一、方法简介

方法简介

(一)单位生产能力估算法

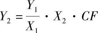
该方法根据已建成的、性质类似的建设项目的单位生产能力投资(如元/t、元/kW)乘以拟建项目的生产能力,来估算拟建项目的投资额,其计算公式为

978-7-111-49223-8-Part04-127.jpg

式中 Y2——拟建项目的投资额;

Y1——已建类似项目的投资额;

X1——已建类似项目的生产能力;

X2——拟建项目的生产能力;

CF——不同时期、不同地点的定额、单价、费用变更等的综合调整系数。

该方法估算简便迅速,但精确度较差。使用这种方法要求拟建项目与所选取的已建项目相类似,仅存在规模大小和时间上的差异。单位生产能力估算法一般只适用于机会研究阶段。

【例6-1】 已知2005年某生产能力为15万t/年的乙烯项目的建设投资为42000万元,2007年拟建生产能力为20万t/年的乙烯项目,两个项目工程条件类似,调整系数CF为1.2,试估算该项目的建设投资。

【解答】 采用单位生产能力估算法,该项目的建设投资为

978-7-111-49223-8-Part04-128.jpg

(二)生产能力指数法

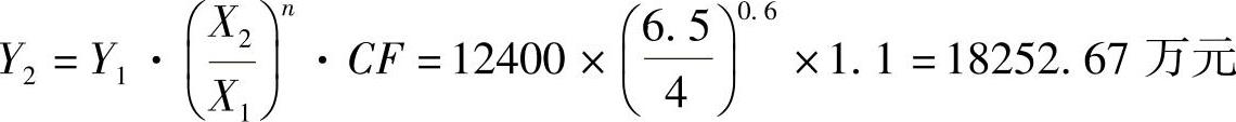
该方法根据已建成的、性质类似的建设项目的生产能力和投资额与拟建项目的生产能力,来估算拟建项目投资额,其计算公式为

978-7-111-49223-8-Part04-129.jpg

式中 n——生产能力指数;

其他符号含义同前。

运用该方法估算项目投资的重要条件是,要有合理的生产能力指数。不同性质的建设项目,n的取值不同,正常情况下,0≤n≤1。若已建类似项目的规模和拟建项目的规模相差不大,X2X1的比值在0.5~2之间,则指数n的取值近似为1;一般认为X2X1的比值在2~50之间,且拟建项目规模的扩大仅靠增大设备规模来达到时,则n取值约在0.6~0.7之间;若靠增加相同规格设备的数量来达到时,则n取值为0.8~0.9之间。

该方法计算简单、速度快;但要求类似项目的资料可靠,条件基本相同,否则误差就会增大。对于建设内容复杂多变的项目,可研阶段也用于分项装置的工程费用估算。

【例6-2】 某化工厂已建成年生产A化学品4.5万t的工程,装置投资额为12400万元。现拟建同类工厂,设计采用规格和容量更大的同类设备,年生产该种化学品6.5万t,生产能力指数n=0.6,综合调整系数CF=1.1,试计算该工厂的装置投资额。

【解答】 利用生产能力指数法,该工厂的装置投资额为

978-7-111-49223-8-Part04-130.jpg

(三)比例估算法

1.以拟建项目的设备购置费为基数进行估算

该方法以拟建项目的设备购置费为基数,根据已建成的同类项目的建筑工程费和安装工程费占设备购置费的百分比,求出相应的建筑工程费和安装工程费,再加上拟建项目工程建设其他费用和预备费等,其总和即为拟建项目的建设投资。计算公式为

C=E(1+f1P1+f2P2)+I

式中 C——拟建项目的建设投资额;

E——拟建项目根据当时当地价格计算的设备购置费;

P1P2——已建项目中建筑工程费和安装工程费占设备购置费的百分比;

f1f2——由于时间因素引起的定额、价格、费用标准等综合调整系数;

I——拟建项目的其他费用,包括工程建设其他费用和预备费等。

【例6-3】 某造纸厂的设备购置费为16000万元,根据已建同类项目的统计资料,建筑工程费占设备购置费的25%,安装工程费占设备购置费的10%,该拟建项目的其他有关费用估计为2000万元,调整系数f1f2均为1.2,试估算该项目的建设投资。

【解答】 根据比例估算法,该项目的建设投资为

C=E(1+f1P1+f2P2)+I=16000×[1+(25%+10%)×1.2]+2000=24720万元

2.以拟建项目的工艺设备投资为基数进行估算

该方法以拟建项目的工艺设备投资为基数,根据同类型的已建项目的有关统计资料,各专业工程(总图、土建、暖通、给水排水、管道、电气、电信及自控等)占工艺设备投资(包括运杂费和安装费)的百分比,求出拟建项目各专业工程的投资,然后把各部分投资(包括工艺设备投资)相加求和,再加上拟建项目的其他有关费用,即为拟建项目的建设投资。计算公式为

C=E(1+f1P1+f2P2+f3P3+…)+I

式中 E——拟建项目根据当时当地价格计算的工艺设备投资;

P1P2P3——已建项目各专业工程费用占工艺设备投资的百分比。

其他符号含义同前。

(四)系数估算法

1.朗格系数法

该方法以设备购置费为基础,乘以适当系数来推算项目的建设投资。计算公式为

C=E(1+∑KiKc

式中 C——建设投资;

E——设备购置费;

Ki——管线、仪表、建筑物等项费用的估算系数;

Kc——管理费、合同费、应急费等间接费在内的总估算系数。

建设投资与设备购置费之比为朗格系数KL,即:KL=(1+∑KiKc

该方法比较简单,但因为没有考虑项目(或装置)规模大小、设备材质的影响以及不同地区自然、地理条件差异的影响,所以估算的准确度不高。

2.设备及厂房系数法

该方法在拟建项目工艺设备投资和厂房土建投资估算的基础上,其他专业工程参照类似项目的统计资料,与设备关系较大的按设备投资系数计算,与厂房土建关系较大的则按厂房土建投资系数计算,两类投资加起来,再加上拟建项目的其他有关费用,即为拟建项目的建设投资。

【例6-4】 某地拟建一个制药项目,估算该项目的工艺设备及安装费用为3200万元,厂房土建费用估算为4600万元,参照类似项目的统计资料,其他各专业工程投资系数如下(表6-1),其他有关费用为2200万元,试估算该项目的建设投资。

6-1 其他专业工程投资系数表

978-7-111-49223-8-Part04-131.jpg

【解答】 根据设备及厂房系数法,该项目的建设投资为

3200×(1+0.14+0.05+0.04+0.12)+4600×(1+0.06+0.01+0.01+0.03)+2200

=11626万元

(五)估算指标法

估算指标是一种比概算指标更为扩大的单项工程指标或单位工程指标,是以单项工程或单位工程为对象,综合项目建设中的各类成本和费用,具有较强的综合性和概括性。

使用估算指标应根据不同地区、不同时期的实际情况进行适当调整,因为地区、时期不同,设备、材料及人工的价格均有差异。

(六)概算指标法

概算指标是以成套设备装置的台(组)或以整个建筑物和构筑物的建筑面积、体积等为计量单位而规定的人工、材料和机械台班的消耗量标准和造价指标。这种方法的相对准确度高于估算指标法,但需要具备较为详细的工程量资料、材料价格和工程费用指标,工作量较大。