练习题
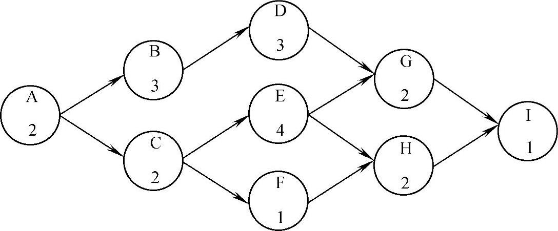
已知某单位工程项目的网络计划图如图3-7所示,该施工项目于2010年12月签订,于2011年1月开工。该工程的各项工作均按最早开始时间安排,工作A两个月的工作量比例为1∶2,其他工作每月所完成的工作量相等。各工作的计划工程量和实际工程量见表3-4。

图3-7 某工程项目的网络计划图
表3-4 各项工作计划工程量和实际工程量

合同约定,该项目混凝土结构工程综合单价为1000元/m3,按月结算。结算价按每月的混凝土结构工程价格指数进行调整,工程价格指数表见表3-5。
施工前,由于施工单位原因导致工作D需拖延一个月完成。
表3-5 施工期间各月的混凝土结构工程价格指数

问题:分析第十月末的费用偏差和进度偏差(以费用绝对值表示)。