二次积分积分次序或坐标系的更换方法
【主要内容】
1.二次积分积分次序的更换方法
设f(x,y)是连续函数,则要更换二次积分
的积分次序,即将“先y
后x”的积分次序更换成“先x后y”的积分次序,可按以下步骤进行:
(1)确定
对应的二重积分的积分区域
D={(x,y)|a≤x≤b,φ1(x)≤y≤φ2(x)},并画出D的图形;
(2)由D的图形,将D改写成
D={(x,y)|c≤y≤d,ψ1(y)≤x≤ψ2(y)},
由此得到与所给二次积分相等、但次序为“先x后y”的二次积分

同样,也可以由“先x后y”的二次积分更换成“先y后x”的二次积分.
2.坐标系的更换
设f(x,y)是连续函数,则要把直角坐标系中的二次积分
或
更换成极坐标系中的二次积分∫
,可按以下步
骤进行:
(1)确定
或
的二重积分的积分区域
D={(x,y)|a≤x≤b,φ1(x)≤y≤φ2(x)}
或D={(x,y)|c≤y≤d,ψ1(y)≤x≤ψ2(y)},并画出D的图形;
(2)由D的图形,将D改写成
D={(r,θ)|α≤θ≤β,r1(θ)≤r≤r2(θ)},
由此得到与所给二次积分相等的极坐标系中的二次积分

同样,也可以将极坐标系中的二次积分
更换成直角坐标系
中的二次积分.
【典型例题】
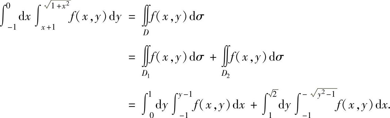
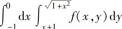
例3.9.1 设f(x,y)是二元连续函数,更换二次积分
的积分次序.
精解 由所给的二次积分可知其对应的二重积分的积分区域为
D={(x,y)|-1≤x≤0,
,
D如图3.9.1的阴影部分所示.
由图可知,要将D的表达式改写成
D={(x,y)|c≤y≤d,(https://www.daowen.com)
ψ1(y)≤x≤ψ2(y)},需用水平直线y=1将D划分成D1,D2(见图3.9.1),即D=D1+D2,其中

图 3.9.1
D1={(x,y)|0≤y<1,-1≤x≤y-1},
,
于是有

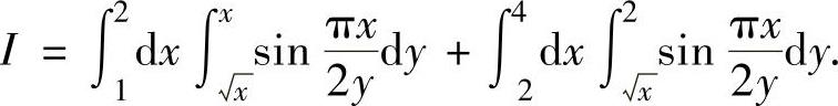
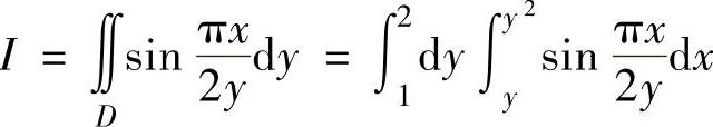
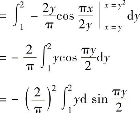
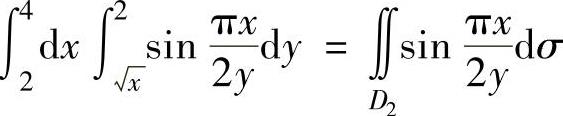
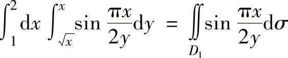
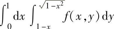
例3.9.2 计算二次积分
精解 由于
关于y的原函数不能算出,即所给的两个二次积分不能直接计算,所
以先更换二次积分的积分次序然后再进行计算.
由于
,
其中
;
,
其中
,
并且D1,D2如图3.9.2阴影部分所示.所以由图可知,D=D1+D2={(x,y)|1≤y≤2,y≤x≤y2}.
于是



图 3.9.2
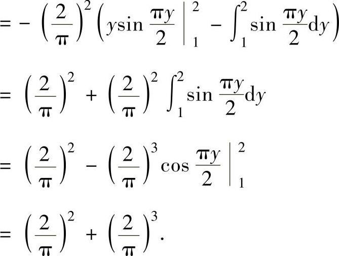
例3.9.3 求极限
精解

是
型未定式极限,为了应用洛必达法则,必须将分子的二次积分中的x移到外层积分上限,故需更换积分次序

将式(2)代入式(1)得

图 3.9.3

例3.9.4 设f(x,y)是连续函数,求
在极坐标系下的二次积分(先r后θ).
精解
,其中积分区域D={(x,y)|0≤x≤1,
,
如图3.9.4阴影部分所示,它的极坐标系下可表示为
,
所以,

图 3.9.4