练习题

练习题

1.某项目各年的净现金流量见表8-21。

8-21 项目各年净现金流量表 (单位:万元)

978-7-111-49223-8-Part04-233.jpg

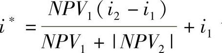
某人根据表中各年净现金流量计算内部收益率指标,并据此进行决策(基准收益率ic=25%)。此人依据插值公式978-7-111-49223-8-Part04-234.jpg计算出i=20%,由此得出结论认为项目不可行。试问此人决策是否正确。

2.某项目建设期2年,运营期5年。基本数据如下:

①资金筹措:建设投资950万元(可抵扣固定资产进项税50万元),其中贷款500万元,年利率5%,建设期第一年年初借入,投产后采用等额还本、利息照付方式5年内还清。流动资金200万元,全部来自项目资本金。

②资金投入:项目建设投资的贷款和资本金均按40%、60%的比例分年投入。

③收入和成本估算:投产第一年即达到设计生产能力,年营业收入700万元,年经营成本300万元(原材料、燃料200万元),年营业税金及附加为营业收入的1%,增值税税率为17%,所得税税率为25%。固定资产采用年数总和法计提折旧,折旧年限5年,预计期末无残值(按不含增值税价格计算)。

【问题】

对项目进行资本金现金流量分析时,计算第一年和第三年的所得税后净现金流量。