函数可导与导数的概念
【主要内容】
1.函数在点x0处可导与导数的定义
设函数f(x)在点x0的某个邻域内有定义.如果极限

存在,则称f(x)在点x0处可导,且称这个极限的值为f(x)在点x0处的导数,记为f′(x0)
或
注 函数在点x0处可导,必在点x0处连续,但反之未必正确.
函数f(x)在点x0处可导的充分必要条件是f(x)在点x0处的左导数f-′(x0)
和右导数
都存在且相等.
注 当x0是分段函数的分段点时,要判定f(x)在点x0处是否可导或在计算f′(x0)时,都需利用上述结论.
2.函数在开区间(a,b)内可导与闭区间[a,b]上可导的定义
如果f(x)在(a,b)内的每一点处都可导,则称f(x)在(a,b)内可导,并且可定义一个以(a,b)内每一点的导数为函数值的函数,称为f(x)在(a,b)内的导函数(简称导数),记为f′(x).
如果f(x)在(a,b)内可导,且在点x=a与x=b处分别存在右导数f+′(a)和左导数f-′(b),则称f(x)在[a,b]上可导,并且可定义一个以[a,b]上每一点的导数(注意:点x=a处为右导数f+′(a),点x=b处为左导数f-′(b))为函数值的函数,称为f(x)在[a,b]上的导函数(简称导数),记为f′(x).
【典型例题】
例1.8.1 设函数
,
求f′(0).
精解 由于x=0是f(x)的分段点,所以可通过计算f-′(0)与f+′(0)计算f′(0).显然f(0)=0,所以
,

因此,f′(0)=0.
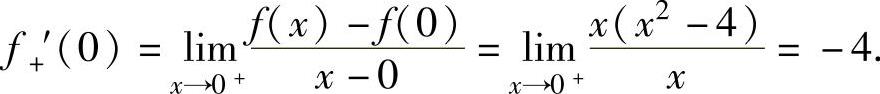
例1.8.2 设函数f(x)在(-∞,+∞)上有定义,且在[0,2)上f(x)=x(x2-4).又设对任意x∈(-∞,+∞),f(x)满足f(x)=kf(x+2),求能够使f(x)在点x=0处可导的常数k.
精解 先写出f(x)在点x=0的某个邻域,例如(-2,2)内的表达式,然后由f+′(0)=f-′(0)可得k值.
由题设知,当x∈[0,2)时,f(x)=x(x2-4),于是当x∈(-2,0)时,有x+2∈(0,2),此时(https://www.daowen.com)
f(x)=kf(x+2)=k(x+2)[(x+2)2-4]=kx(x+2)(x+4),
即
为使f(x)在点x=0处可导,k必须满足
f-′(0)=f+′(0),(1)
其中,
,

将它们代入式(1)得8k=-4,即
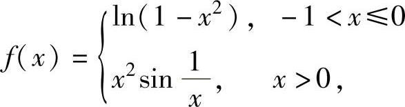
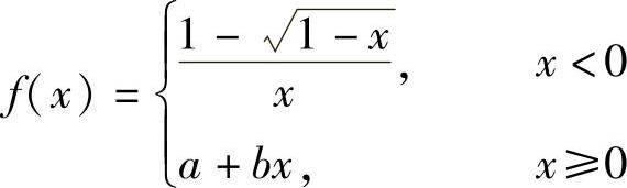
例1.8.3 设函数
,求能够使f(x)在点x=0处可导的常数,
a,b.
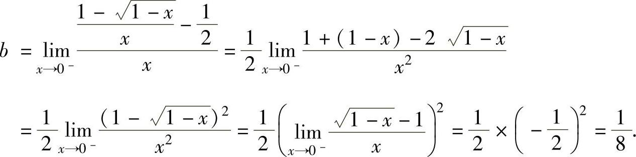
精解 由于要确定两个常数a,b,所以需要有两个方程,其中之一当然是f-′(0)=f+′(0).另一个方程可以利用“可导蕴含连续”,即要使f(x)在点x=0处可导,必然要使f(x)在点x=0处连续.
由以上分析知,a,b必须满足
由式(1)得
(3)
将式(3)代入式(2)得

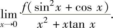
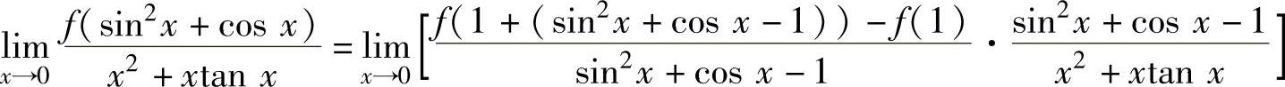
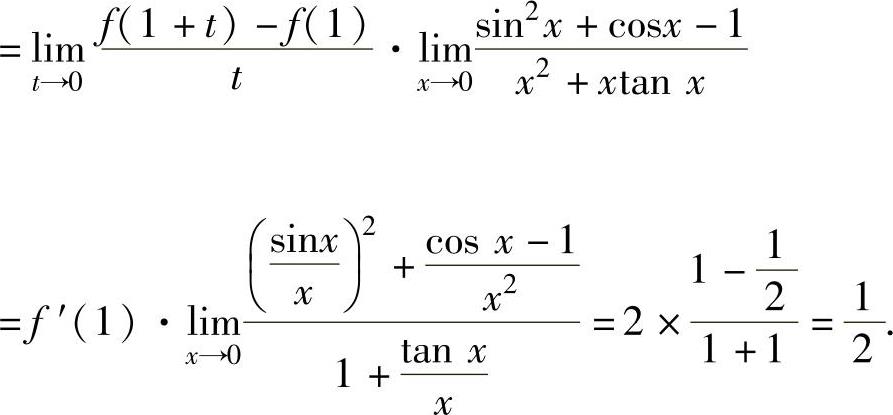
例1.8.4 设函数f(x)在点x=1处可导,且f(1)=0,f′(1)=2,求极限

精解 由于f(sin2x+cosx)=f(1+(sin2x+cosx-1))-f(1)

所以,

注 当已知函数f(x)在点x=a处的导数为f′(a)时,往往可利用导数定义计算形如

的极限.