五、弹性系数分析

弹性系数分析

弹性系数亦称弹性,弹性是一个相对量,它衡量某一变量的改变所引起的另一变量的相对变化。弹性总是针对两个变量而言的。一般来说,两个变量之间的关系越密切,相应的弹性值就越大;反之,相应的弹性值就越小。

用弹性分析方法处理经济问题的优点是简单易行、计算方便、计算成本低、需要的数据少、应用灵活广泛。

缺点:①弹性分析只考虑两个变量之间的关系,使其带有一定的局部性和片面性;②弹性分析的结果比较粗糙。以历史数据测算出的弹性系数未考虑未来的变化,有时还要分析弹性系数的变动趋势,对其进行修正。

(一)收入弹性

1.概念

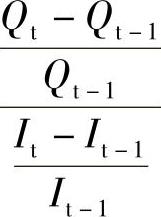
收入弹性是指商品价格保持不变时,该商品购买量Q的变化率与消费者收入I的变化率之比。表示为:收入弹性=购买量变化率/收入变化率

εI=(ΔQ/Q/(ΔI/I

收入弹性一般为正,即收入增加,需求量上升;反之,收入减少,需求量减少。

2.预测步骤

由于弹性系数可能随着时间的推移而变化,因此需要对根据历史数据测算的弹性系数进行修正,常用的简单修正方法就是取根据历史数据计算的弹性系数的平均值作为预测使用的弹性系数。具体步骤如下:

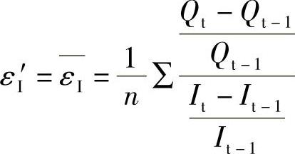
1)根据公式和已知数据计算各年的收入弹性系数。

2)求各年收入弹性系数的平均值作为预测年份的收入弹性系数

978-7-111-49223-8-Part04-41.jpg

其中,978-7-111-49223-8-Part04-42.jpg即为第t年的收入弹性系数。

3)根据已知,计算某一变量(一般为收入)在预测年份的增长率,一般以已知数据的最近年份作为计算基数年份。

4)根据2)、3)的结果计算需预测变量(一般为购买量)的增长率,带入基数年份的数据后得到所需的预测数据。

在计算收入弹性时,应根据所研究的问题来决定采用什么收入变量,收入水平的衡量既可以用国民收入,也可用人均收入或其他收入变量。

【例1-3】 根据2004~2008年某市个人计算机消费量及人均可支配年收入见表1-7,请用收入弹性法预测2012年该市个人计算机消费量(假设:年人口增长率为0.6%;2012年人均可支配收入较2008年增长50%。计算过程中结果保留整数)。

1-7 某市2004~2008年个人计算机消费量和人均可支配收入

978-7-111-49223-8-Part04-43.jpg

【解答】

(1)按照公式计算2004~2008年该市个人计算机收入弹性系数见表1-8。

1-82004~2008年该市个人计算机收入弹性系数

978-7-111-49223-8-Part04-44.jpg

2012年个人计算机收入弹性系数=(0.66+0.79+0.72+0.72)/4=0.72

(2)计算2012年每万人个人计算机需求增长率

=收入弹性系数×收入增长率

=0.72×50%=36%

(3)计算2012年每万人个人计算机的需求量

=2008年每万人个人计算机消费量×需求增长率

=1198×(1+36%)=1629台/万人

(4)2012年该市人口数量

=2008年人口数量×(1+0.6%)4=971万人

(5)2012年该市个人计算机的需求量

=2012年每万人个人计算机需求量×人口数

=1629×971=1581759台

(二)价格弹性

1.概念

价格弹性是指当收入水平保持不变时,某商品购买量Q的变化率与价格P的变化率之比。表示为:价格弹性=购买量变化率/价格变化率

εp=(ΔQ/Q/(ΔP/P

一般价格弹性均为负值,反映了价格的变动方向与需求量的变动方向相反。

2.预测步骤

与收入弹性类似,价格弹性预测也需要对根据历史数据测算的价格弹性系数进行修正。具体步骤如下:

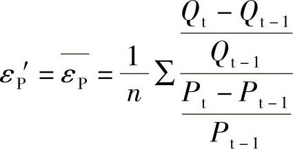
1)根据公式和已知数据计算各年的价格弹性系数。

2)求各年价格弹性系数的平均值作为预测年份的价格弹性系数

978-7-111-49223-8-Part04-45.jpg

式中 978-7-111-49223-8-Part04-46.jpg——第t年的价格弹性系数。

3)根据已知计算某一变量(一般为价格)在预测年份的增长率,一般以已知数据的最近年份作为计算基数年份。

4)根据2)、3)的结果计算需预测变量(一般为购买量)的增长率,带入基数年份的数据后得到所需的预测数据。

【例1-4】 2006~2011年某市液晶电视消费量和平均销售价格见表1-9,如果2012年液晶电视平均销售价格下降到10000元/台,请用价格弹性系数法预测2012年液晶电视需求量。

1-9 某市2006~2011年液晶电视平均销售价格及销售量

978-7-111-49223-8-Part04-47.jpg

【解答】

(1)计算各年的液晶电视价格弹性系数(表1-10)。

由表1-10计算得出,2006~2011年价格弹性系数的平均值为:-2.77,作为2012年的价格弹性。

1-10 各年的液晶电视价格弹性系数

978-7-111-49223-8-Part04-48.jpg

(2)计算2012年液晶电视需求增长率

2012年液晶电视需求增长率=价格弹性系数×液晶电视价格下降率

=-2.77×(-1500/11500)=36.1%

(3)计算2012年液晶电视需求量

2012年液晶电视需求量=2011年液晶电视消费量×(1+2012年液晶电视需求增长率)

=207×(1+36.1%)=281.7万台

(三)能源需求弹性

能源需求弹性可以反映许多经济指标与能源需求之间的关系。能源消费可以分解为电力、煤炭、石油、天然气等消费,反映国民经济的重要指标包括社会总产值、国内生产总值、工农业总产值、国民收入、主要产品产量等。可按上述指标计算不同的能源弹性,下面以能源的国内生产总值弹性为例进行说明。

1.概念

能源的国内生产总值弹性,是指能源消费量E的变化率与国内生产总值GDP的变化率之比。表示为:能源的国内生产总值弹性=能源消费量变化率/国内生产总值变化率

εi=(ΔE/E/(ΔGDP/GDP

2.预测步骤

1)根据历史数据计算能源需求弹性,经修正后作为预测年份的能源需求弹性。

(注:由于能源需求问题较为复杂,对于能源需求弹性的修正一般不采用直接平均的方法,而需要由专家根据相关资料进行修正)。

2)根据已知,计算预测年份国内生产总值的增长率。

3)根据1)、2)计算能源需求的增长率,带入基数年份的数据后得到所需的能源需求预测数据。

【例1-5】 某市2010年地区生产总值为3695.62亿元,同年煤炭消耗量为4105.19万吨标准煤。预计未来10年中,前5年和后5年该市的GDP增长速度分别保持在12%和10%,同期煤炭需求弹性系数分别为0.6和0.49。请用弹性系数法预测2015年和2020年该市的煤炭需求量。

【解答】

由公式 εi=(ΔE/E/(ΔGDP/GDP

得2011~2015年煤炭需求增长速度为:0.6×12%=7.2%

2016~2020年煤炭需求增长速度为:0.49×10%=4.9%

则2015年该市的煤炭需求量=4105.19×(1+7.2%)5=5811.75万吨

2020年该市的煤炭需求量=5811.75×(1+4.9%)5=7382.18万吨