参考答案

参考答案

1.可以利用关键线路的定义来确定,所有工作的持续时间之和最长的线路称为关键线路。此题比较简单,工作数量不多,关键线路为1—2—3—5—6。

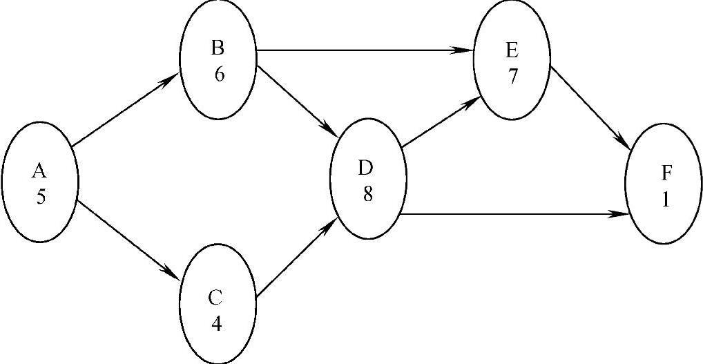
2.首先,按照单代号网络图的绘制规则绘制网络图(图2-30)。

978-7-111-49223-8-Part03-62.jpg

图2-30 该项目的单代号网络计划

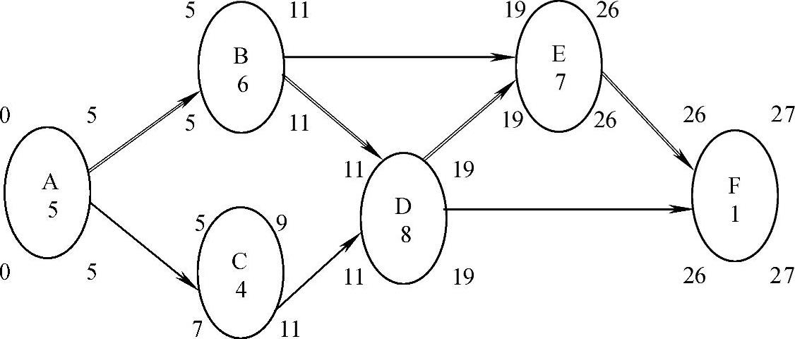
按单代号网络图时间参数的计算步骤得出数据(图2-31),图中双箭线表示关键路线。

978-7-111-49223-8-Part03-63.jpg

图2-31 单代号网络图的时间参数

【解题思路】

关键是网络图的绘制,只有绘制正确才能保证时间参数的计算正确。