参考答案

参考答案

一、

1.(1)土地利用方案分析重点评价:土地利用是否符合相关规划的要求,土地利用方案是否符合保护耕地等政策法规的要求。

(2)征地拆迁及移民安置方案分析:应提出城镇居民拆迁方案、农村移民安置方案及征地补偿方案、收入恢复及后期扶持计划,并对方案的合理性以及征地拆迁及移民安置可能造成的风险及其规避对策进行分析。

2.项目可能影响社会稳定的三个主要风险因素有:移民安置问题,民族矛盾、宗教问题,受损补偿问题。

3.(1)项目单位自行进行社会稳定风险评估的做法不正确,理由:按规定,应由项目所在地人民政府或其有关部门指定的评估主体组织对项目单位作出的社会稳定风险分析开展评估论证。

(2)要求将征地拆迁及移民安置方案分析、社会稳定风险分析作为项目可行性研究报告的独立篇章的做法不完全正确,理由:按规定,社会稳定风险分析应当作为项目可行性研究报告、项目申请报告的重要内容并设独立篇章;而征地拆迁及移民安置方案分析是项目可行性研究报告应包括的重要内容,不设独立篇章。

(见《国家发展改革委重大固定资产投资项目社会稳定风险评估暂行办法》第五条、第三条)

【解析】 本题涉及考点有三个:项目可行性研究中征地拆迁、移民安置方案分析的内容、社会评价中的社会风险分析。2013年增考内容:重大项目社会稳定风险评估。工程咨询服务内容是考核重点,每年必考;当年新增考内容必考,是复习重点。需要注意的是第二问中对社会风险的分析,不仅是直接的简述题,还是判断分析题,根据此题的项目情况,弱势群体支持问题不是它的主要风险因素。

二、

1.(1)九年制义务教育巩固率、耕地保有量、城镇保障性安居工程建设量等指标属于约束性指标。

(2)国内生产总值、城镇登记失业率、城镇居民人均可支配收入等指标属于预期性指标。

2.还应包括土地利用与移民安置方案、环境保护措施方案及环境影响评价、投资估算、资金筹措方案、费用效果分析、社会影响分析等内容。

3.该廉租住房项目垂直逻辑各层次的内容:

(1)目标:为了落实城镇保障性安居工程规划,改善低收入群体的居住条件。

(2)目的:解决2000户低收入居民的住房问题。

(3)产出:10万m2的廉租住房小区,以及小区道路和绿地等配套设施。

(4)投入和活动:建设资金主要来源于中央政府投资补助和地方政府配套资金,以及上面所述项目建设的各项工作。

4.项目水平逻辑产出层次的内容:

(1)客观验证指标:2013年建成10万m2的廉租住房小区,满足2000户低收入居民居住。

(2)验证方法:信息来源是施工单位的工作记录和监理单位的监理报告及其他工程档案,采用方法是现场调查和文案调查。

【解析】 本题涉及考点有三个:规划指标分析、政府投资项目可行性研究重点关注的内容、逻辑框架法。要掌握企业投资项目与政府投资项目在可行性研究阶段论证内容的异同点,以及企业投资、境外项目、外商投资项目在核准申请报告上的异同点,对于关联性强的内容通过记忆不同点来复习。对于逻辑框架法,重点掌握其框架结构及其含义。

三、

1.在比选项目厂址时,应考虑:建设条件、投资费用、运营费用、运输条件和运输费用、环境保护条件和安全条件。

2.研究项目总图运输方案时,应考虑:总体布置与厂区总平面布置、竖向布置、运输、厂区道路、绿化、总图技术经济指标等内容。

3.对于市政府而言,特许经营项目融资的优点有:①拓宽资金来源,减少政府的财政支出和债务负担;②降低政府风险;③发挥外资和民营机构的能动性和创造性;④合理利用资源;⑤有利于发展国民经济、金融资本市场和法律体系。

4.(1)权益资金成本采用资本资产定价模型法:

Ks=Rf+βRm-Rf)=4%+1.1×(12%-4%)=12.8%

(2)所得税后的债务资金成本:

所得税前资金成本×(1-所得税税率)=7%×(1-25%)=5.25%

978-7-111-49223-8-Part04-359.jpg

【解析】 本题涉及考点有四个:场(厂)址比选内容、总图运输方案的内容、特许经营项目融资、资金成本计算。特许经营项目融资的优点不容易记忆,可从减轻政府负担、有效利用外资或民间资本、提高项目成功度等方面来理解记忆。资金成本计算掌握权益资金、债务资金的不同计算方法,债务资金成本还要考虑税前税后问题。

四、

1.处于成长期。理由:表4-1的数据显示,新增风电装机容量逐年增长,2005—2009年急剧增长,随后仍处在增长中。(也可通过画产品生命周期曲线判断,如下图)

978-7-111-49223-8-Part04-360.jpg

2.(1)我国发展规划包括三类:总体规划、专项规划、区域规划。(2)风电发展“十二五”规划属于专项规划。

3.不合理,理由:移动平均法或指数平滑法适用于近期或短期预测,大多数情况下只用于以月度或周为单位的近期预测;而且只是在处理水平型历史数据时才有效。

4.A企业的优势因素为⑤、⑥、⑦、⑧,劣势因素为④,机会因素为①、②,威胁因素为③。

5.内部因素的综合得分=4×0.2×4-4×0.2=2.4

978-7-111-49223-8-Part04-361.jpg

根据SWOT分析图,企业处于右上角第一象限,应采取增加投资、扩大生产、提高市场占有率的增长性战略。(SWOT分析图省略)

【解析】 本题涉及考点有四个:产品生命周期、发展规划类型、市场预测方法特点、SWOT分析。对于咨询方法的考核关键是按步骤一步步地分析计算,要求写全公式、代入数据、计算准确;方法的适用范围、特点等定性内容也要背诵掌握。像SWOT分析这类带图的计算题,要看清题目要求是否画图,如果没要求可在草稿上画图辅助答题。

五、

1.(1)先画出项目风险概率—影响矩阵:

978-7-111-49223-8-Part04-362.jpg

(2)房屋征收风险发生的概率较高、造成严重影响,位于S区域,属于重大风险;恶劣天气风险发生的可能性中等、造成较大影响,位于H区域,属于较大风险;承包单位违约风险发生的可能性及影响程度均较小,位于L区域,属于较小风险。

(3)从项目单位的角度,相应的风险防范策略有风险回避、风险减轻、风险转移和风险接受。

2.(1)事件1中因非本地企业而排斥B单位不妥,理由:按规定,招标人不得以不合理的条件限制或者排斥潜在的投标申请人,不得对投标申请人实行歧视待遇。

(2)事件2中乙企业工作人员口头答复并予以确认不妥,理由:按规定,对于潜在投标人在阅读招标文件和现场踏勘中提出的疑问,招标人可以书面形式或召开投标预备会的方式解答,但需同时将解答以书面方式通知所有购买招标文件的潜在投标人。该解答的内容为招标文件的组成部分。

(3)事件3中评标委员会应当否决A单位投标,理由:按规定,同一投标人提交两个以上不同的投标文件或者投标报价,但招标文件要求提交备选投标的除外,评标委员会应当否决其投标。

3.A单位已被淘汰,现比较B、C、D、E的报价:

采用经评审的最低投标价法,E为最低报价,B为次低报价。

因(2430-1980)÷2430=18.52%>15%

所以,E为无效投标文件,推荐B为中标候选人。

【解析】 本题涉及考点有两个:项目风险分析和工程项目招标投标规定。这两块内容复习起来相对简单,招标投标规定熟读一遍能判断对错即可。

六、

1.(1)第2年:

应纳增值税=销项税额-进项税额-可抵扣固定资产进项税额

=8687-3478-8000=-2791(万元)<0,

应纳增值税为0,营业税金及附加为0。

(2)第3年:

应纳增值税=9652-3865-2791=2996万元

营业税金及附加=2996×12%≈360万元

2.因固定资产相关数据无法确定,需要根据第4年的调整所得税来反推年折旧摊销额:

息税前利润=营业收入-经营成本-折旧摊销-营业税金及附加,故:

(61426-27441-折旧摊销-694)×25%=3239万元

则折旧摊销=20335万元

(1)第2年:

息税前利润=55284-25093-20335-0=9856万元

调整所得税=息税前利润×25%=9856×25%=2464万元

(2)第3年:

息税前利润=61426-27441-20335-360=13290万元

调整所得税=13290×25%≈3323万元

3.(1)第2年:

现金流出=3058+25093+3478+0+0+2464=34093万元

净现金流量=63971-34093=29878万元

第3年:

现金流出=269+27441+3865+2996+360+3323=38254万元

净现金流量=71078-38254=32824万元

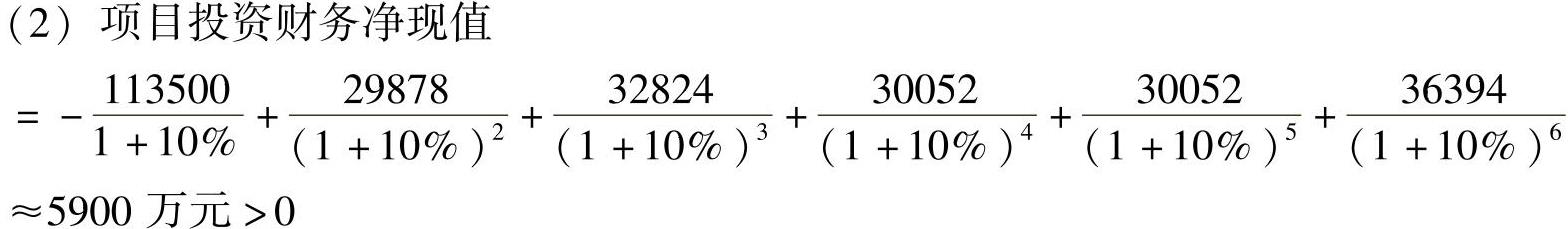
978-7-111-49223-8-Part04-363.jpg

该项目具有财务可行性。

4.调整财务分析中的建设投资:

(1)把涨价预备费剔除。

(2)投资中的设备、材料按不含税价格计算,剔除进项税额。

(3)调增土地经济费用。

(4)经济费用流量中的建设投资=113500-5000-8000+1000=101500(万元)

【解析】 本题涉及考点有两个:项目投资现金流量分析和把财务分析数据调整为经济分析数据。项目投资现金流量分析要重点把握两点,一是调整所得税的计算,二是可抵扣固定资产进项税额的影响(影响固定资产原值和应纳增值税的计算)。经济数据的调整主要是把转移支付因素、通货膨胀因素剔除,注意调整过程中不要漏项。本题的难点在于题中第二问利用已知年份的调整所得税反推折旧摊销额,再用得到的数据计算未知年份的调整所得税。