编制进度计划的方法

编制进度计划的方法

制订进度计划的方法很多,最常用的方法有:关键路线法(Critical Path Method,CPM)、计划评审技术(Program Evaluation and Review Technique,PERT)、图示评审技术(Graphical Evaluation and Review Technique,GERT)等。

(一)三种网络计划技术的含义及区别(表2-4)

2-4 三种网络计划技术的含义及区别

978-7-111-49223-8-Part03-34.jpg

(二)关键路线法

1.相关概念

(1)工作持续时间(Dij) 工作持续时间是指一项工作从开始到完成的时间。

(2)工期 泛指完成一项任务所需要的时间。在网络计划中,工期一般有以下三种:

1)计算工期Tc——是指根据网络计划时间参数计算而得到的工期。

2)要求工期Tr——是指任务委托人所提出的指令性工期。

3)计划工期Tp——是指根据要求工期和计算工期所确定的作为实施目标的工期。

①当已规定了要求工期时,计划工期不应超过要求工期,即

TpTr

②当未规定要求工期时,可令计划工期等于计算工期,即

Tp=Tc

(3)关键线路 在关键线路法(CPM)中,线路上所有工作的持续时间之和称为该线路的总持续时间。总持续时间最长的线路称作关键线路(如果工作不多可以此来确定关键线路)。关键线路的长度就是网络计划的总工期。

在网络计划中关键线路可能不止一条,而且在网络计划执行过程中,关键线路还会发生转移。

(4)关键工作 位于关键线路上的工作称为关键工作。在网络计划的实施过程中,关键工作的实际进度提前或拖后,均会对总工期产生影响。因此,关键工作的实际进度是进度控制中的重点。

2.网络图中的六个时间参数

(1)最早开始时间ESij(Earliest Start Time) 它是指在其所有紧前工作全部完成后,本工作有可能开始的最早时刻。

(2)最早完成时间EFij(Earliest Finish Time) 它是指在其所有紧前工作全部完成后,本工作有可能完成的最早时刻,EFij=ESij+Dij

(3)最迟完成时间LFij(Latest Finish Time) 它是指在不影响整个任务按期完成的前提下,本工作必须完成的最迟时刻。

(4)最迟开始时间LSij(Latest Start Time) 它是指在不影响整个任务按期完成的前提下,本工作必须开始的最迟时刻,LSij=LFij-Dij

(5)总时差TFij(Total Float Time) 它是指在不影响总工期的前提下,本工作可以利用的机动时间。

(6)自由时差FFij(Free Float Time) 它是指在不影响其紧后工作最早开始时间的前提下,本工作可以利用的机动时间。

3.双代号网络图时间参数的计算

(1)时间参数的数学计算模型(表2-5) 下面取一网络片断作为计算简图(图2-15),双代号网络图的时间参数标注方法如图2-16所示。

978-7-111-49223-8-Part03-35.jpg

图2-15 计算简图

978-7-111-49223-8-Part03-36.jpg

图2-16 双代号网络图时间参数的标注方法

2-5 时间参数的计算模型及记忆方法

978-7-111-49223-8-Part03-37.jpg

(续)

978-7-111-49223-8-Part03-38.jpg

978-7-111-49223-8-Part03-39.jpg

(2)计算步骤 手工计算一般采用图上计算法或表上计算法,也可通过计算机计算,不管采用哪种方法,其计算步骤大致相同,具体为:

1)计算工作的最早时间。从左向右逐项工作进行计算。先定计划的开始时间,网络图中的起始节点一般取相对时间为第0天,则第一项工作的最早开始时间为第0天,将它与第一项工作的持续时间相加,即为该工作的最早完成时间;逐项进行计算,一直算到最后一项工作,其最早完成时间即为该计划的计算工期。

2)确定网络计划的计划工期。如果项目的总工期没有特殊的规定,一般取项目的计划工期为计算工期。

3)计算工作的最迟时间。从右向左逐项进行计算。先定计划工期,最后一项工作的完成时间即为所定的计划工期时间,将它与其持续时间相减,即为最后一项工作的最迟开始时间;逆方向逐项进行计算,一直算到第一项工作。

4)计算工作的总时差。每一工作的最迟时间与最早时间之差,即为该工作的总时差。

5)计算工作的自由时差。某一工作的自由时差为其紧后工作的最早开始时间最小值减去本工作的最早完成时间。

6)将各参数按规定标至网络图上,如图2-16所示。

7)确定网络计划中的关键线路。总时差为零的工作为关键工作,将这些关键工作首尾相连在一起即为关键线路,一般用粗箭线或双箭线表示。

(3)图上计算法 直接在网络图上进行时间参数计算的方法。

【例2-5】 根据双代号网络图,利用图上计算法计算各项参数,如图2-17所示。双箭线表示关键线路。

【解答】 计算步骤省略(图2-17)。

(4)表上计算法。直接在表上计算时间参数的方法。

【例2-6】 仍以上题为例,利用表上计算法计算各项参数。

【解答】 先把第二、第三列的数字填上,然后填第一列;根据步骤逐项计算,最早时间是从上往下逐个计算,最迟时间是从下往上逐个计算,结果见表2-6。

978-7-111-49223-8-Part03-40.jpg

图2-17 双代号网络计划-时间参数图上计算法

2-6 时间参数计算表

978-7-111-49223-8-Part03-41.jpg

(三)单代号网络图时间参数的计算

如节点不多可直接在网络图上计算时间参数,方法与双代号网络相同。计算最早时间从左往右逐个节点计算,计算最迟时间则从右往左算,之后计算总时差和自由时差,将时差为零的节点用粗箭线或双箭线连接起来即为关键线路。时间参数的标注方法如图2-18所示。

978-7-111-49223-8-Part03-42.jpg

图2-18 单代号表示法

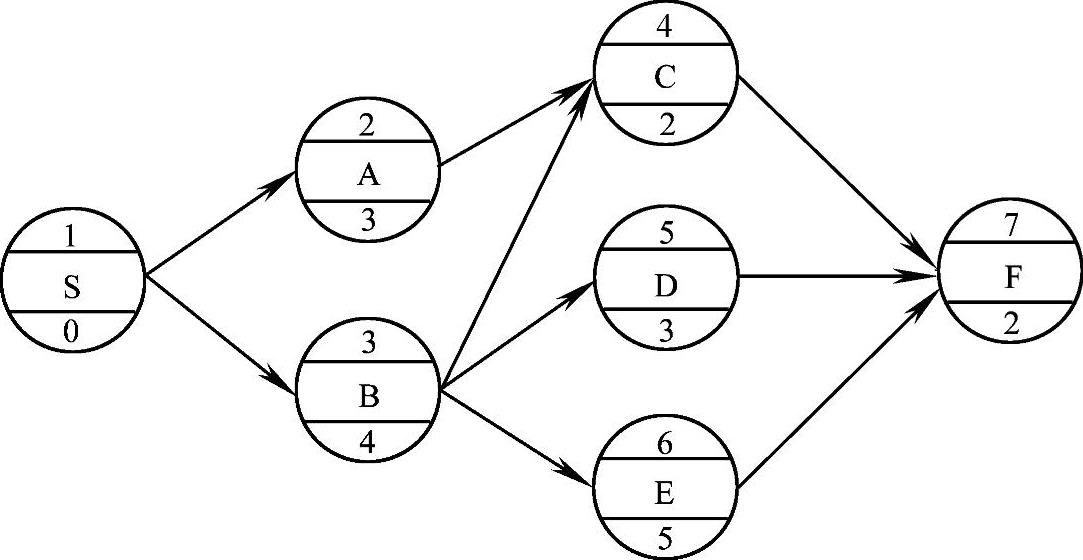
【例2-7】 某单代号网络图见图2-19,计算其时间参数。

978-7-111-49223-8-Part03-43.jpg

图2-19 单代号网络图

【解答】 按照步骤逐项计算,结果如图2-20所示,图中双箭线表示关键线路。

978-7-111-49223-8-Part03-44.jpg

图2-20 单代号网络计划时间参数计算图