函数的单调性
【主要内容】
设f′(x)>0(x∈(a,b))或f′(x)≥0(x∈(a,b),但仅在有限个点处取等号),则函数f(x)在(a,b)内单调增加;设f′(x)<0(x∈(a,b))或f′(x)≤0(x∈(a,b),但仅在有限个点处取等号),则函数f(x)在(a,b)内单调减少.
注 (ⅰ)以上结论在a=-∞或b=+∞时仍成立;
(ⅱ)当f(x)在[a,b]上连续时,端点x=a,x=b可以并入到f(x)的单调区间中去.
【典型例题】
例1.17.1 计算下列函数的单调区间:
(1)
;
(2)
精解 (1)f(x)的定义域为(-∞,+∞),且在定义域上连续,由

可知,f(x)的驻点(即使f′(x)=0的点)为x=1,不可导点为x=0,2.据此列表如下:

由表可知,f(x)的单调增加区间为[0,1]和[2,+∞),单调减少区间为(-∞,0]和[1,2].
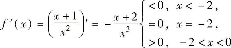
(2)当x<0时,由
知f(x)在(-∞,-2]上
单调减少,在[-2,0)上单调递增.
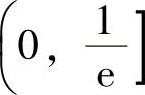
知f(x)在0,1
[e]上单调减少(这里由于
f(x)在点x=0处右连续),在
上单调递增.
因此,f(x)的单调增加区间为[-2,0)和
,单调减少区间为(-∞,-2]和
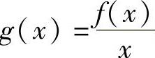
例1.17.2 设函数在(-∞,+∞)上二阶可导,且f(0)=0,f″(x)>0.证明:
(-∞,0)和(0,+∞)都是函数
的单调增加区间.
精解 当x≠0时,g(x)可导且(https://www.daowen.com)

为了判定g′(x)的正负性,记φ(x)=xf′(x)-f(x),则φ(x)在(-∞,+∞)上可导且

所以,当x≠0时,φ(x)>φ(0)=0(这是因为,当x<0时,φ(x)单调减少,从而有φ(x)>φ(0);当x>0时,φ(x)单调增加,从而有φ(x)>φ(0)),因此g′(x)>0.由此得到(-∞,0)和(0,+∞)都是函数g(x)的单调增加区间.
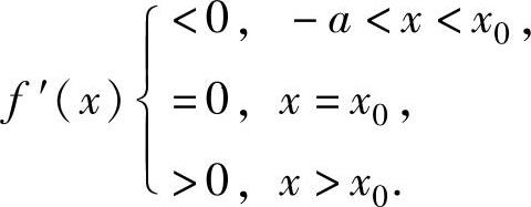
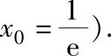
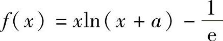
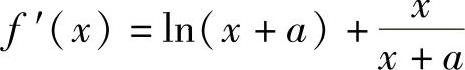
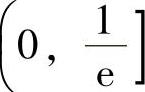
例1.17.3 问常数a(a>0)为何值时,函数
仅有单调减少区间
精解 利用f′(x)算出f(x)的单调减少区间,将它与
比较即可确定a的值.
f(x)的定义域为(-a,+∞),在其上f(x)二阶可导且有
,
所以,f′(x)在(-a,+∞)上单调增加,此外,
,
所以,方程f′(x)=0在(-a,+∞)上有且仅有一个实根,记为x0,则

由此可知,f(x)的单调减少区间为(-a,x0].将它与题设
比较,得a=0(且容
易检验
注 设函数φ(x)在[a,b]上连续时,如果f(a)f(b)<0,且f(x)在(a,b)内单调增加(或单调减少),则方程φ(x)=0在(a,b)内有唯一实根.
上述结论有各种推广形式,例如:当函数f(x)在(a,+∞)上连续时,如果
,且f(x)在(a,+∞)上单调增加(或单调减少),则方程f(x)=0在(a,+∞)上有唯一实根.
本题解答中应用了上述的推广形式.应记住这个结论及其推广形式.
例1.17.4 (单项选择题)设函数f(x)在定义域内可导,且y=f(x)的图形如图1.17.4所示,则导函数y=f′(x)的图形为().

图 1.17.4

精解 由y=f(x)的图形可知,当x<0时,f(x)单调增加,f′(x)不能取负值,于是选项A、C不能选.
当x>0时,曲线y=f(x)靠近y轴部分单调增加,所以当x较小时f′(x)不会取负值.于是选项B不能选.
因此本题选D.