反常积分收敛性的概念及其计算
【主要内容】
1.无穷限反常积分
(1)无穷限反常积分定义
设函数f(x)在[a,+∞)上连续.如果极限
存在,则称这个极限值为f(x)
在[a,+∞)上的反常积分,记为
,此时称反常积分
收敛;如果极限
不存在,则称反常积分
发散.
设函数f(x)在(-∞,b]上连续.如果极限
存在,则称这个极限值为f(x)在
(-∞,b]上的反常积分,记为
,此时称反常积分
收敛;如果极限
不存在,则称反常积分
发散.
设函数f(x)在(-∞,+∞)上连续.如果
都收敛,则称它们的和
为f(x)在(-∞,+∞)上的反常积分,记为∫
,此时称反常积分∫
收敛;如果
和
中至少有一个发散,则称反常积分
发散.
注 (ⅰ)设f(x)是[a,+∞)上的非负连续函数,则当
收敛时,其值即为曲线
y=f(x)与x轴之间的位于直线x=a右边的平面图形面积.
(ⅱ)在计算收敛的反常积分时,也有像定积分中牛顿-莱布尼茨公式那样的记法,例如,

其中,F(x)是f(x)的一个原函数,把+∞代入F(x)应理解为
(2)无穷限反常积分收敛性判别
为例.
设函数f(x)在[a,+∞)上连续且f(x)≥0.如果存在常数p>1,使得lim
x
存在,
则反常积分
收敛;如果
为正数或无穷大,则反常积分
发散.
2.无界函数的反常积分
(1)无界函数反常积分的定义
设函数f(x)在(a,b]上连续,且
(称x=a为瑕点).如果极限lim
t
存在,则称这个极限值为f(x)在[a,b]上的反常积分,记为∫
,此时称反常积分
收敛;如果极限
不存在,则称反常积分∫
发散.
设函数f(x)在[a,b)上连续,且
(称x=b为瑕点).如果极限
存在,则称这个极限值为f(x)在[a,b]上的反常积分,记为
,此时称反常积分
收敛;如果极限
不存在,则称反常积分
发散.
设函数f(x)在[a,b]上除点x=c(a<c<b)外处处连续,且
(称x=c为
瑕点).如果反常积分
都收敛,则称它们的和为f(x)在[a,b]上的反常积
分,记为
,此时称反常积分
收敛;如果
中至少有一个发
散,则称反常积分
发散.
注 在计算收敛的反常积分时,也有像定积分中的牛顿-莱布尼茨公式那样的记法,例如,当x=a为瑕点时,
,(https://www.daowen.com)
其中,F(x)是f(x)的一个原函数,将a代入F(x)应理解为
(2)无界函数反常积分收敛性的判别
以
(其中,仅有瑕点x=a)为例.
设函数f(x)在(a,b]上连续,且f(x)≥0,但
.如果存在常数0<q<1,使
得
存在,则反常积分∫
收敛;如果
为正数或无穷大,则
反常积分
发散.
【典型例题】
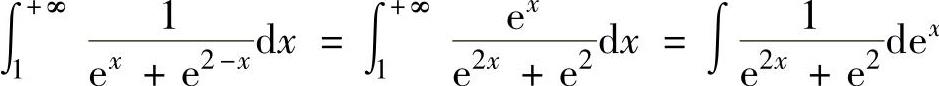
例2.11.1 求反常积分
精解

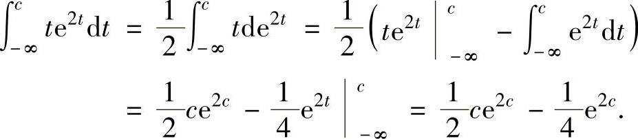
例2.11.2 已知lim
x
精解 分别求出所给等式左边的极限与右边的反常积分,解由此得到的关于c的方程即可得到c的值.由于

于是题设中所给的等式成为
, 即
解此方程得
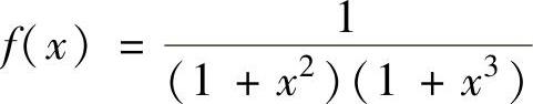
例2.11.3 设f
,求在曲线y=f(x)与x轴之间的位于右半平面
的平面图形的面积S.
精解 由于f(x)>0(x∈[0,+∞)),所以

即
因此
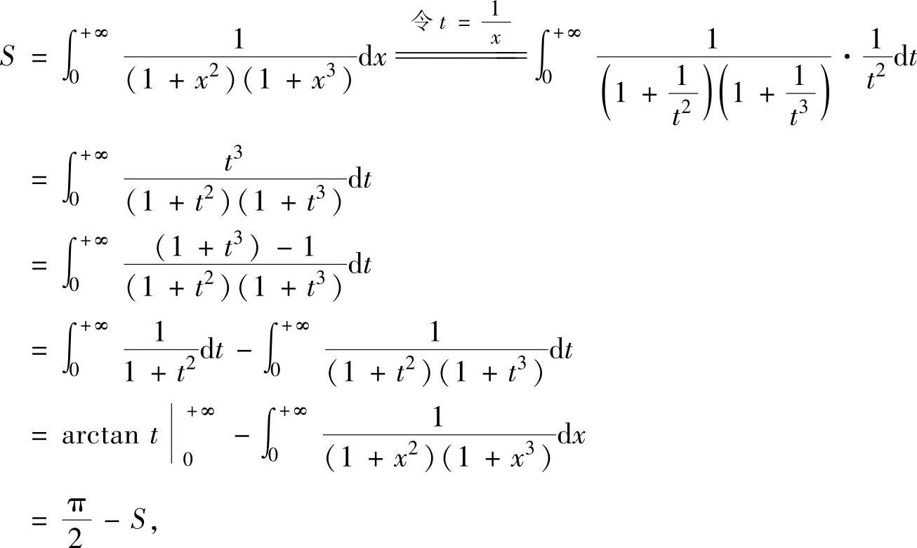
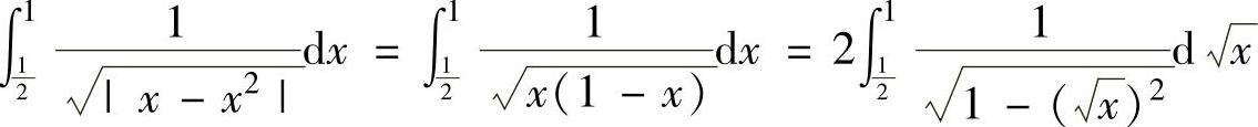
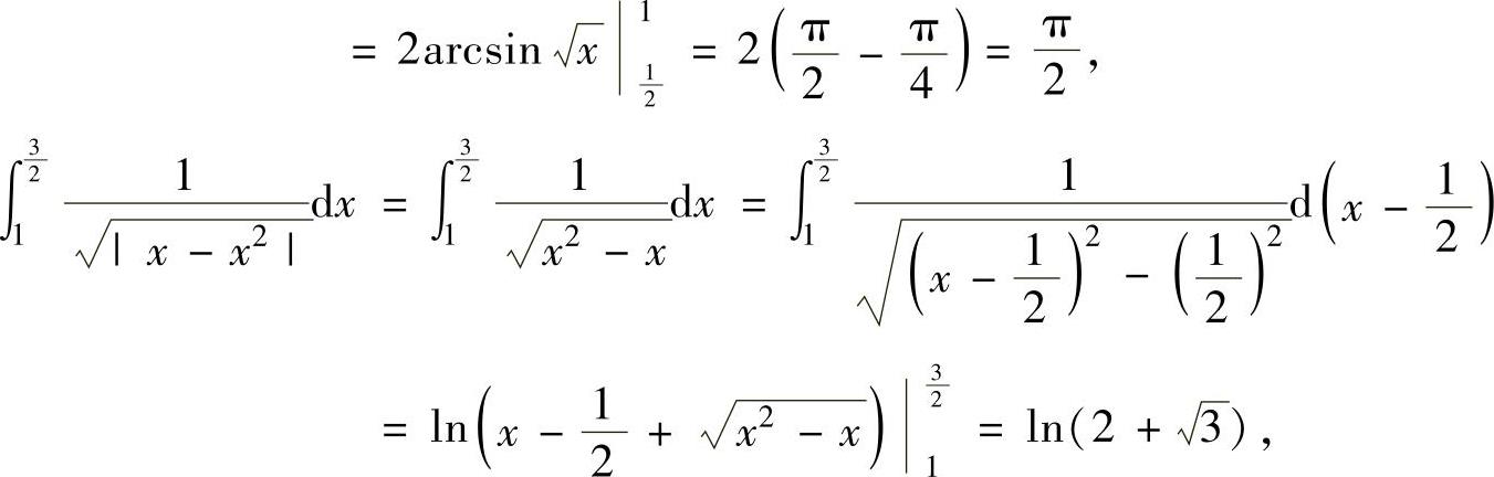
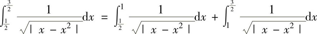
例2.11.4 求反常积分
精解 被积函数在
上仅有瑕点x=1,因此分别计算反常积分
和∫
由于

所以,

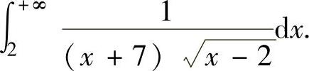
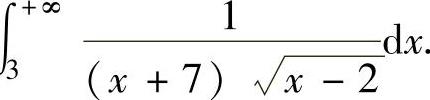
例2.11.5 求反常积分
精解 由于所给的反常积分既是无穷限反常积分,又是无界函数反常积分(其中,x=2是瑕点),所以需分别计算反常积分
和∫
由于

所以,

因此
