不定积分的分部积分法
【主要内容】
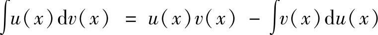
不定积分的分部积分法就是利用公式
(其中,
u(x),v(x)都具有连续的导数),将不定积分
如果
∫v(x)du(x)比较容易计算,则由上述公式就可算得
注 用分部积分法计算不定积分∫
时,应将它表示成∫
的形式,即

关于如何选择u(x),应遵循以下两个原则:
(ⅰ)容易确定v(x),它是f(x)中除去u(x)后的剩余部分的一个原函数;
较
容易计算.
具体地,如果f(x)是对数函数或反三角函数时,则取u(x)=f(x);如果f(x)是幂函数与三角函数或指数函数之积时,则取u(x)为幂函数;如果f(x)是幂函数与反三角函数或对数函数之积时,则取u(x)为反三角函数或对数函数;如果f(x)是指数函数与三角函数之积时,可取u(x)为指数函数或三角函数.
【典型例题】
例2.2.1 求不定积分
精解 由于被积函数是反三角函数,所以取u(x)=arctanx,于是由dv(x)=dx得v(x)=x.因此由分部积分法得


例2.2.2 求不定积分
精解 由于被积函数是幂函数与三角函数之积,所以取u(x)=x,于是由

得
因此由分部积分法有

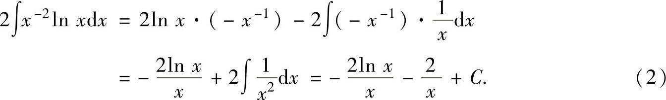
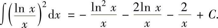
例2.2.3 求不定积分
精解 由于
是幂函数与对数函数之积,所以取u(x)=ln2x,于是由dv(x)=x-2dx=d(-x-1)得v(x)=-x-1.因此由分部积分法有

由于式(1)中不定积分的被积函数仍是幂函数与对数函数之积,所以取u1(x)=lnx,于是由dv1(x)=x-2dx=d(-x-1)得v1(x)=-x-1.因此由分部积分法有(https://www.daowen.com)

将式(2)代入式(1)得

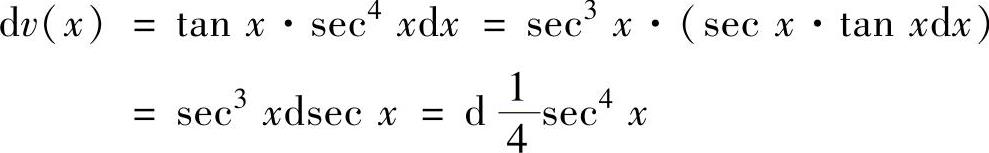
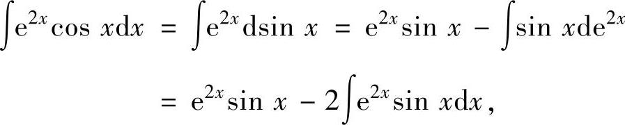
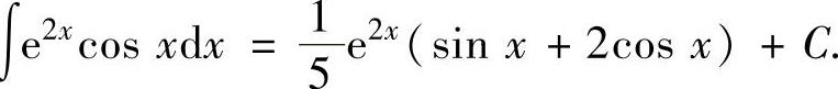
例2.2.4 求不定积分
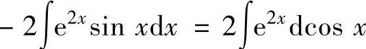
精解 由于被积函数是指数函数与三角函数之积,所以取u(x)=e2x,于是由dv(x)=cosxdx=dsinx得v(x)=sinx.因此由分部积分法有


今后在计算过程中不必详写u(x)与v(x)的选取与计算,因此上述计算可直接写为

其中,

将式(2)代入式(1)得
即
所以,
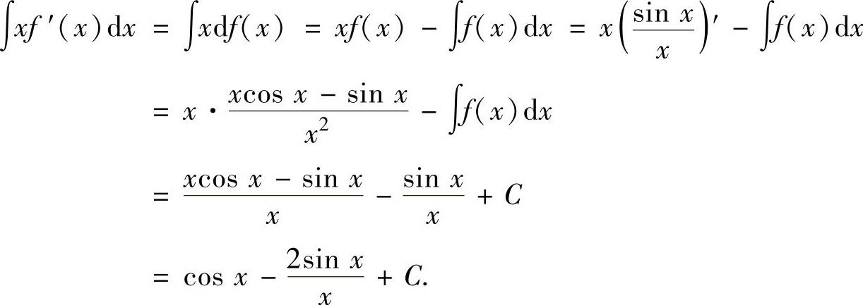
例2.2.5 设函数f(x)有一个原函数
,求
精解 本题可用分部积分法计算.

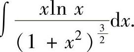
例2.2.6 求不定积分
精解 由于被积函数中含有
,所以作变量代换x=tant后再进行计算.

其中
,
,这些都可从图
2.2.6中得到.
注 本题的不定积分是结合换元积分法与分部积分法算出来的.这种处理方法在不定积分的计算中是常会出现的,应予以注意.

图 2.2.6