二维连续型随机变量的两类条件概率的计算
2026年01月14日
十二
、二维连续型随机变量的两类条件概率的计算
【主要内容】
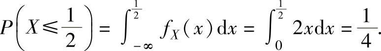
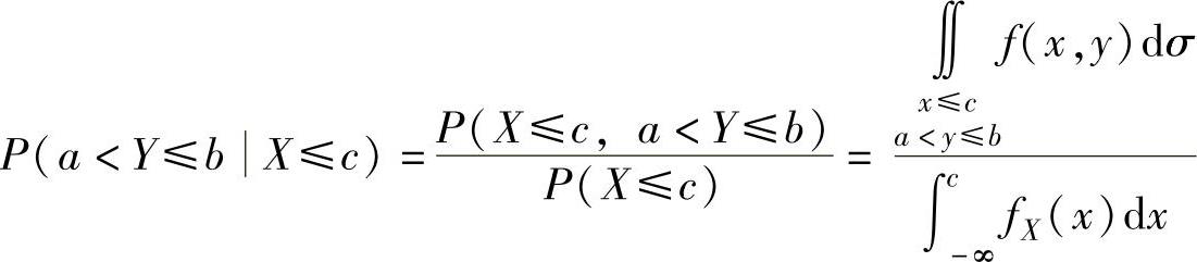
设二维连续型随机变量(X,Y)的概率密度为f(x,y),则两类条件概率P(a<Y≤b X≤c)(其中,P(X≤c)>0)和P(a<Y≤bX=c)(其中,边缘概率密度fX(x)在点x=c处的值fX(c)>0)可以分别按以下公式计算:
(1)
;
(2)
(其中,fYX(yc)是在X=c的条件下,Y的
条件概率密度).
【典型例题】
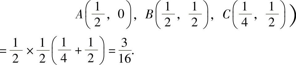
例7.12.1 设二维随机变量(X,Y)的概率密度为

求条件概率
精解 f(x,y)仅在区域G={(x,y)0<x<1,0<y<2x}(如图7.12.1阴影部分所示)内取值为1,在xOy平面的其他部分都取值为零.

图 7.12.1
由于
其中,


为计算
,需先算出(X,Y)的关于X的边缘概率密度fX(x):

所以
将它们代入式(1)得

例7.12.2 设二维随机变量(X,Y)的概率密度为
求条件
概率P(X≤2Y=1).
精解 f(x,y)在区域D={(x,y)0<y<x}(如图7.12.2阴影部分所示)上取值为e-x,在平面xOy的其他部分取值都为零.
(https://www.daowen.com)
图 7.12.2
由于
,(1)
其中,
,(2)
而
,
将它们代入式(2)得
将它代入式(1)得

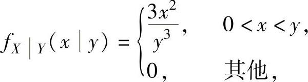
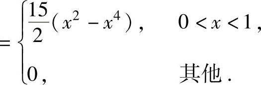
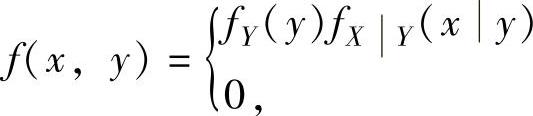
例7.12.3 设有随机变量X,Y,且在Y=y的条件下,X的条件概率密度为

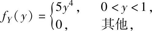
而Y的概率密度为
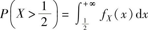
求:
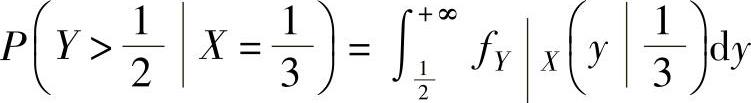
(1)概率
(2)条件概率
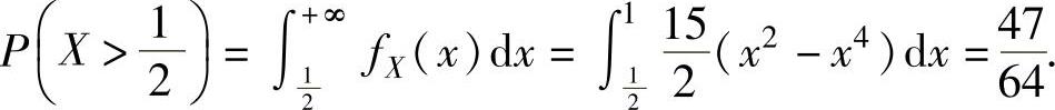
精解 (1)由于
,其中fX(x)是关于X的边缘概率密度,因
此应先计算(X,Y)的概率密度f(x,y).
由于
,fY(y)>0,fXY(x,y)>0,
其他,
,
,
即f(x,y)仅在区域D={(x,y)0<x<y<1}(如图7.12.3阴影部分所示)内取非零值15x2y,

图 7.12.3
所以
,
因此
(2)由于
,
其中,
所以,