向量组的标准正交化与正交矩阵
【主要内容】
1.向量内积的概念
(1)向量的内积
设n维向量α=(a1,a2,…,an)T,β=(b1,b2,…,bn)T,则称数

为α与β的内积.
向量内积的性质:设α,β,γ都是n维向量,则有
(ⅰ)(α,β)=(β,α);
(ⅱ)(α+β,γ)=(α,γ)+(β,γ);
(ⅲ)(kα,β)=(α,kβ)=k(α,β)(k为常数);
(ⅳ)(α,α)≥0.称
为向量α的模,且‖α‖=0的充分必要条件是
α=0.
(2)向量正交的概念
设α=(a1,a2,…,an)T,β=(b1,b2,…,bn)T都是n维非零向量,则当(α,β)=0,即a1b1+a2b2+…+anbn=0时,称α与β正交.
2.向量组的单位正交化
(1)单位正交向量组
设α1,α2,…,αm是向量组,如果它们是两两正交的非零向量,则称α1,α2,…,αm是正交向量组.
设α1,α2,…,αm是正交向量组,如果其中每个向量的模都为1,则称α1,α2,…,αm是单位正交向量组.
单位正交向量组的性质:设α1,α2,…,αm是单位正交向量组,则
(ⅰ)
;
(ⅱ)α1,α2,…,αm线性无关,即r(α1,α2,…,αm)=m.
(2)向量组单位正交化方法(施密特单位正交化)
设向量组α1,α2,…,αm线性无关,则存在与该向量组等价的单位正交向量组ε1,ε2,…,εm.由α1,α2,…,αm到ε1,ε2,…,εm的过程称为α1,α2,…,αm的单位正交化.
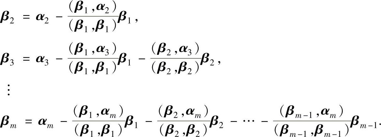
线性无关向量组α1,α2,…,αm单位正交化的施密特方法如下:
(ⅰ)正交化:取
β1=α1,

(ⅱ)单位化:

由此得到的ε1,ε2,…,εm是α1,α2,…,αm的单位正交化向量组.
3.正交矩阵
设A是n阶实矩阵.如果ATA=En,则称A是n阶正交矩阵.
正交矩阵的性质:设A,B都是n阶正交矩阵,则
(1)A可逆,且A-1=AT,从而有AAT=En;
(2)|A|=-1或1;
(3)AT与A-1都是正交矩阵;
(4)A的列向量组与行向量组都是单位正交向量组.
【典型例题】(https://www.daowen.com)
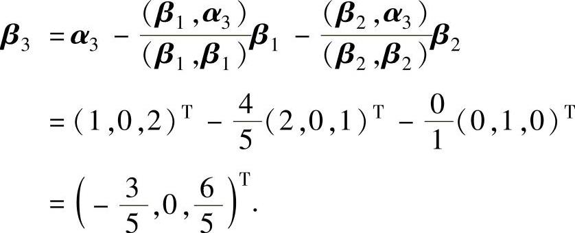
例5.9.1 试将向量组α1=(2,0,1)T,α2=(0,1,0)T,α3=(1,0,2)T单位正交化.
精解 首先正交化:注意α1与α2正交,所以可取
β1=α1=(2,0,1)T,β2=α2=(0,1,0)T,
且由施密特正交化方法知

其次单位化:取

ε1,ε2,ε3即为α1,α2,α3的单位正交化向量组.
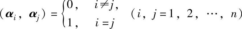
例5.9.2 设α1,α2,α3与β1,β2是两个线性无关的向量组,且(αi,βj)=0(i=1,2,3;j=1,2).证明:向量组α1,α2,α3,β1,β2线性无关.
精解 用向量组线性无关的定义证明.
假设存在数λ1,λ2,λ3,μ1,μ2,使得
λ1α1+λ2α2+λ3α3+μ1β1+μ2β2=0,(1)即λ1α1+λ2α2+λ3α3=-μ1β1-μ2β2.(2)于是,(λ1α1+λ2α2+λ3α3,λ1α1+λ2α2+λ3α3)
=(λ1α1+λ2α2+λ3α3,-μ1β1-μ2β2)
=λ1μ1(α1,β1)-λ2μ1(α2,β1)-λ3μ1(α3,β1)-λ1μ2(α1,β2)-
λ2μ2(α2,β2)-λ3μ2(α3,β2)
=0(利用题设(αi,βj)=0,i=1,2,3;j=1,2).
由此得到
λ1α1+λ2α2+λ3α3=0.(3)
由于α1,α2,α3线性无关,所以由式(3)得λ1=λ2=λ3=0.将它代入式(2)得
μ1β1+μ2β2=0.
由于β1,β2线性无关,所以μ1=μ2=0.
由上可知,当且仅当λ1=λ2=λ3=μ1=μ2=0时式(1)成立,所以α1,α2,α3,β1,β2线性无关.
例5.9.3 设A,B都是n阶正交矩阵,且|A|+|B|=0,求行列式|A+B|的值.
精解 利用正交矩阵的定义与性质计算行列式|A+B|.
由 A,B都是正交矩阵,知
AAT=En,BTB=En,所以
A+B=AEn+EnB=ABTB+AATB
=A(BT+AT)B=A(A+B)TB.
从而 |A+B|=|A||(A+B)T||B|=-|A|2|A+B|(利用|A|+|B|=0,即|B|=-|A|),
即 |A+B|(1+|A|2)=0.
由于 1+|A|2≠0,所以由上式得|A+B|=0.
例5.9.4 设A是实对称矩阵,B是实反对称矩阵,AB=BA,且A-B是可逆矩阵.证明:(A+B)(A-B)-1是正交矩阵.
精解 由题设知AT=A,BT=-B,从而由A-B可逆知A+B=(A-B)T可逆.从而由
[(A+B)(A-B)-1]T[(A+B)(A-B)-1]
=[(A-B)-1]T[(A+B)T(A+B)](A-B)-1
=[(A-B)T]-1[(A-B)(A+B)](A-B)-1
=(A+B)-1(A+B)(A-B)(A-B)-1
(由题设AB=BA知(A-B)(A+B)=(A+B)(A-B))
=[(A+B)-1(A+B)][(A-B)(A-B)-1]=En知(A+B)(A-B)-1是正交矩阵.