二维正态分布的性质
【主要内容】
服从二维正态分布的随机变量有以下常用的性质:
(1)设(X,Y)~N(μ1,μ2,σ21,σ22,ρ),则X~N(μ1,σ21),Y~N(μ2,σ22);反之,如果X与Y相互独立,且X~N(μ1,σ21),Y~N(μ2,σ22),则(X,Y)~N(μ1,μ2,σ21,σ22,0)(注意:这个结论中X与Y相互独立的条件是不可缺少的).
(2)设(X,Y)~N(μ1,μ2,σ21,σ22,ρ),则对任意不全为零的常数a,b,有aX+bY~N(aμ1+bμ2,a2σ21+b2σ22+2abρσ1σ2);特别地,当X与Y相互独立,且X~N(μ1,σ21),Y~N(μ2,σ22)时,对于不全为零的常数a,b,有aX+bY~N(aμ1+bμ2,a2σ21+b2σ22).
(3)设(X,Y)~N(μ1,μ2,σ21,σ22,ρ),则X与Y相互独立的充分必要条件是ρ=0.
(4)设(X,Y)~N(μ1,μ2,σ21,σ22,ρ),则(Z1,Z2)服从二维正态分布,其中,Z1和Z2都是关于X,Y的线性函数,即Z1=a1X+b1Y,Z2=a2X+b2Y(其中a1,a2,b1,b2
是常数且
【典型例题】
例7.15.1 设随机变量X与Y相互独立,且X~N(0,1),Y~N(1,1),求概率P(X+Y≤1)与P(X-Y≤1).
精解 利用二维正态分布的性质可以确定Z1=X+Y与Z2=X-Y服从正态分布,由此即可得到概率P(X+Y≤1)与P(X-Y≤1).(https://www.daowen.com)
由于X与Y相互独立,且X,Y分别服从N(0,1)和N(1,1),所以
Z1=X+Y~N(1×0+1×1,12×1+12×1)=N(1,2),
Z2=X-Y~N(1×0+(-1)×1,12×1+(-1)2×1)=N(-1,2),因此,
,
例7.15.2 设随机变量X与Y相互独立,且都服从正态分布
,求随机变量W=X-Y的概率密度.
精解 先确定Z=X-Y所服从的正态分布,然后通过计算随机变量W=Z的分布函数算出W的概率密度fW(w).
由于X与Y相互独立,且都服从正态分布
,所以Z=X-Y~
,因此Z的概率密度为
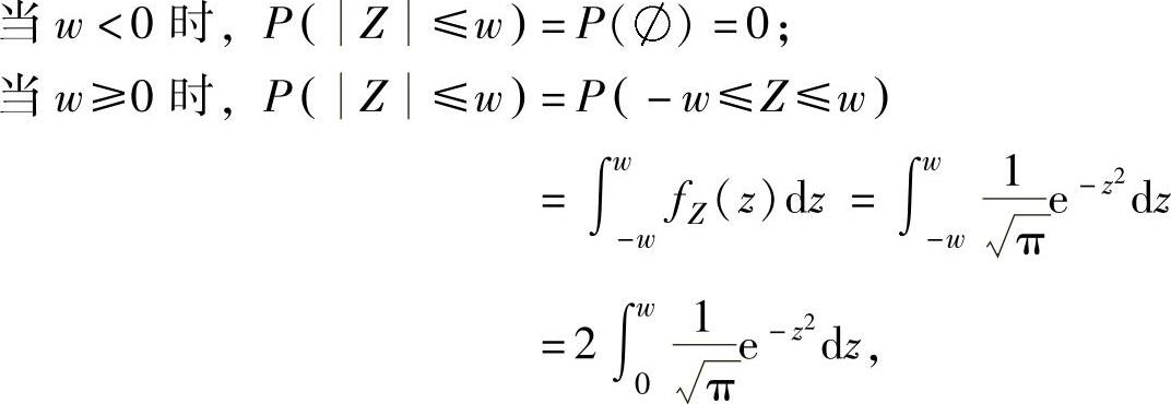
设W=Z的分布函数为FW(w),则由分布函数的定义知
FW(w)=P(W≤w)=P(Z≤w).下面计算上式右边的概率:

即
