参考答案

参考答案

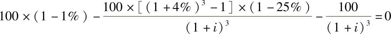
1.计算扣除通货膨胀影响的资金成本时应首先计算扣除所得税的影响,再扣除通货膨胀的影响,因为所得税也受到通货膨胀的影响。上述计算顺序颠倒,正确的计算顺序如下:

(1)税后债务资金成本:

978-7-111-49223-8-Part04-186.jpg

利用试算法得到i=3.37%

(2)扣除通货膨胀因素的资金成本:(1+3.37%)/(1+3%)-1=0.36%

所以扣除通货膨胀因素的税后资金成本应为0.36%。

2.根据加权资金成本的计算公式:

978-7-111-49223-8-Part04-187.jpg

则该公司融资方案的总资金成本为8.5%。