奇、偶函数和周期函数的定积分性质及一个重要公式
2026年01月14日
五
、奇
、偶函数和周期函数的定积分性质及一个重要公式
【主要内容】
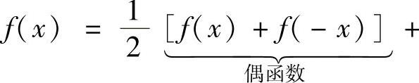
1.奇、偶函数的定积分性质设f(x)在对称区间[-a,a](a>0)上连续.如果它是奇函数(偶函数),则

注 (ⅰ)当f(x)是非奇非偶的连续函数时,由于
所以有

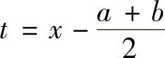
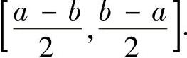
(ⅱ)当[a,b]不是对称区间时,可令
a+b(注意2是[a,b]的中点),将[a,b]
转换成对称区间
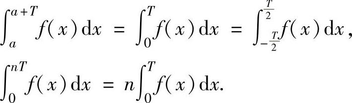
2.周期函数的定积分性质
设函数f(x)在(-∞,+∞)上连续,且是周期为T(T>0)的周期函数,则对任意实数a和正整数n有

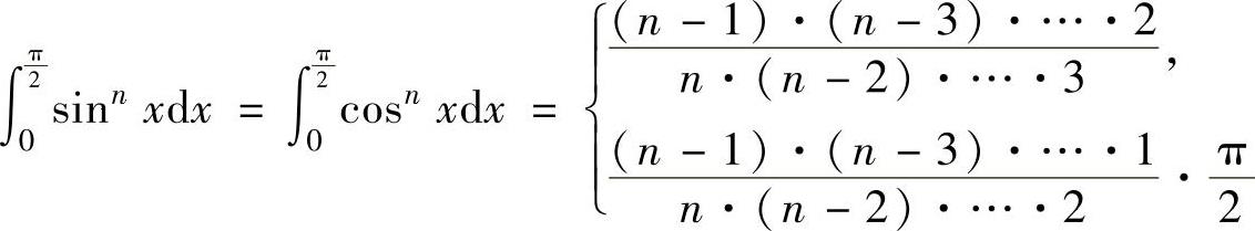
3.重要公式
对n=2,3,…有
n是大于1的奇数,,n是偶数.
【典型例题】
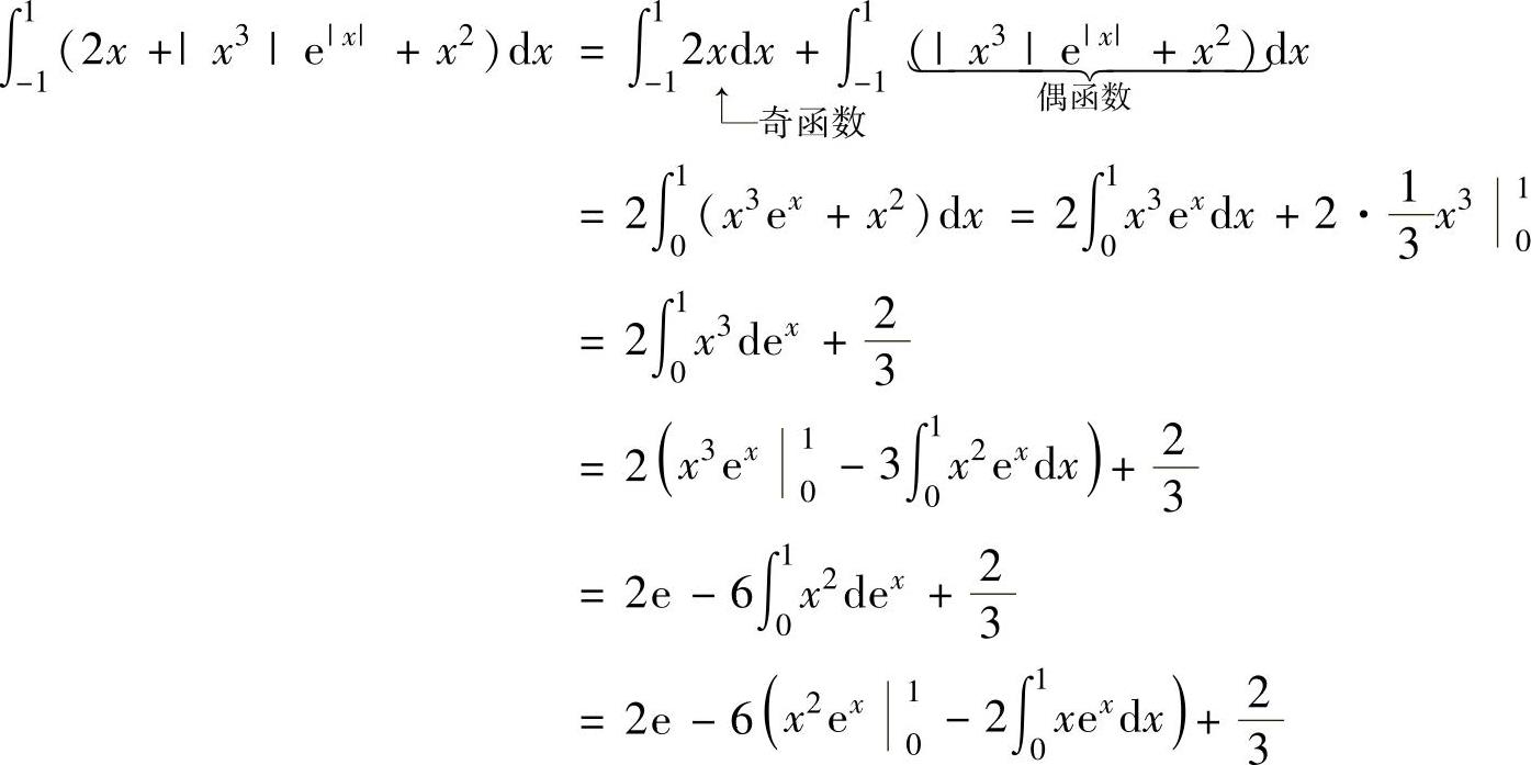
例2.5.1 求定积分
精解 由于积分区间是对称区间,所以利用奇、偶函数的定积分性质计算.


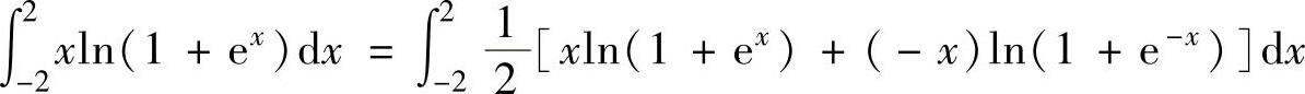
例2.5.2 求定积分
精解 由于积分区间为对称区间,所以利用奇、偶函数的定积分性质计算本题.

其中,
(奇函数在对称区间上的定积分为零),
(偶函数在对称区间上的定积分)
将它们代入式(1)得(https://www.daowen.com)

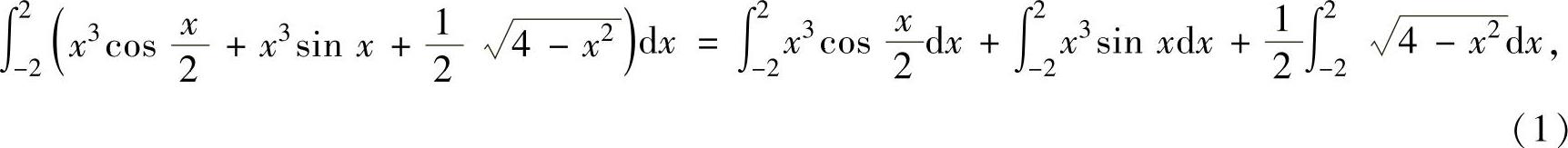
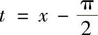
例2.5.3 求定积分
精解 积分区间[0,π]不是对称区间,故令
,则


例2.5.4 求定积分
精解 被积函数虽然是非奇非偶函数,但可以表示成

所以

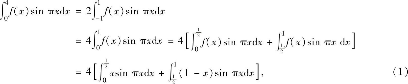
例2.5.5 设f(x)是以2为周期的周期函数,且在[-1,1]上

精解 由于f(x)是以2为周期的周期函数,且在[-1,1]上是奇函数,所以f(x)sinπx是以2为周期的周期函数,且它在[-1,1]上是偶函数,因此利用周期函数的定积分性质和偶函数的定积分性质有

其中,
,
将它们代入式(1)得

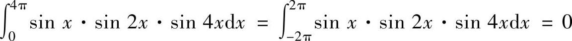
例2.5.6 求定积分
精解
其中,
(由于sin10x·cos8x是以π为周期的周期函
数)

(由于sin8u是以π为周期的周期函数)


(由于sinx·sin2x·sin4x是以2π为周期的奇函数)将它们代入式(1)得
