现金流量的评价指标和方法

现金流量的评价指标和方法

项目评价主要解决两类问题:第一,评价项目是否可以满足一定的检验标准,这是对建设项目的“绝对效果”评价;第二,比较某一项目的不同方案优劣或确定不同项目的优先次序,这是“相对效果”评价。下面仅讲解绝对效果评价,因不涉及比较所以只需研究单个项目是否符合预定的标准即可。“相对效果”评价及指标的运用将在本部分第12章“方案经济比选方法”中介绍。

(一)时间性指标与评价方法

投资回收期是以项目的净收益抵偿投资所需的时间(常用年表示)。它是反映项目财务上投资回收能力的重要指标。

1.静态投资回收期(Pt

(1)定义 不考虑资金时间价值条件下以净收益抵偿投资所需要的时间,通常从建设开始年初算起(t从0开始),其定义式为

978-7-111-49223-8-Part04-110.jpg

(2)计算 可借助财务现金流量表中的净现金流量和累计净现金流量数据计算求得,公式为

978-7-111-49223-8-Part04-111.jpg

(3)判据 项目投资回收期短,表明投资回收快,抗风险能力强。求出的投资回收期(Pt)可与行业基准投资回收期或设定的基准投资回收期(Pc)比较:

PtPc,可以考虑接受该项目;若Pt>Pc,可以考虑拒绝接受该项目。

(4)优点与不足

1)优点。经济意义直观明确、计算简单,便于投资者衡量建设项目承担风险的能力,同时在一定程度上反映了投资效果的优劣。

2)不足。①投资回收期有一定片面性,只考虑投资回收之前的效果,不能反映回收期之后的情况;②不考虑资金时间价值,无法用以正确地判断项目的优劣。

注意静态投资回收期不是全面衡量建设项目的理想指标,只能用于粗略评价或作为辅助指标和其他指标结合使用。

2.动态投资回收期(Pt

(1)定义 考虑了资金时间价值的投资回收期,一般从建设开始年初算起,定义式为

978-7-111-49223-8-Part04-112.jpg

(2)计算 可借助财务现金流量表中的净现金流量折现值和累计净现金流量折现值计算求得,公式如下

978-7-111-49223-8-Part04-113.jpg

(3)判据 动态投资回收期的评价准则是:Ptn时(n表示基准动态投资回收期),考虑接受项目,条件是贴现率取ic(行业基准收益率)。

(4)优点和不足

1)优点。考虑了资金时间价值,优于静态投资回收期。

2)不足。不能反映投资回收期之后的情况,仍然有局限性;计算相对复杂。

【例5-4】 某工程项目的现金流量数据见表5-3,要求计算静态投资回收期和动态投资回收期(ic=10%)。

5-3 项目现金流量表 (单位:万元)

978-7-111-49223-8-Part04-114.jpg

注:表中年数列0表示建设起点第一年年初,下文所有表格含义同此。

【解答】根据前面的公式,可利用列表法求解,见表5-3的第2、3、5、6列数据。

(1)静态投资回收期:Pt=6-1+70/80=5.875年

(2)动态投资回收期:Pt=9-1+15.39/33.92=8.45年

(二)价值性指标与评价方法

价值性评价指标反映一个项目的现金流量在基准投资收益率下所能实现的盈利水平。最主要、最常用的价值性指标是净现值;在多项目(或方案)选优中还有净年值。有时在效益相同的情况下,还用到费用现值和费用年值。

1.净现值(NPV

(1)含义 净现值是将项目整个计算期内各年的净现金流量,按某个给定的折现率,折算到计算期期初(即第一年初)的现值代数和。计算公式为

978-7-111-49223-8-Part04-115.jpg

式中 n——计算期期数;

i——设定折现率。

净现值用于财务分析时,将其结果称为财务净现值,记为FNPV;当净现值用于经济分析时,将其结果称为经济净现值,记为ENPV

(2)计算 可以通过构造的现金流量表计算(见表5-3),列表计算便于检查,并可同时算出投资回收期和其他指标;也可直接将数据带入公式进行计算。计算时,要注意两个方面:

1)净现金流量NCFt或(CI-CO)t的预计:NCFt预测的准确性直接影响项目净现值的大小与正负。

2)折现率i的选取。一般来说,有三种情况

①选取社会折现率is,即i=is:进行经济分析时,应使用is

②选取行业(或部门)的基准收益率ic,即i=ic

③选取计算折现率i0,即i=i0。可用公式i0=i01+i02+i03求得

式中 i01——仅考虑时间补偿的收益率;

i02——考虑社会平均风险因素应补偿的收益率;

i03——考虑通货膨胀因素应补偿的收益率。

注意:使用i0将使NPV的计算更接近实际,但i0的求算比较困难。

(3)判据 在项目经济评价中,若NPV≥0,则该项目在经济上可以接受;反之,若NPV<0,则经济上可以拒绝该项目。

当给定的折现率i=ic,若NPVic)=0,表示项目达到了基准收益率标准,而不是表示该项目盈亏平衡;若NPVic)>0,则意味着该项目可以获得比基准收益率更高的收益;而NPVic)<0,仅表示项目不能达到基准收益率水平,不能确定项目是否会亏损。

(4)优缺点 净现值作为一个重要的动态评价指标,广泛应用于项目经济评价中。其优点在于不仅考虑了资金的时间价值,对项目进行动态分析,而且考察了项目在整个计算期内的经济状况,并且直接以货币额表示项目投资的收益性大小,经济意义明确直观。

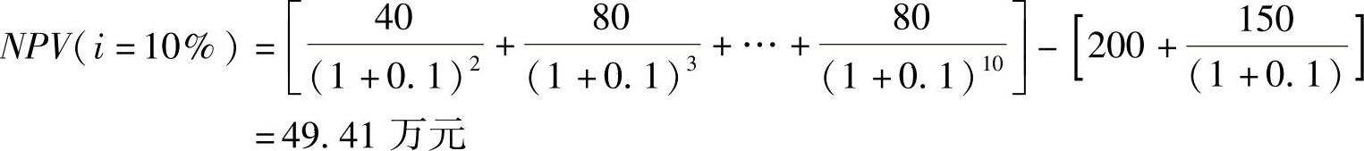
【例5-5】 以例5-4为例,沿用前面的数据列表求解(表5-4),其中第5列最后一个数据即为该工程项目的净现值=49.41万元。

若利用公式计算,则

978-7-111-49223-8-Part04-116.jpg

2.净年值(NAV

净年值也称净年金,它是把项目计算期内的净现金流量按设定的折现率折算成与其等值的各年年末的等额净现金流量值。

求一个项目的净年值,可以先求该项目的净现值,然后乘以资金回收系数进行等值换算,即:NAVi)=NPVi)(A/Pin

5-4 列表法求解NPV (单位:万元)

978-7-111-49223-8-Part04-117.jpg

注意:用净现值NPV和净年值NAV对同一个项目进行评价,结论是一致的。但对寿命不相同的多个互斥方案进行选优时,净年值比净现值更合适,详见本部分第12章方案经济比选。

3᥊费用现值和费用年值

当现金流系列主体为负值时,可把正的现金流看成负的,把负的现金流看成正的,此时计算出的净现值可用费用现值表示;费用现值折现到各年所求得的等额序列年金称为费用年值。经常用于方案经济比选中(见本部分第12章)。

(1)费用现值(PC

978-7-111-49223-8-Part04-118.jpg

式中 (COt——第t期现金流出量。

(2)费用年值(AC

AC=PCA/Pin

(三)比率性指标与评价方法

比率性评价指标主要包括内部收益率、差额投资内部收益率和净现值率等。

1᥊内部收益率(IRR)——经济评价最重要的指标

(1)含义 它是指使项目净现值为零时的折现率。其表达式为

978-7-111-49223-8-Part04-119.jpg

若某项目在第一年初投资现值Ip,以后每年末获得相等的净收益R,则内部收益率可简单表示成

978-7-111-49223-8-Part04-120.jpg

当内部收益率用于单一项目的财务分析时,将其结果称为财务内部收益率,记为FIRR;当内部收益率用于单一项目的经济分析时,将其结果称为经济内部收益率,记为EIRR

(2)计算 求解内部收益率一般有人工试算法和利用计算机编程求解两种方法。

采用人工试算法求解内部收益率,首先试选两个数值相近的折现率i1i2i1<i2),使其对应的净现值NPV1NPV2满足NPV1>0、NPV2<0;根据内部收益率定义可知,此时内部收益率必在i1i2之间;一般i1i2之差不超过5%时,可用线性内插法近似求出IRR,公式为

978-7-111-49223-8-Part04-121.jpg

式中 i1——较低的试算折现率;

NPV1——与i1对应的净现值;

i2——较高的试算折现率;

NPV2——与i2对应的净现值。

(3)判据 应用IRR对单独一个项目进行经济评价的判别准则是:若IRRic(或is),则认为项目在经济上是可以接受的;若IRR<ic(或is),则项目在经济上应予以拒绝。

(4)优缺点

1)优点

①该指标考虑了资金时间价值,考查了项目在整个计算期内的全部情况。

②内部收益率是由项目的现金流量特征决定的,这与净现值、净年值、净现值率等指标需要事先设定基准折现率才能进行计算相比,操作困难小。

2)缺点

①指标计算烦琐,非常规项目有多解现象,分析、检验和判别比较复杂。

②内部收益率的经济含义是项目对初始投资的偿还能力,而不是用来计算初始投资收益的,所以可用来判断单个方案的可行性,但不能直接用于多个方案之间的比选(见本部分第12章方案经济比选)。

③不适用于只有现金流入或现金流出的项目。

④对于非投资情况,如设备租赁(先取得收益,然后用收益偿付有关费用),虽然可以运用IRR指标,但其判据与投资情况相反,即只有IRRic的方案(或项目)才可接受。

【例5-6】 已知某项目第一年初和第一年末分别投资1200万元、800万元,第二、三、四年末均获净收益600万元,第五、六年末均获净收益为900万元,试计算该项目的内部收益率。

【解答】通过几次试算,取i1=16%,则

NPV1=-1200-800×(1+16%)-1+600×(1+16%)-2+600×(1+16%)-3+600×(1+16%)-4+900×(1+16%)-5+900×(1+16%)-6

=69.91万元

由于NPV1>0,故提高折现率,令i2=18%,则

NPV2=-1200-800×(1+18%)-1+600×(1+18%)-2+600×(1+18%)-3+600×(1+18%)-4+900×(1+18%)-5+900×(1+18%)-6

=-45.62万元

应用线性内插公式,有

978-7-111-49223-8-Part04-122.jpg

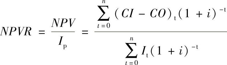
2᥊净现值率(NPVR

在多方案比选中,净现值虽然能反映每个方案的盈利水平,但是因未考虑各方案投资额的大小,因而不能直接反映资金的利用效率。为了考察资金的利用效率,可采用净现值率指标作为净现值的补充指标。

(1)含义 按设定折现率求得的项目计算期的净现值与其全部投资现值的比率,记作NPVR,计算式为

978-7-111-49223-8-Part04-123.jpg

式中 Ip——项目投资现值。

(2)判别准则 用净现值率评价项目或方案时,若NPVR≥0,方案可行,可以考虑接受;若NPVR<0,方案不可行,应予拒绝。