双代号时标网络图法

双代号时标网络图法

双代号时标网络计划(简称时标网络计划)是指以水平时间坐标为尺度绘制的网络计划。时标单位可以是小时、天、周、月、季、年等,应根据需要在编制网络计划之前确定。时标网络计划既是一个网络计划,又类似于用横道图表示的一个水平进度计划。它既能标明计划的时间过程,又能在图上显示出各项工作开始和完成的时间、关键线路和关键工作所具有的时差。

(一)双代号时标网路计划的表示方法

1)在时标网络计划中,以实箭线表示工作。实箭线的水平投影长度表示该工作的持续时间。

2)以虚箭线表示虚工作。由于虚工作的持续时间为零,故虚箭线只能垂直画。

3)以波形线表示工作与其紧后工作之间的时间间隔(以终点节点为完成节点的工作除外,当计划工期等于计算工期时,这些工作箭线中波形线的水平投影长度表示其自由时差)。

(二)时标网络计划的绘制方法

时标网络计划宜按各项工作的最早开始时间编制。为此,在编制时标网络计划时应使每一个节点和每一项工作(包括虚工作)尽量向左靠,直至不出现从右向左的逆向箭线为止。同时在绘制时标网络计划时应先绘制无时标的网络计划草图,然后按间接绘制法或直接绘制法进行。

1.间接绘制法

所谓间接绘制法,是指先根据无时标的网络计划草图计算其时间参数并确定关键线路,然后在时标网络计划表中进行绘制。其绘制步骤是先将所有节点按其最早时间定位在时标网络计划表中的相应位置,然后再用规定线型(实箭线和虚箭线)按比例绘出工作和虚工作。当某些工作箭线的长度不足以达到该工作的完成节点时,须用波形线补足,箭头应画在与该工作完成节点的连接处。

2.直接绘制法

所谓直接绘制法,是指不计算时间参数而直接按无时标的网络计划草图绘制时标网络计划。绘制步骤见【例2-4】。

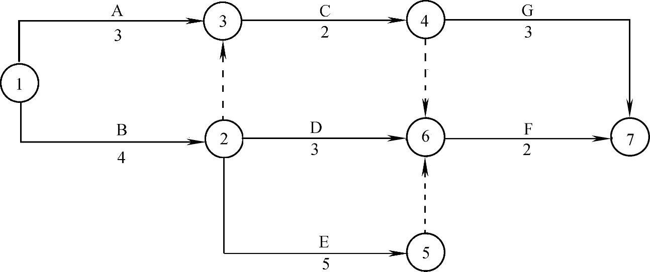
【例2-4】 已知某双代号网络计划如图2-10所示,试利用直接绘制法来绘制其时标网络计划。

978-7-111-49223-8-Part03-28.jpg

图2-10 双代号网络计划图

【解答】

(1)将网络计划的起点节点定位在时标网络计划表的起始刻度线“0”位置上(如图2-11所示)。

(2)按工作的持续时间绘制以网络计划起点节点为开始节点的工作箭线A和B。

978-7-111-49223-8-Part03-29.jpg

图2-11 直接绘制法第一步

(3)除网络计划的起点节点外,其他节点必须在所有以该节点为完成节点的工作箭线均绘出后,定位在这些工作箭线中最迟的箭线末端;当某些工作箭线的长度不足以到达该节点时,须用波形线补足,箭头画在与该节点的连接处。在本题中,节点②直接定位在工作箭线B的末端;节点③需要在绘出虚箭线2—3之后,定位在工作箭线A和虚箭线2—3中最迟的箭线末端,即坐标“4”的位置上。此时,工作箭线A的长度不足以到达节点③,因而用波形线补足(图2-12)。

978-7-111-49223-8-Part03-30.jpg

978-7-111-49223-8-Part03-31.jpg

图2-12 直接绘制法第二步

(4)当某个节点的位置确定之后,即可绘制以该节点为开始节点的工作箭线。本题中,在图2-12基础上,可以分别以节点②和节点③为开始节点绘制工作箭线C、D和E(图2-13)。

978-7-111-49223-8-Part03-32.jpg

图2-13 直接绘制法第三步

(5)利用上述方法从左至右依次确定其他各个节点的位置,直至绘出网络计划的终点节点。本题中,在图2-13基础之上,可以分别确定节点④、节点⑤和节点⑥的位置,并在它们之后绘制工作箭线F、G,最后确定终点节点⑦(图2-14)。

978-7-111-49223-8-Part03-33.jpg

图2-14 直接绘制法第四步

特别需要注意的问题是:在绘制时标网络计划时,要处理好虚箭线。首先,应将虚箭线与实箭线等同看待,只是其对应工作的持续时间为零;其次,尽管它本身没有持续时间,但可能存在波形线,同时其垂直部分仍应画为虚线(如图2-14所示时标网络计划中的虚箭线4—6)。