幂级数的收敛半径、收敛区间与收敛域
【主要内容】
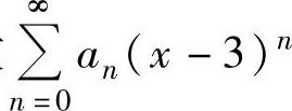
形如
的级数称为关于x的幂级数(简称幂级数),a0,a1,…,an,…称为该幂级数的系数.
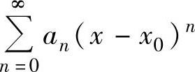
幂级数的一般形式为
,称为关于x-x0的幂级数.显然,它可令y=x-x0
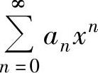
转换成关于y的幂级数
因此下面主要讨论关于幂级数
的收敛半径、收敛区间
与收敛域.
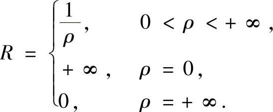
1.幂级数的收敛半径
设
,如果它不是仅在点x=0处收敛,也不是对任何实数x都收敛的幂级数,则定
义
的收敛半径为当x<R时该幂级数绝对收敛,当x>R时该幂级数发散的实数
R.
此外,当
仅在点x=0处收敛时,定义它的收敛半径为0;当
对任何实数x
都收敛时,定义它的收敛半径为+∞.
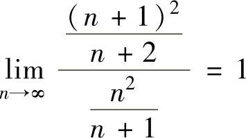
如果幂级数
有
,则它的收敛半径为

2.幂级数的收敛区间与收敛域
如果幂级数
的收敛半径R为有限数,则它的收敛区间为(-R,R),收敛域为(-R,R)及其收敛的端点.
如果幂级数
的收敛半径R=+∞,则它的收敛区间与收敛域同为(-∞,+∞);如
果幂级数
的收敛半径R=0,则它没有收敛区间,但收敛域为{0}.
注 计算幂级数
的收敛半径、收敛区间与收敛域的前提是数列
存在及
极限
存在或为+∞.当这个前提不具备(如
是缺项幂级数,即{an}中有无
穷多项为零)时,可用正项级数比值判别法或根值判别法确定使正项级数
收敛的
开区间,例如(-R,R),则R即为收敛半径,至于收敛域则可以由(-R,R)及其收敛的端点确定.
【典型例题】
例4.12.1(单项选择题) 设幂级数
在点x=-4处条件收敛,则该幂级数
的收敛半径R为( ).
A.4 B.5 C.8 D.11
精解 记y=2x-3,则x=-4时,y=-11.于是由题设知,幂级数
在点y=(https://www.daowen.com)
-11处条件收敛,因此y=-11是
收敛域的边界点(这是因为,如果y=-11不是收
敛域的边界点,则
在点y=-11处或绝对收敛,或发散,这都与题设矛盾).从而,
的收敛半径,即
的收敛半径R=11.
因此本题选D.
例4.12.2 已知幂级数
在点x=0处收敛,在点x=6处发散,求它的收敛域.
精解 令y=x-3,则x=0时,y=-3;x=6时,y=3.于是由题设知幂级数
在y=-3处收敛,在y=3处发散,前者可以推出
的收敛半径R≥3,后者可以推出
R≤3,从而R=3,于是收敛区间为(-3,3),但是y=-3是收敛点,而y=3不是收敛点.因此
的收敛域为[-3,3),由此得到幂级数
的收敛域为[0,6).
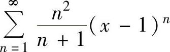
例4.12.3 求幂级数
的收敛域.
精解 记y=x-1,则所给的幂级数成为

由于
,所以式(1)的收敛半径为R=1,收敛区间为(-1,1).
当y=-1和y=1时,式(1)分别成为
,
这两个级数的通项极限都不为零,因此它们都是发散的,即y=-1,1都不是式(1)的收敛点.由此可知,式(1)的收敛域为(-1,1),从而所给幂级数的收敛域为(0,2).
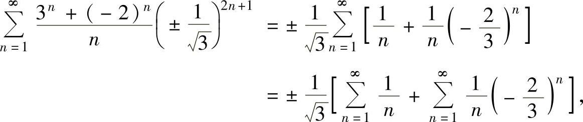
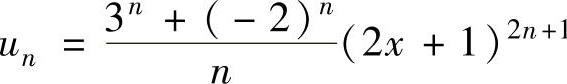
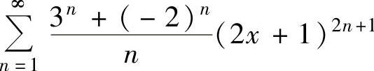
例4.12.4 求下列幂级数的收敛域:
(1)
;
(2)
精解 (1),(2)中的幂级数都是缺项幂级数,因此要用正项级数比值判别法来计算收敛区间,然后确定收敛域.
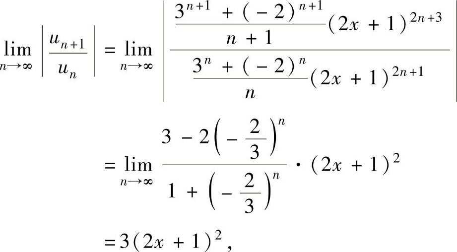
(1)记
,则
于是,当3(2x+1)2<1,即
时,所给幂级数收敛;当3(2x+1)2>1,即
时,所给幂级数发散,因此这个幂级数的收敛区间为

下面考虑两个端点,即
,
时幂级数的收敛性:
当
时,所给幂级数成为
其中,
发散,而
绝对收敛,所以
发散,即点x=
,
都不是所给幂级数的收敛点.
因此,所给幂级数的收敛域为
(2)记
,则

所以由正项级数的根值判别法知,当x≤1时,所给幂级数收敛,而x>1时,所给幂级数发散.
从而,这个幂级数的收敛域为{xx≤1}=[-1,1].