委员会应当否决A单位投标,理由:按规定,同一投标人提交两个以上不同的投标文件或者投标报价,但招标文件要求提交备选投标的除外,评标委员会应当否决其投标。

3.A单位已被淘汰,现比较B、C、D、E的报价:

采用经评审的最低投标价法,E为最低报价,B为次低报价。

因(2430-1980)÷2430=18.52%>15%

所以,E为无效投标文件,推荐B为中标候选人。

【解析】 本题涉及考点有两个:项目风险分析和工程项目招标投标规定。这两块内容复习起来相对简单,招标投标规定熟读一遍能判断对错即可。

六、

1.(1)第2年:

应纳增值税=销项税额-进项税额-可抵扣固定资产进项税额

=8687-3478-8000=-2791(万元)<0,

应纳增值税为0,营业税金及附加为0。

(2)第3年:

应纳增值税=9652-3865-2791=2996万元

营业税金及附加=2996×12%≈360万元

2.因固定资产相关数据无法确定,需要根据第4年的调整所得税来反推年折旧摊销额:

息税前利润=营业收入-经营成本-折旧摊销-营业税金及附加,故:

(61426-27441-折旧摊销-694)×25%=3239万元

则折旧摊销=20335万元

(1)第2年:

息税前利润=55284-25093-20335-0=9856万元

调整所得税=息税前利润×25%=9856×25%=2464万元

(2)第3年:

息税前利润=61426-27441-20335-360=13290万元

调整所得税=13290×25%≈3323万元

3.(1)第2年:

现金流出=3058+25093+3478+0+0+2464=34093万元

净现金流量=63971-34093=29878万元

第3年:

现金流出=269+27441+3865+2996+360+3323=38254万元

净现金流量=71078-38254=32824万元

978-7-111-49223-8-Part04-363.jpg

该项目具有财务可行性。

4.调整财务分析中的建设投资:

(1)把涨价预备费剔除。

(2)投资中的设备、材料按不含税价格计算,剔除进项税额。

(3)调增土地经济费用。

(4)经济费用流量中的建设投资=113500-5000-8000+1000=101500(万元)

【解析】 本题涉及考点有两个:项目投资现金流量分析和把财务分析数据调整为经济分析数据。项目投资现金流量分析要重点把握两点,一是调整所得税的计算,二是可抵扣固定资产进项税额的影响(影响固定资产原值和应纳增值税的计算)。经济数据的调整主要是把转移支付因素、通货膨胀因素剔除,注意调整过程中不要漏项。本题的难点在于题中第二问利用已知年份的调整所得税反推折旧摊销额,再用得到的数据计算未知年份的调整所得税。

2014年注册咨询工程师(投资)执业资格考试试题

一、(20分)

某工程咨询公司针对自身业务发展与风险应对需要,组织专题研讨会,提出了下列要求:

(1)在目标市场选择中除了要考虑外部环境因素外,还应结合本公司的专业特长,对自身条件进行分析。

(2)根据公司发展战略目标和对自身条件的分析,进行准确的市场定位。

(3)为加强市场营销,办一个专业刊物,扩大影响力。

(4)加强咨询业务合同管理,防范法律责任风险。

【问题】

1.工程咨询公司目标市场选择中,对自身条件分析评估包括哪些内容?

2.市场定位的具体步骤是什么?

3.除了出版专业刊物外,工程咨询公司还有哪些主要营销手段?

4.除了法律责任风险外,咨询业务还有哪些主要风险?

二、(25分)

A公司根据市场信息,准备在B地投资建厂,委托工程咨询公司为其提供决策咨询服务,A公司提供的信息如下:

(1)目前A公司的产能为710万件/年。

(2)市场需求:预测未来市场需求总量为8000万件/年,且A公司产品在市场占有份额预计为10%。

(3)B地建厂可提供的投资方案:

方案1,采用自动化设备,年总固定成本为800万元,单位可变成本为10元/件。

方案2,采用半自动化设备,年总固定成本为600万元,单位可变成本为12元/件。

方案3,采用非自动化设备,年总固定成本为400万元,单位可变成本为16元/件。

产品的售价为22元/件,营业税金及附加0.6元/件。

(以上售价和成本均不含增值税)

【问题】

1.A公司在B地建厂的设计生产能力应以多少为宜?说明理由。

2.分别列出上述信息(3)中三种不同投资方案的总成本与产量关系式。

3.指出在不同的产能区间,三个投资方案的优劣排序,根据B地建厂的设计生产能力,确定最优投资建厂方案。

4.以A公司最优决策方案为基础,分别计算以产量和产品售价表示的盈亏平衡点,计算达到设计生产能力时的年利润。

5.简述盈亏平衡分析的作用。

(注:计算结果保留两位小数)

三、(20分)

某政府投资项目的总投资额为8000万元,项目建设单位决定自行组织招标,招标人在招标文件中对有关时限作出如下规定:

(1)投标截止时间为自招标文件停止出售之日起第18日上午8时整。

(2)投标有效期从发售招标文件之日开始计算,共90天。

(3)接收投标文件的最早时间为投标截止时间前48小时。

(4)若投标人要修改、撤回已提交的投标文件,须在投标截止时间24小时前提出。

在评标过程中,评标委员会要求B、D两投标人分别对其拟采用的施工组织设计作出详细说明,并对有关关键技术问题提出改进要求。作为评标委员会的招标人代表希望投标人B再考虑降低报价的可能性。

【问题】

1.招标人自行组织招标需要具备什么条件?

2.该项目招标人是否应当办理招标备案?说明理由。

3.分别指出招标人在招标文件中对有关时限的规定是否正确,说明理由。

4.分别指出评标过程中有哪些不妥之处,说明理由。

四、(20分)

某市拟新建地铁3号线,该市地铁建设管理公司委托某工程咨询公司承担该项目社会经济效益研究工作。该工程咨询公司通过现场访谈调查和文案调查,获得了大量的项目基础信息,编制了项目经济费用效益相关数据表(表4-1),项目计算期为30年,社会折现率为6%。

4-1 项目经济费用效益相关数据 单位:百万元

978-7-111-49223-8-Part04-364.jpg

根据初步社会评价的结果,工程咨询公司采用定量与定性分析相结合的方法,开展了详细社会评价,识别出社会因素并进行了分组排序,复利系数见表4-2。

4-2 复利系数

978-7-111-49223-8-Part04-365.jpg

【问题】

1.工程咨询公司进行项目市场调查时,除已采用的方法外,还可以采用哪些主要调查方法?

2.根据表4-1中的数据,计算该项目各年净效益流量、经济净现值,将计算结果填入答题区域的表中,并判断项目是否具有经济合理性。

3.工程咨询公司在详细社会评价中进行“识别社会因素并排序”工作时的社会因素分组排序依据是什么?

(注:计算结果保留两位小数)

五、(25分)

某地政府部门委托某工程咨询公司对本地区的能源利用状况进行市场调查,调查统计的该地区2013年能源消耗和产值情况见表5-1。

5-12013年某地区能源消耗和产值统计

978-7-111-49223-8-Part04-366.jpg

为了资源的可持续利用,该地区政府部门要求到2018年该地区能源消耗总量控制在700万t标准煤以内,并据此制订相应的5年规划。

按照目前发展思路,初步规划方案预计2018年该地区各类用户的数量分别达到:居民家庭150万户,工业企业2.3万户,服务企业1.4万户,其他行业0.3万户,机关事业单位数量不变。

【问题】

1.若各用户的年单位能源消耗量不变,用消费系数法预测2018年该地区各用户能源需求量和地区总需求量,并判断是否符合该地区能源消耗总量控制指标要求。

2.若采用德尔菲法对该地区能源消耗情况进行预测,写出工程咨询公司的工作程序。

3.按照地区政府部门对2018年能源消耗的控制要求,依据目前该地区能源消耗和产值状况,量化分析该地区的产业能源消耗结构和产业产值贡献比例,并分析两者的关系。

4.通过上述分析,为合理降低该地区2018年能源消耗总量,阐述在规划中应提出的建议措施。

(注:计算结果保留两位小数)

六、(20分)

某生产企业主要生产A、B两类产品,目前市场对C产品的需求在增加,据此该企业拟投资建设生产C产品的项目,组建了项目工作小组以更好地分析A、B产品市场和进行C产品项目的前期工作,项目工作小组开展了下列工作:

(1)项目经理召集工作小组成员进行市场研究,大家讨论得出的主要观点有:①进行市场调查,只有通过实地调查才能获得有效的调查数据。②定性预测不能给出明确的市场需求量,因此在预测市场需求量时,应排除定性预测法。

(2)通过市场调查,项目工作小组获得了2013年A、B产品的市场销售数据,见表6-1。

6-12013A、B产品市场销售数据

978-7-111-49223-8-Part04-367.jpg

(3)通过市场调查,项目工作小组获得了2013年市场上C产品的销售额信息,见表6-2。

6-22013C产品市场销售额数据

978-7-111-49223-8-Part04-368.jpg

【问题】

1.分别判断(1)中项目工作小组成员的观点是否正确,简要说明理由。

2.绘制波士顿矩阵,分析说明A、B产品分别属于企业的什么业务,并说明理由;该企业应对其分别采取什么策略?

3.用移动平均法预测C产品2014年前三个月的市场销售额(n=3)。

(注:计算结果保留两位小数)

参考答案

1.工程咨询公司在目标市场选择中对自身条件分析评估的内容包括:经营范围、专业特长、技术力量、资金能力、管理水平、地域和文化背景优势等。

2.市场定位的具体步骤主要有:

(1)首先,应确认咨询单位自身的竞争优势。

(2)其次,通过对比分析明确在目标市场的相对竞争优势。

(3)再次,通过一系列的营销活动,展示自己特有的竞争优势,以便在客户心目中树立起具有特色的咨询产品形象。

3.除了出版专业刊物外,工程咨询公司的主要营销手段还包括:

①建立网页;②争取客户举荐;③广告宣传;④树立品牌形象;⑤保持良好的公共关系。

4.除了法律责任风险外,咨询业务的主要风险还包括:

①政治风险;②市场风险;③管理风险;④财务风险;⑤道德风险。

【解析】 此题考核的是科目一《工程咨询概论》中工程咨询单位的市场开发和风险管理,问题明确、答案清楚,需要考生从咨询单位角度出发对相关知识加以理解记忆。

二、

1.根据题中预测的市场需求和A公司的产品市场占有份额,则A公司在B地建厂的设计生产能力宜为:8000×10%-710=90(万件)。

理由:企业的生产应满足市场的需要,当年生产的产品尽量能实现当年全部销售;A公司产品年市场需求量为800万件,现有产能710万件/年,所以只需新增90万件/年即可满足要求。

2.用C表示总成本,单位为万元;Q表示产量,单位为万件。

三种不同投资方案的总成本与产量关系式如下:

方案1:C1=800+10×Q

方案2:C2=600+12×Q

方案3:C3=400+16×Q

3.(1)方案的优劣顺序根据总成本排列,总成本越低越好。(可画出三个投资方案的盈亏平衡分析图进行判断,如图2-1所示)

978-7-111-49223-8-Part04-369.jpg

图2-1 三个投资方案的盈亏平衡分析

C1=C2时,800+10×Q=600+12×QQ=100万件,

C2=C3时,600+12×Q=400+16×QQ=50万件,

C1=C3时,800+10×Q=400+16×QQ=66.67万件,

则当产量小于50万件时,三个方案的优劣为:方案3>方案2>方案1;

则当产量在50万件到66.67万件之间时,三个方案的优劣为:方案2>方案3>方案1;

则当产量在66.67万件到100万件之间时,三个方案的优劣为:方案2>方案1>方案3;

当产量大于100万件时,三个方案的优劣为:方案1>方案2>方案3。

(2)因B地建厂的设计生产能力为90万件/年,故方案2为最优投资建厂方案。

4.(1)最优决策方案2的产量的盈亏平衡点为:

BEP(产量)=年总固定成本/(单位产品价格-单位产品可变成本-单位产品销售税金与附加)=600/(22-12-0.6)=63.83万件。

(2)最优决策方案的产品售价的盈亏平衡点为:

BEP(产品售价)=(年总固定成本/设计生产能力)+单位产品可变成本+单位产品销售税金与附加=600/90+12+0.6=19.27元。

(3)当达到设计生产能力时的年利润为:

22×90-(600+12×90+0.6×90)=246万元

5.盈亏平衡分析的作用为:通过盈亏平衡分析可以找出盈亏平衡点,考查企业或项目对市场导致的产出(销售)量变化的适应能力和抗风险能力。用产量和生产能力利用率表示的盈亏平衡点越低,表明企业适应市场需求变化的能力越大,抗风险能力越强;用产品售价表示的盈亏平衡点越低,表明企业适应市场价格下降的能力越大,抗风险能力越强。盈亏平衡分析只适宜在财务分析中应用。

【解析】 此题考核的是科目四《项目决策分析与评价》中盈亏平衡分析的内容,既有定性知识点又有定量计算,同时利用盈亏平衡的概念加以扩展,通过比较总成本费用大小进行方案比选。在计算盈亏平衡点的基础上,出题方式有所变化,虽然不是常规问法有一定难度,但万变不离其宗,考生在复习时一定要抓住核心概念(公式),充分利用题目所给条件进行解答。

三、

1.招标人自行组织招标的,应具备下列条件:

(1)具有项目法人资格(或者法人资格)。

(2)具有与招标项目规模和复杂程度相适应的工程技术、概预算、财务和工程管理等方面专业技术力量。

(3)有从事同类工程建设项目招标的经验。

(4)拥有3名以上取得招标职业资格的专职招标业务人员。

(5)熟悉和掌握招标投标法及有关法规规章。

2.(1)该项目招标人应当办理招标备案。

(2)理由:按《招标投标法》规定,依法必须进行招标的项目,招标人自行办理招标事宜的,应当向有关行政监督部门备案。

3.规定(1)正确。理由:一是资格预审文件或者招标文件的发售期不得少于5日;二是依法必须进行招标的项目,自招标文件开始发出之日起至投标人提交投标文件截止之日止,最短不得少于20日。题目中从招标文件停止出售之日起算,5+18>20。

规定(2)不正确。理由:投标有效期从提交投标文件的截止之日起算。

规定(3)不正确。理由:投标人应当在招标文件要求提交投标文件的截止时间前,将投标文件送达投标地点。对接收投标文件的最早时间无明确要求,只要在投标截止时间之前都应该接收。

规定(4)不正确。理由:投标人在招标文件要求提交投标文件的截止时间前,可以补充、修改、替代或者撤回已提交的投标文件,并书面通知招标人。题中提出规定时间不合理。

4.(1)对B、D投标人提出的要求不妥。理由:评标委员会可以要求投标人对投标文件中含义不明确的内容作必要的澄清或者说明,但是澄清或者说明不得超出投标文件的范围或者改变投标文件的实质性内容。

(2)希望投标人B再考虑降低报价的可能性,不妥。理由:评标委员会不得向投标人提出带有暗示性或诱导性的问题,或向其明确投标文件中的遗漏和错误。

【解析】 此题考核的是科目三《工程项目组织与管理》中的招标投标管理,知识点都是出自相关法律法规,如《招标投标法》、《招标投标法实施条例》、《工程建设项目施工招标投标办法》等。出题方式比较多的是判断表述题型,难点在于“理由”的陈述,一定要符合规定要求。这部分内容的复习方法是理清法律条款,按招标投标程序分清记忆层次;还需要随时关注相关法律法规的修订。

四、

1.除已采用的方法外,还可以采用的调查方法有:问卷调查、专家调查、现场测量和历史资料调查法。

2.(1)根据表4-1中的数据,分别计算效益流量、费用流量,再计算该项目各年净效益流量、经济净现值,并将计算结果填入表4-3中。

各年净效益流量=年效益流量-年费用流量

经济净现值=-4000×(1+6%-1-6000×(1+6%)-2+722×(P/F,6%,3)+926×(P/F,6%,4)+928×(P/A,6%,25)×(P/F,6%,4)+3612×(P/F,6%,30)

=-3773.58-5339.98+606.19+733.48+9396.68+628.85

=2251.64百万元

4-3 项目投资经济费用效益流量 单位:百万元

978-7-111-49223-8-Part04-370.jpg

(2)由计算可知,该项目投资经济净现值为2251.64百万元>0,即计算期为30年的地铁建设项目具有经济合理性。

3.对社会因素按其正面影响与负面影响、持续时间长短、风险度大小、风险变化趋势(减弱或强化)进行分组排序。

【解析】 此题综合型比较强,考核了三个知识点,一是科目一《工程咨询概论》中调查法的种类,这个知识点与科目四中市场调查法的内容有重叠,调查法是项目决策分析与评价过程中用的通用方法,自然也能应用到市场调查中,虽然两处表述有所差异,但方法内容是相同的;二是科目四中的经济费用效益分析,计算相对比较简单,只要按照已给的数据准确判断哪些属于效益流量、哪些属于费用流量,然后计算净效益流量和经济净现值即可;三是科目四中社会评价的详细社会评价方法,考核点比较细有一定难度,对记忆要求比较高。

五、

1.(1)计算各类用户的消费系数:

居民家庭消费系数=100÷125=0.8t/(每户·每年);

工业企业消费系数=500÷2=250t/(每户·每年);

服务企业消费系数=30÷1.2=25t/(每户·每年);

机关事业单位消费系数=2÷0.1=20t/(每户·每年);

其他行业消费系数=8÷0.2=40t/(每户·每年)。

(2)计算各类用户2018年的能源消耗量:

居民家庭消耗量=150×0.8=120万t;

工业企业消耗量=2.3×250=575万t;

服务企业消耗量=1.4×25=35万t;

机关事业单位消耗量=0.1×20=2万t;

其他行业消耗量=0.3×40=12万t。

则地区总需求量=120+575+35+2+12=744万t。

(3)地区总需求量744万t>700万t,不符合该地区2018年能源消耗总量控制指标的要求。

2.德尔菲法一般包括五个步骤:①建立预测工作组;②选择专家;③设计调查表;④组织调查实施;⑤汇总处理调查结果。

3.(1)分析该地区的产业能源消耗结构:

居民家庭:100/640=15.63%

工业企业:500/640=78.13%

服务企业:30/640=4.69%

机关事业单位:2/640=0.31%

其他行业:8/640=1.25%

(2)分析该地区的产业产值贡献比例:

居民家庭:0

工业企业:250/980=25.51%

服务企业:600/980=61.22%

机关事业单位:50/980=5.10%

其他行业:80/980=8.16%

(3)两者的关系:工业企业能源消耗所占比例较大,为78.13%,但相应的产值贡献率仅为25.51%,能耗产值贡献较差;服务企业能耗所占比例较小,为4.69%,但是却贡献了61.22%的产值。

4.建议:提高工业企业能效标准,降低单位产值排放;关停效率较低的高耗能企业;推广先进的节能减排技术和设备,降低工业企业和居民家庭能耗;提高能源综合利用水平,开发新能源和可再生能源;加大企业转型,推进服务业发展。

【解析】 此题第1、2问考核的是市场预测方法中的消费系数法和德尔菲法,计算简单,内容明确;第3、4问属于扩展题目,书中无明确答案,而是依托相关概念要求考生进行实际问题的分析,考核考生的综合分析能力。这就需要考生平时多注重相关知识储备。

六、

1.(1)观点①不正确。理由:市场调查的方法除了实地调查法,还有文案调查、问卷调查、实验调查等。各种方法各有优缺点,均可获得有效的调查数据。

(2)观点②不正确。理由:在市场预测中应采用定性和定量相结合的方法,定性预测也可凭借专家个人和群体的经验、知识进行市场未来趋势、规律、状态的判断。

2.(1)计算产品的市场成长率和相对市场份额:

A产品的市场年平均增长率为15%,相对市场份额为:1000÷1200=0.83。

B产品的市场年平均增长率为3%,相对市场份额为:8800÷6800=1.29。

(2)绘制波士顿矩阵,并标示A、B产品的位置,如图6-1所示。

978-7-111-49223-8-Part04-371.jpg

图6-1 波士顿矩阵

(3)由波士顿矩阵图可知,A产品属于问题业务,B产品属于金牛业务。

(4)对于A产品应深入分析企业是否具有发展潜力和竞争力优势,决定是否追加投资、扩大企业市场份额;对于B产品采取的策略是维持其稳定生产,不再追加投资,以便尽可能地回收资金,获取利润。

3.根据简单移动平均法的计算公式:978-7-111-49223-8-Part04-372.jpg

n=3,则:

2014年1月市场销售额Q1=(x10+x11+x12/3=(200+230+270)/3=233.33万元;

2014年2月市场销售额Q2=(x11+x12+Q1/3=(230+270+233.33)/3=244.44万元;

2014年3月市场销售额Q3=(x12+Q1+Q2/3=(270+233.33+244.44)/3=249.26万元;

C产品2014年前三个月的市场销售额=233.33+244.44+249.26=727.03万元。

【解析】 此题考核的是市场预测方法和战略分析方法,相对比较简单,答题的要点是写清分析步骤,列出分析过程,得出分析结果。

[1]最小二乘法基本原则是对于确定的方程,使观察值对估算值偏差的平方和最小。需要说明的是,读者可以不必深究推导过程中某些数学概念的具体内容,重点记忆有关公式即可。

[2]PEST分析是从政治(P)、经济(E)、社会(S)和技术(T)四个方面分析影响企业发展的主要外部环境因素,可以企业外部因素评价矩阵的方式呈现。

[3]项目发起人是发起一个投资活动的组织,可以是项目实际权益资金的投资人,也可以是产品或服务的用户或者提供者、项目业主等。

[4]1亩=666.6m2