正项级数的比值判别法与根值判别法
2026年01月14日
九
、正项级数的比值判别法与根值判别法
【主要内容】
1.正项级数收敛的充分必要条件
如果un≥0(n=1,2,…),则称
为正项级数.
正项级数
收敛的充分必要条件是它的部分和数列{sn}有上界
2.比值判别法
设
是正项级数.如果
,则
当ρ<1时,
收敛;
当ρ>1时,
发散;
当ρ=1时,
的收敛性要用其他方法判别.
注 当un包含有n!之类的因子,或关于n的若干个因子连乘形式时,往往用比值判别法
判别正项级数
的收敛性.
3.根值判别法
设
是正项级数,如果
,则
当ρ<1时,
收敛;
当ρ>1时,
发散;
当ρ=1时,
的收敛性要用其他方法判别.
注 当un包含有n或关于n的函数为指数的因子时,往往用根值判别法判别正项级数
的收敛性.
【典型例题】
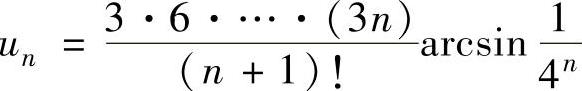
例4.9.1 判别正项级数
的收敛性.
精解 用比值判别法判别.记
,则

,
所以,所给正项级数收敛.
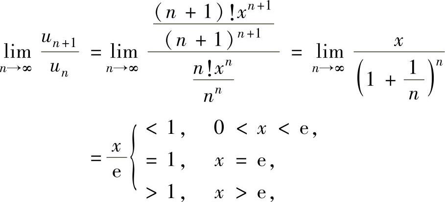
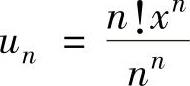
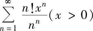
例4.9.2讨论正项级数
的收敛性与x取值的关系.(https://www.daowen.com)
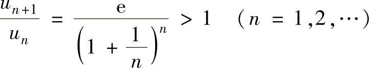
精解 用比值判别法进行讨论.记
,则

所以由比值判别法知,当0<x<e时,所给正项级数收敛;当x>e时,所给正项级数发散;
当x=e时,由于
单调增加收敛于e,所以
,
即{un}单调增加,于是由un>u1=e(n=2,3,…)知
,由此推出x=e时所给正项
级数发散.
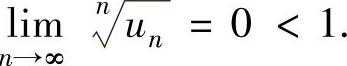
例4.9.3 判别正项级数
的收敛性.
精解 用根值判别法判别收敛性.记
,则

由于
,所以
从而所给正项级数收敛.
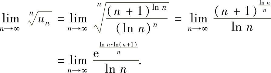
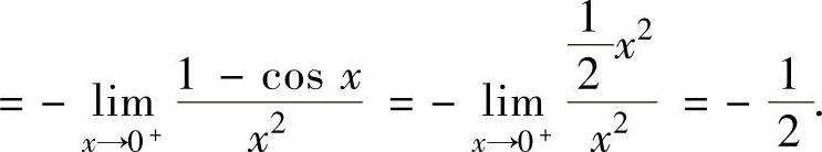
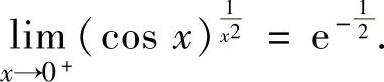
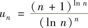
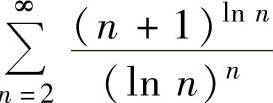
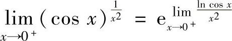
例4.9.4 判别正项级数
的收敛性.
精解 用根值判别法判别收敛性.记
,则

考虑函数极限
(即将
看成x):
,(1)
其中,

将它代入式(1)得

从而
,因此所给正项级数收敛.
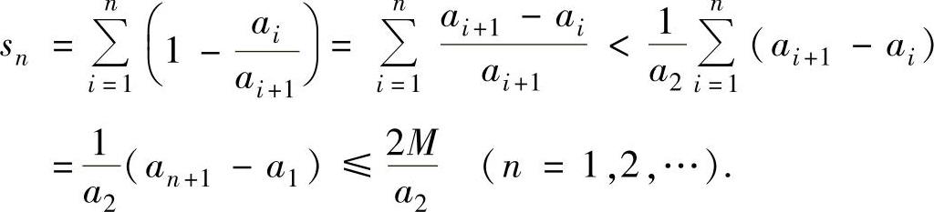
例4.9.5 设正项数列{an}单调增加且有上界,证明:级数
收敛.
精解 由{an}单调增加知
,因此
是正项级数,
于是只要证明数列
有上界即可.
记数列{an}的上界为M,则

因此,级数
n
收敛.