正项级数的比较判别法
2026年01月14日
十
、正项级数的比较判别法
【主要内容】
1.比较判别法设
是正项级数,并可以找到正项级数
如果un≤vn(n=1,2,…),且
收敛,则
收敛.
如果un≥vn(n=1,2,…),且
发散,则
发散.
2.比较判别法的极限形式
设
是正项级数,并可以找到正项级数
,且
;
如果0<l<+∞,则
与
有相同的收敛性;
如果l=0,则由
收敛可得
收敛;
如果l=+∞,则由
发散可得
发散.
【典型例题】
例4.10.1(单项选择题) 设
是正项级数,则下列结论正确的是( ).
A.若
,则
收敛
B.若存在非零常数λ,使得
,则
发散
C.若
收敛,则
D.若
发散,则存在非零常数λ,使得
精解 顺序考虑各个选项,直到得到正确选项为止.
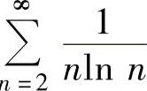
先考虑选项A.对正项级数
,虽然
,但
发散
(详见本节例4.10.4),所以选项A不能选.
再考虑选项B.由于
(正数),(https://www.daowen.com)
而
发散,所以由比值判别法的极限形式知
发散,即选项B正确.
因此本题选B.
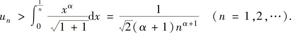
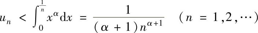
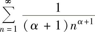
例4.10.2 讨论正项级数
的收敛性.
精解 用比较判别法讨论所给级数的收敛性.
记
,则
,
因此,当α>0时,由正项级数
收敛知所给级数收敛;当-1<α≤0时,由
正项级数
发散知所给级数发散.
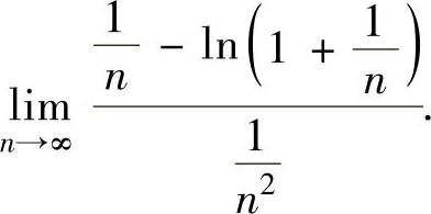
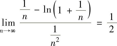
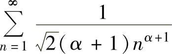
例4.10.3 判别级数
的收敛性.
精解 由ln(1+x)<x(x>0)知所给级数是正项级数.下面用比较判别法的极限形式考虑它的收敛性.为此计算极限

将上式中的
看做x,则由

得
,而
收敛,所以
也收敛.
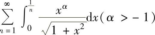
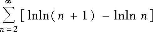
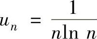
例4.10.4 证明:正项级数
发散.
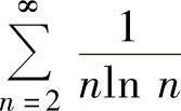
精解 记
,将它适当缩小,寻找一个发散的正项级数
:
对lnlnx在[n,n+1](n=2,3,…)上应用拉格朗日中值定理得
lnln(n+1)-lnlnn=(lnlnx)′x=ξn(ξn∈(n,n+1))
,
即有
,并且
,
即
发散,所以由比较判别法知
发散.