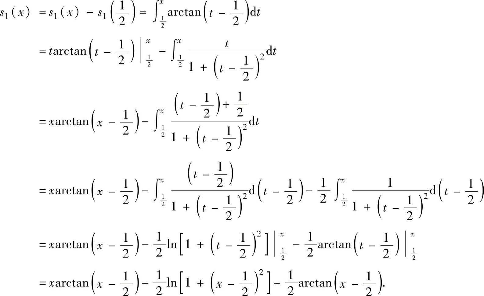
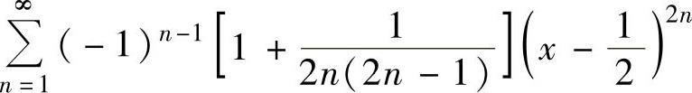
求幂级数的和函数
【主要内容】
1.求幂级数
和函数的方法
的和函数可按以下方法计算:
(1)对
进行适当的代数运算(例如,将
的各项同乘以一个常数或xk,或者
提出一个常数或xk,k为某个正整数),或作适当的变量代换,使其成为常用函数的麦克劳林级
数,从而求得
的和函数s(x).有时将
表示成几个幂级数之和,然后对每个幂级
数都作以上处理,由此算得
的和函数s(x).
(2)对
在收敛区间内进行求导或积分运算,使其成为某个常用函数的麦克劳林级
数或几个常用函数的麦克劳林级数之和,由此求得
的和函数s(x).
2.求幂级数
和函数的方法
令y=x-x0,所给幂级数成为
,利用上一段所述方法算出它的和函数,记为
s1(y),则
的和函数s(x)=s1(x-x0).
【典型例题】
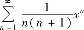
例4.14.1 求幂级数
的和函数s(x).
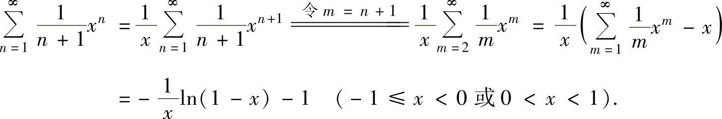
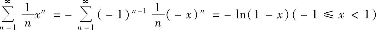
精解 所给幂级数的收敛域为[-1,1],对任意x∈[-1,1)有
,(1)
其中,
,

将它们代入式(1)得

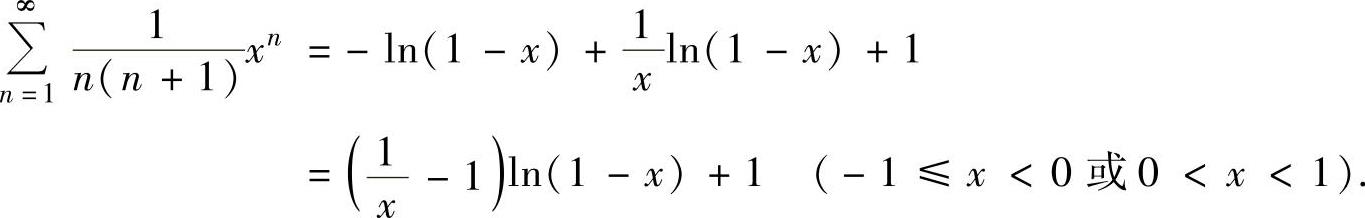
即当x∈[-1,0)∪(0,1)时,
此外,
,
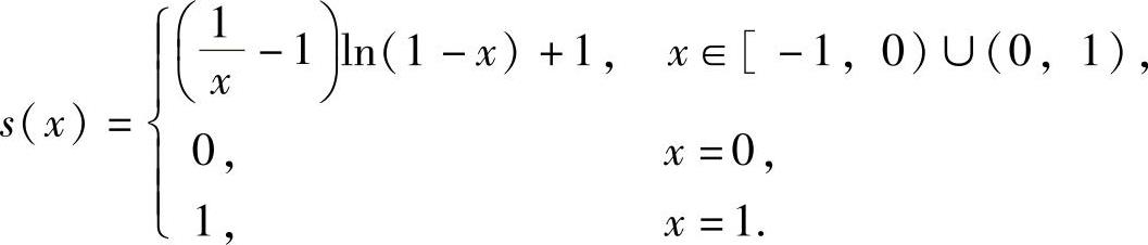
综上所述,
例4.14.2求幂级数
的收敛域与和函数.
精解 由
知,所给幂级数的
收敛半径R=+∞,由此得收敛域为(-∞,+∞).对任意x∈(-∞,+∞)有

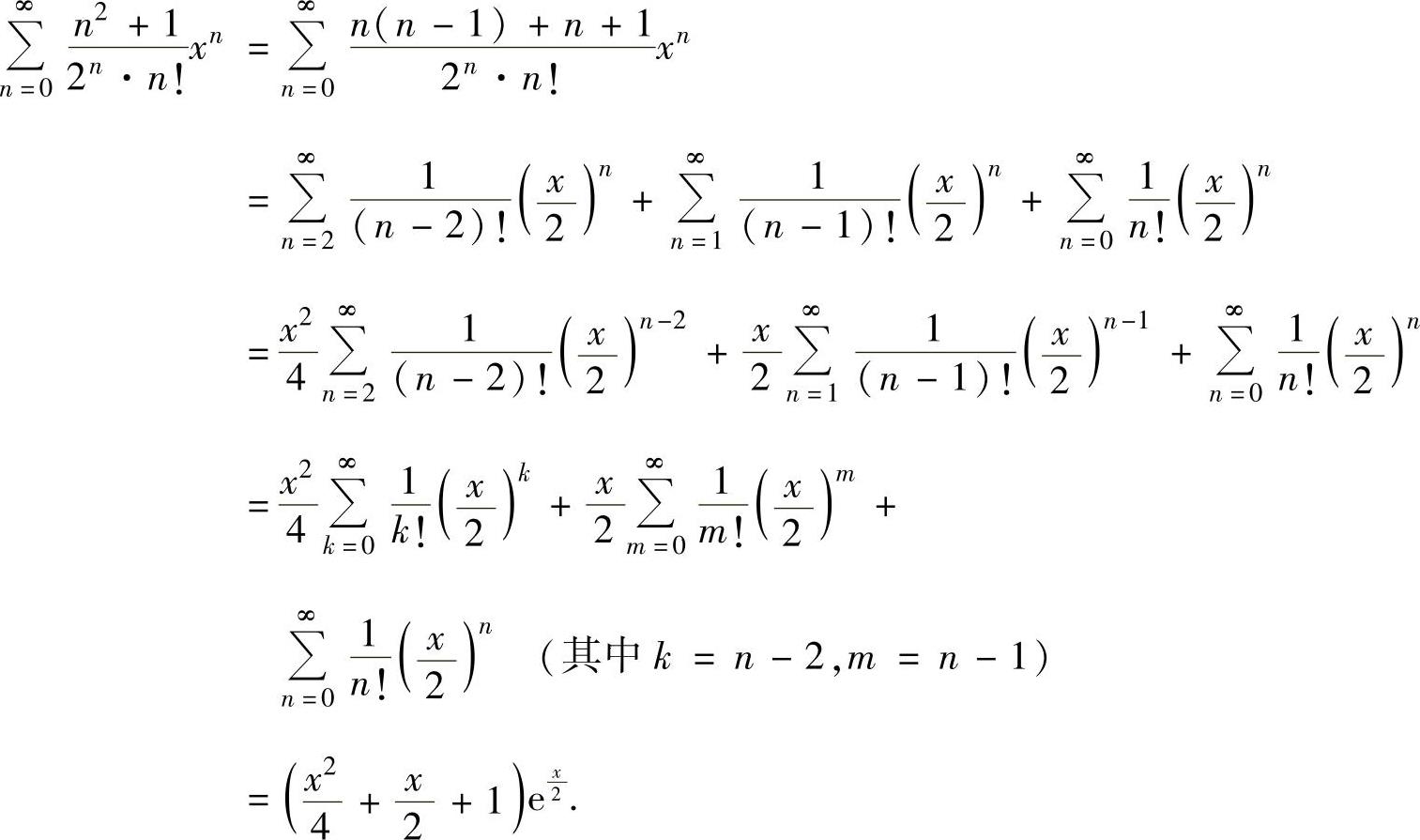
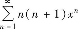
例4.14.3 求幂级数
的和函数s(x).
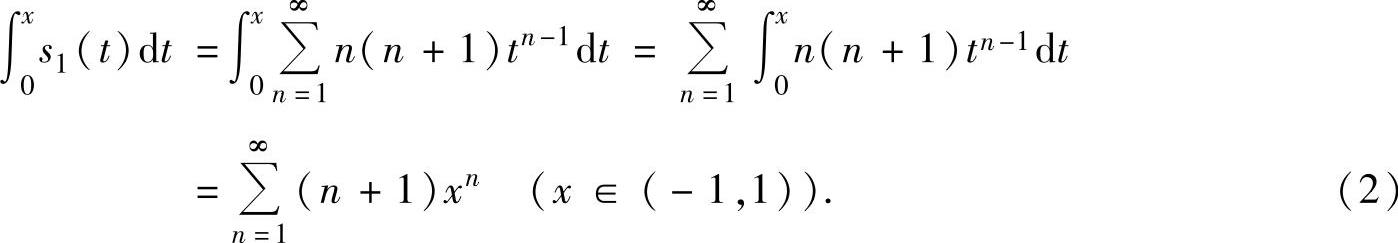
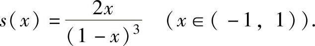
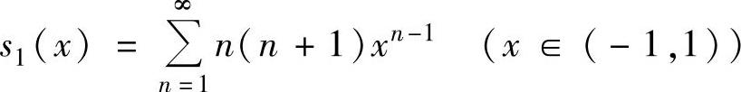
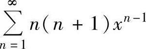
精解 记
的和函数为s1(x),则s(x)=xs1(x).(1)
由
知
的收敛半径为R=1,收敛区间为(-1,1),(https://www.daowen.com)
并且x=-1,1都不是收敛点,所以收敛域为(-1,1),即
,
于是

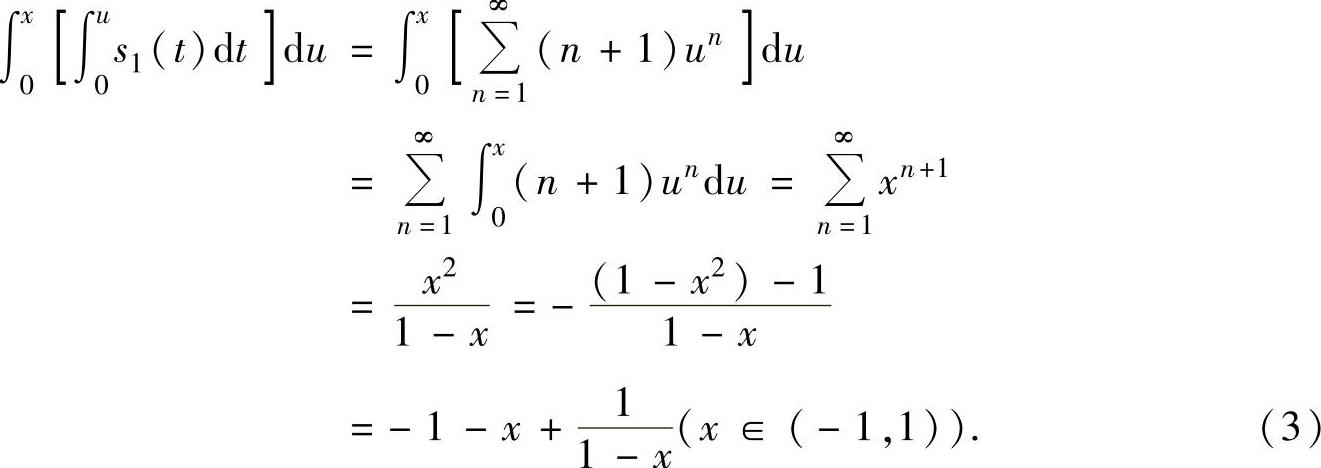
式(2)的两边在(-1,1)内积分得

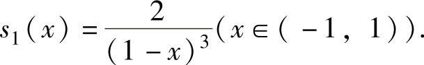
式(3)两边对x求二阶导数得
代入式(1)得
注 由以上三个例题可知,当幂级数
的系数如
等是关于n的有
理分式时,通常用逐项求导求和函数;当幂级数
的系数如n(n+1)等是关于n的整式
时,通常用逐项积分求和函数.
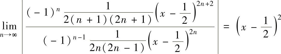
例4.14.4 求幂级数
的收敛域与和函数s(x).
精解 显然,
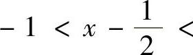
,它的成立范围为
1,即
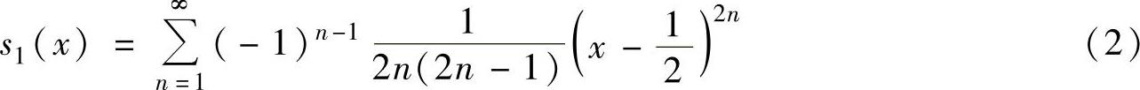
下面计算

的收敛域与和函数s1(x).
由于式(1)是缺项幂级数,所以利用正项级数比较判别法计算它的收敛域:
由
知,在
,即
时,

成立,因此,题中所给幂级数的收敛域为
在
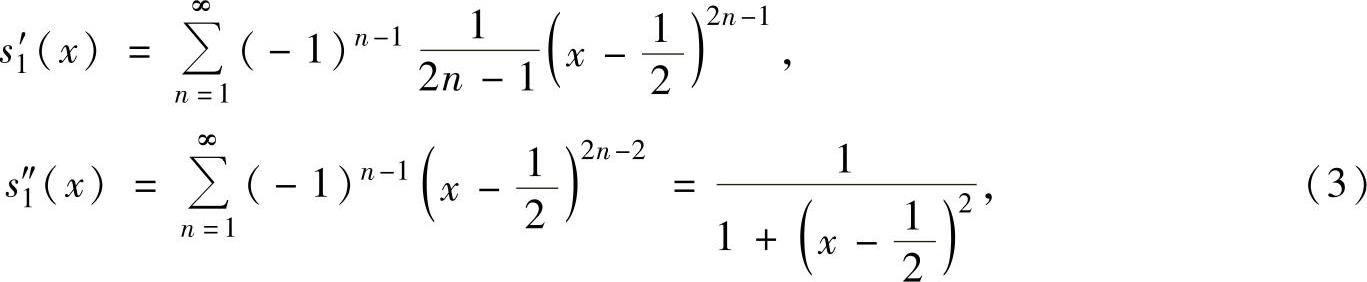
内,式(2)两边对x分别求两次导数得

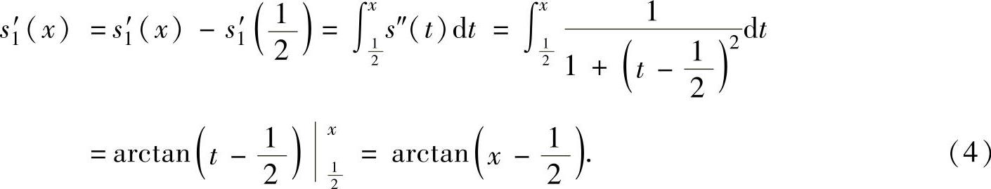
对于任意
,式(3)积分得

对于任意
,式(4)积分得

综上所述,对
有
