函数最值的计算
【主要内容】
1.设函数f(x)在[a,b]上连续,则f(x)在[a,b]上必有最大值M与最小值m.它们可按以下步骤计算:
(1)算出f(x)在(a,b)内的所有可能极值点,记为x1,x2,…,xn;
(2)比较f(x1),f(x2),…,f(xn),f(a),f(b),其中最大者即为M,最小者即为m.
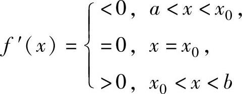
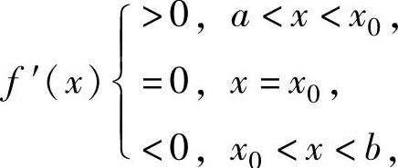
2.设函数f(x)在(a,b)内可导,且存在x0∈(a,b),使得

或
则f(x)在(a,b)内有最小值f(x0),无最大值(有最大值f(x0),无最小值).这里的a,b可分别为-∞,+∞.
【典型例题】
例1.19.1 求函数f(x)=|x2-3x+2|在[-10,10]上的最大值和最小值.
精解 由于曲线y=f(x)容易画出,因此用画图方法求解本题.
由y=x2-3x+2=(x-1)(x-2)的图形直接可得y=|x2-3x+2|的图形如图1.19.1所示,由图可知f(x)在[-10,10]上的最小值为0(它在点x=1,2处取到),最大值为
(它在点x=-10处取到).

图 1.19.1
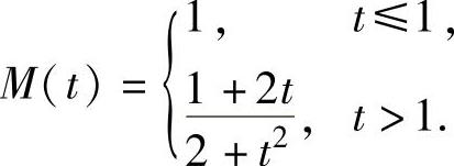
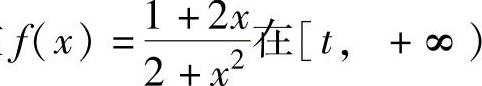
例1.19.2 设函数
上的最大值为M(t),求M(t)的表达式.
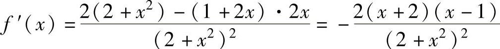
精解 用导数方法画出y=f(x)的概图,由此可得到M(t)的表达式.f(x)的定义域为(-∞,+∞),在其上可导且
,(https://www.daowen.com)
所以,f(x)的可能极值点为x=-2,1,据此列表如下:

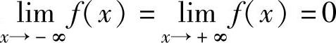
由上表及
知y=f(x)的概图如图1.19.2所示.由图可知


图 1.19.2
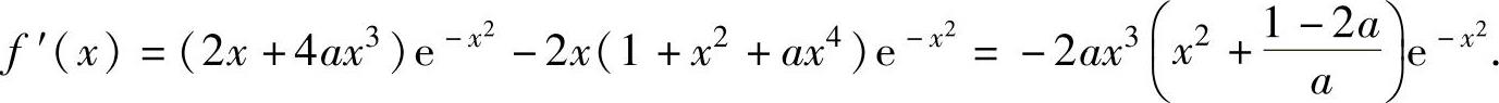
例1.19.3 设函数
,按常数a(a>0)的取值讨论f(x)在(-∞,+∞)上的最值.
精解 由于f(x)是偶函数,所以只要考虑a的取值与f(x)在[0,+∞)上取最大值的关系即可.
f(x)在[0,+∞)上可导且

当
时,f′(x)<0,x∈(0,+∞),所以f(x)在[0,+∞)上有最大值f(0)=
1.由于
,所以f(x)在[0,+∞)上无最小值.因此,f(x)在(-∞,+∞)上
有最大值f(0)=1,无最小值.
当
时,对x∈(0,+∞)有

所以,f(x)在[0,+∞)上有最大值
此外,由于f(0)=1,而
知无最小值.因此,f(x)在(-∞,+∞)上有最大值
,无最小值.