含定积分的不等式的证明
【主要内容】
含定积分的不等式的常见证明方法是导数方法,即将欲证不等式中所包含的定积分上限字母换成x(如果包含的定积分多于一个,则选择其中一个,将其上限字母换成x),同时将该不等式中与此相同的字母都换成x,得到一个函数不等式,然后用导数方法证明这个函数不等式成立,由此即证得欲证的不等式.
【典型例题】
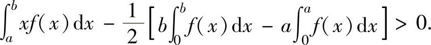
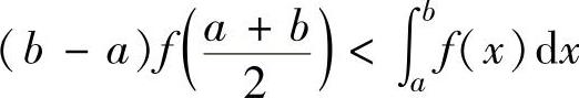
例2.9.1 设函数f(x)在[0,+∞)上连续且单调增加.证明:满足0<a<b的任意实数a,b有

精解 在欲证不等式中包含三个定积分,选择
,将它的上限字母b改为x,并且
将该不等式中出现的字母b都改为x,由此得到函数不等式:
,
即
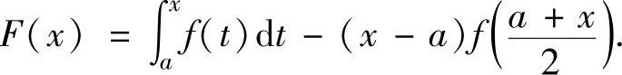
因此作辅助函数
显然,它在[0,+∞)上可导且

(利用f(x)在[0,x]上单调增加).由此可知,F(x)在[0,+∞)上单调增加,于是有F(b)>F(a),即
从而证得,对0<a<b有

注 本题的积分字母有a,b两个,也可选择把a改x,但证明将会遇到困难.
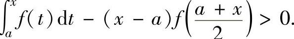
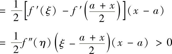
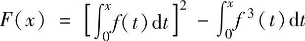
例2.9.2 设函数f(x)在[a,b]上二阶可导且f″(x)>0.证明:

精解 将欲证不等式改为
,并将其中的积分上限字母b改为
x,得函数不等式:
,即
因此作辅助函数

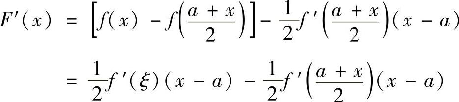
由于F(x)在[a,b]上二阶可导且

是f(x)在
(上应用拉格朗日中值定理得到的中值点)(https://www.daowen.com)

是f′(x)在
(上应用拉格朗日中值定理得到的中值点),
即F(x)在[a,b]上单调增加,所以F(b)>F(a)=0,即
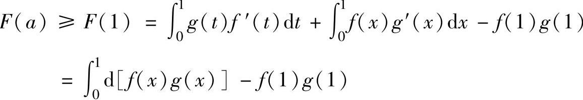
例2.9.3 设函数f(x),g(x)在[0,1]上连续可导,且f(0)=0,f′(x)≥0,g′(x)≥0.证明:对任意实数a∈[0,1]有

精解 将欲证不等式中的a改为x得函数不等式:
,即
故作辅助函数
,
则它在[0,1]上可导且

(由于g′(x)≥0,所以有g(x)-g(1)≤0,x∈[0,1])
即F(x)在[0,1]上单调不增.所以,对a∈[0,1]有

=f(1)g(1)-f(0)g(0)-f(1)g(1)=-f(0)g(0)=0,即
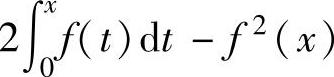
例2.9.4 设函数f(x)在[0,1]上连续可导,且当a∈(0,1)时,0<f′(x)<1以及f(0)=0.证明:对于a∈[0,1]有

精解 将欲证不等式中的a改为x,得函数不等式:
,即
因此,作辅助函数
,
则它在[0,1]上连续,在(0,1)内可导且

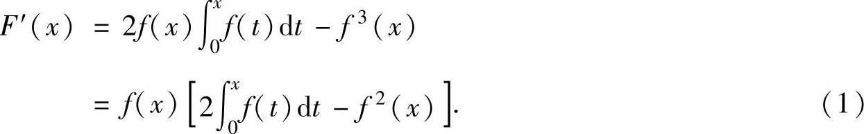
为了判定
在(0,1)内的符号,记
,
则它在[0,1]上连续,在(0,1)内可导且
F′1(x)=2f(x)-2f(x)f′(x)=2[1-f′(x)]f(x)>0(由题设f′(x)<1知1-f′(x)>0及f(x)>f(0)=0,所以[1-f′(x)]f(x)>0).
所以,对x∈(0,1),F1(x)>F1(0)=0,即
将它代入式(1)得
F′(x)>0(x∈(0,1)),从而对x∈(0,1)有F(x)>F(0)=0,即
,
故欲证不等式成立.