任意项级数的收敛性判别法
【主要内容】
1.绝对收敛与条件收敛的概念
设级数
有无穷多个正项,也有无穷多个负项,则称
是任意项级数.
任意项级数
的收敛性分绝对收敛、条件收敛及发散.
如果
收敛,则称
绝对收敛;如果
发散,但
收敛,则称
条件收敛.
注 (ⅰ)一般地,当
发散时,
未必发散.但是,如果由正项级数比值判别
法或根值判别法判定
发散时,则
必发散.
(ⅱ)如果
绝对收敛,则
的收敛性与
的收敛性相同.如果
收
敛(绝对收敛或条件收敛),
发散,则
发散.
2.交错级数的莱布尼茨定理
设an>0(n=1,2,…),则称级数
为交错级数,它是一种特殊的任意项级数.
莱布尼茨定理:设正项数列{an}单调减少收敛于零,则交错级数
收敛.
注 交错级数
时,绝对收敛;当0<p≤1时,条件收敛;当p≤0时,发散.
【典型例题】
例4.11.1(单项选择题) 设正项级数
收敛,则对于常数
,级数
A.绝对收敛 B.条件收敛
C.发散 D.收敛性与λ有关
精解 由于
,所以存在正数M,使得
,因此

此外,由
收敛知
收敛.由此得到
收敛,从而
绝对收敛.
因此本题选A.
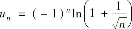
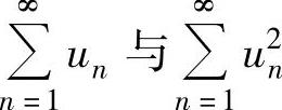
例4.11.2(单项选择题) 设
,则级数( ).
A.
都收敛
B.
与
都发散
C.
收敛而
发散
D.
发散而
收敛(https://www.daowen.com)
精解
是交错级数,记
,则{an}单调减少
收敛于零,所以由交错级数的莱布尼茨定理知
收敛.
是正项级数.由于
,
而
发散,所以
发散.
因此本题选C.
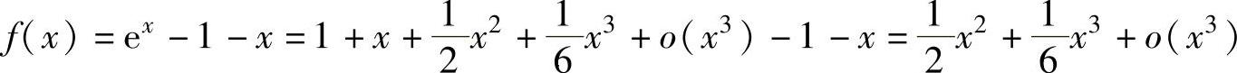
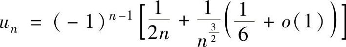
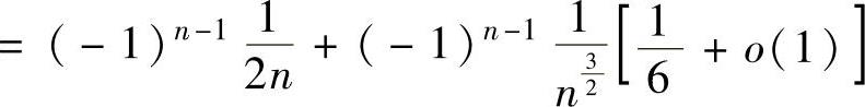
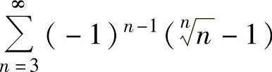
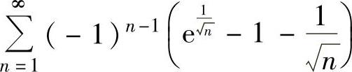
例4.11.3 判别级数
的收敛性.如果是收敛的,需指明其是绝对收敛的还是条件收敛的.
精解 记
,先考虑
的收敛性.
由于
,其中
且
,
所以由
发散知
发散.
下面考虑
的收敛性.
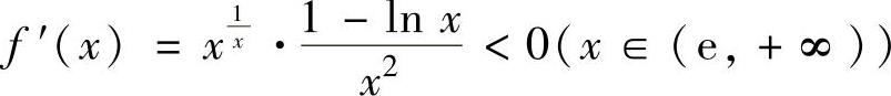
由于
是交错级数,且
,此外数列u3,u4,…
单调减少(这是因为将n看做x,则由
得函数
,于是由
知f(x)在[e,+∞)上单调减少,从而u3,u4,…单
调减少),所以由交错级数的莱布尼茨定理知
收敛.
综上所述,
条件收敛.
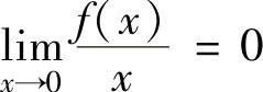
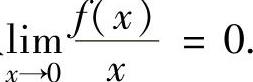
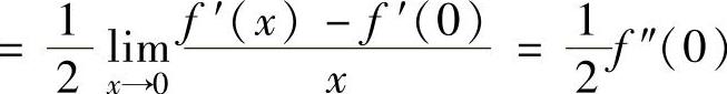
例4.11.4 设函数f(x)在[-1,1]上定义,在点x=0处二阶可导,且
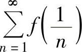
证明:级数
绝对收敛.
精解 只要证明
收敛即可.为此考虑函数f(x)在点x=0的某个邻域内的性态.
由
知,f(0)=0,f′(0)=0,此外,
,
所以在点x=0的某个邻域(-δ,δ)(δ是某个正数)内有
f(x)≤Mx2(M是某个正数).
由此可知存在正整数N,当n>N时,有
及
于是,由
收敛得证
收敛,从而
绝对收敛.
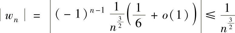
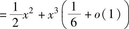
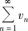
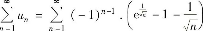
例4.11.5 判别级数
的收敛性.
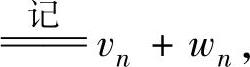
精解 记
,将
中的
看做x得函数

(在点x=0的某个邻域内),
于是,当n充分大时有


由于
是p=1的级数
,所以条件收敛,此外
,
而
收敛,所以
收敛,即
绝对收敛.因此
条件收敛.