二元随机变量函数的分布
【主要内容】
1.二元随机变量函数分布的计算
设(X,Y)是二维随机变量,g(x,y)是已知函数,则称随机变量Z=g(X,Y)为两个随机变量的函数.
当(X,Y)是二维离散型随机变量,其分布列为P(X=xi,Y=yj)=pij(i=1,2,…,m,…;j=1,2,…,n,…)时,Z=g(X,Y)的分布律为

这里z1,z2,…,zk,…确定如下:对每对(xi,yj)算出g(xi,yj)的值,然后将它们整合,即相同的只保留一个,并作由小到大的排列.此外,

由此可以进一步算出Z的分布函数FZ(z).
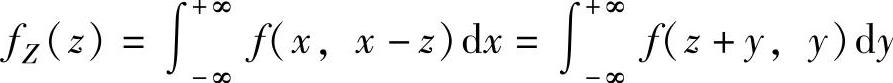
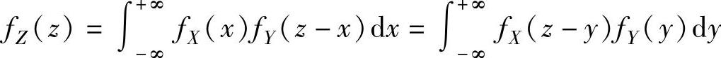
当(X,Y)是二维连续型随机变量,其概率密度为f(x,y)时,随机变量Z=g(X,Y)的分布函数FZ(z)与概率密度fZ(z)可按以下方法计算:

2.常见的两个随机变量函数的分布
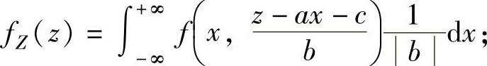
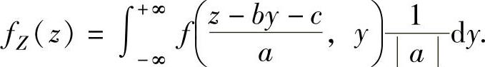
(1)设(X,Y)是二维连续型随机变量,其概率密度为f(x,y),则随机变量Z=aX+bY+c(a,b,c是常数)的概率密度fZ(z)为
当b≠0时,
当a≠0时,
注 (ⅰ)当Z=X+Y时,
,特别地,当
X与Y相互独立时,
(其中,fX(x)和fY(y)分别是X和
Y的概率密度).
(ⅱ)当Z=X-Y时,
y,特别地,当X与
Y相互独立时,
(其中,fX(x)和fY(y)分别是X和
Y的概率密度).
(2)设X与Y相互独立,它们的分布函数分别为FX(x)与FY(y),则随机变量Z1=max{X,Y}与Z2=min{X,Y}的分布函数分别为

【典型例题】
例7.14.1 设随机变量X与Y相互独立,它们的分布律分别为


求随机变量Z=X+2Y的分布律.
精解 先写出(X,Y)的分布律,然后据此确定Z的分布律.
由于X与Y相互独立,所以(X,Y)的分布律为

由上表可知Z=X+2Y全部可能取的值为-2,-1,0,1,2,3,4,并且对应的概率为
,
,
,
,
,
,
,
因此Z=X+2Y的分布律可列表表示为

例7.14.2 设随机变量(X,Y)的概率密度为

求随机变量Z=X+Y的概率密度fZ(z).
精解 按Z=X+Y的概率密度计算公式计算fZ(z),即
(https://www.daowen.com)
,
其中,
,
,
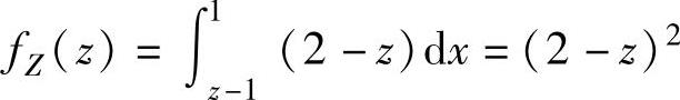
由此可知,f(x,z-x)在D={(x,z)0<x<1,0<z-x<1}(如图7.14.2阴影部分所示)上取值为2-z,在xOz平面的其他部分取值都为零.

图 7.14.2
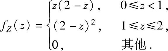
当0≤z<1时,
,
当1≤z≤2时,
,
当z<0或z>2时,
因此
例7.14.3 设二维随机变量(X,Y)的概率密度为

求随机变量Z=2X-Y的概率密度fZ(z).
精解 按Z=2X-Y的概率密度计算公式计算fZ(z),即
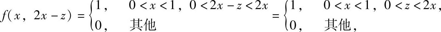
,其中,
即f(x,2x-z)在D={(x,z)0<x<1,0<z<2x}(如图7.14.3阴影部分所示)上取值为1,在xOz平面的其他部分上取值为零.

图 7.14.3
当0≤z≤2时,

当z<0或z>2时,

,
即
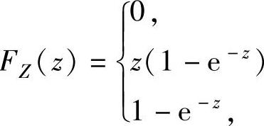
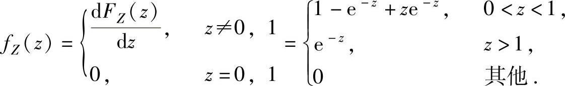
例7.14.4 设随机变量X与Y相互独立,X~E(1),Y~U[0,1].
(1)求随机变量Z=max{X,Y}的概率密度fZ(z);
(2)记U=min{X,Y},求概率
精解 (1)先算Z的分布函数FZ(z),然后求导得到fZ(z).
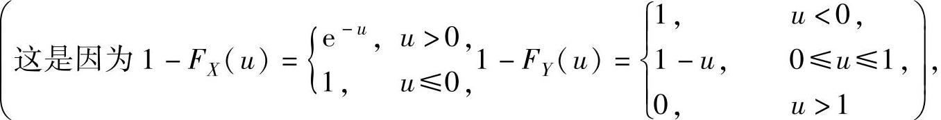
由于X与Y相互独立,所以FZ(z)=FX(z)FY(z),(1)
其中,由X的概率密度
,得X的分布函数

,x>0
{x≤0,从而
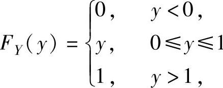
由Y的概率密度
得Y的分布函数
,从而
,所以
z<0,,0≤z≤1,
z>1.
由此得到,
(2)先计算U的分布函数FU(u),然后由
算出这个概
率.由于U=min{X,Y}的分布函数


所以,
