二重积分大小的比较与估计
【主要内容】
1.二重积分的比较
(1)相同积分区域情形
设f(x,y),g(x,y)都是连续函数.如果f(x,y)≤g(x,y)((x,y)∈D),则
σ,
如果f(x,y)≤g(x,y)((x,y)∈D),但至少存在一点(x0,y0)∈D,使得
f(x0,y0)<g(x0,y0),则
(2)不同积分区域情形
设f(x,y),g(x,y)都是连续函数,如果存在常数k,使得

则
设f(x,y),g(x,y)都是连续函数,如果存在常数k,使得
(或<k),
(或≥k),
则
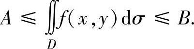
2.二重积分值的估计
当二重积分
(其中,f(x,y)是连续函数)不易计算时,往往需对它的值进行
估计,其方法有以下两种:
(1)如果f(x,y)在D上的最小值为m,最大值为M,则
(σ是D的面积).
当f(x,y)在D上的最值不易计算时,可对f(x,y)作适当缩小或放大,得到
g(x,y)≤f(x,y)≤h(x,y)((x,y)∈D),
并且
,
比较容易计算,记它们的值分别为A,B,则

(2)将
转化成定积分,然后估计这个定积分,得到二重积分的估计值.
【典型例题】
例3.10.1 (单项选择题)如图3.10.1所示,正方形{(x,y)|x|≤1,|y|≤1}被其对角线划分为四个区域Dk(k=1,2,3,4),
,则maxIk=().
1≤k≤4
A.I1 B.I2 C.I3 D.I4
精解 利用积分区域的对称性,确定I1,I2,I3,I4与数零之间的关系,从而得到正确选项.
由于在D1上ycosx≥0(且仅在点(0,0)处取等号),所以

D2和D4都关于x轴对称,且在对称点处ycosx的值互为相反数,所以
I2=I4=0.

图 3.10.1
由于在D3上ycosx≤0(且仅在点(0,0)处取等号),所以

因此本题选A.
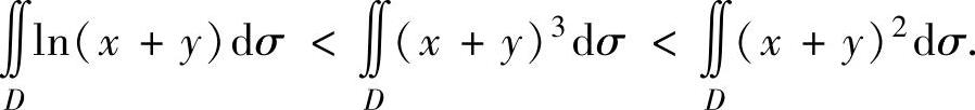
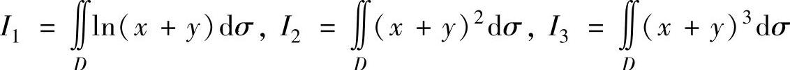
例3.10.2 (单项选择题)设平面区域D由直线x=0,y=0,
,x+y=1围
成,
,
则I1,I2,I3的大小顺序是().(https://www.daowen.com)
A.I1<I2<I3B.I1<I3<I2C.I3<I1<I2D.I3<I2<I1
精解 由于I1,I2,I3的积分区域同为D,所以只要比较被积函数的大小即可.在D上,
,所以有
ln(x+y)≤0≤(x+y)3≤(x+y)2,(1)并且ln(x+y),(x+y)2,(x+y)3都是D上的连续函数,且在D上至少存在一点使式(1)中的等号都不成立.所以有

因此本题选B.
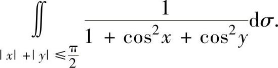
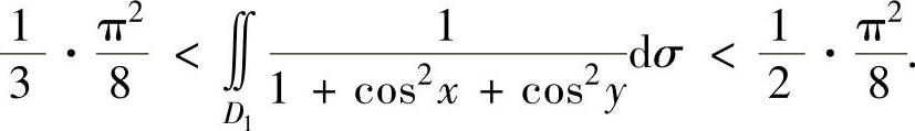
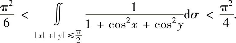
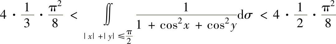
例3.10.3 估计二重积分
精解 由于
既关于x轴对称,又关于y轴对称,且被
积函数
在对称点处的值彼此相等,所以

其中,
是D在第一象限的部分.
下面计算f(x,y)在D1上的最小值m与最大值M.
由
,
知f(x,y)在D1的内部无极值
点.
D1有边界C1:
,
,
在C1上
;
在C2上
的最小值为
,最大值为
;
同理,在
的最小值为
,最大值为
因此
,
,于是由D1的面积为
得

将它代入式(1)得
,
即
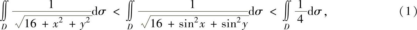
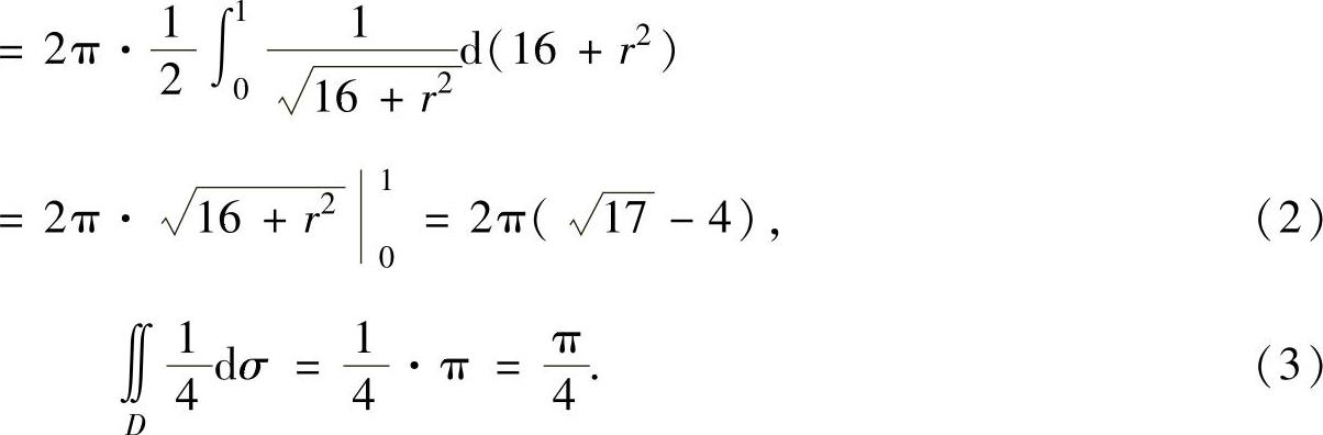
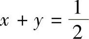
例3.10.4 估计二重积分
的取值范围,其中,D={(x,y)|x2+y2≤1}.
精解 被积函数
在D上的最值不易计算,因此考虑对它作适当缩小
或放大,显然
(其中,(x,y)∈D,并且仅在点(0,0)处取等号),
于是有

其中

将式(2)和式(3)代入式(1)得

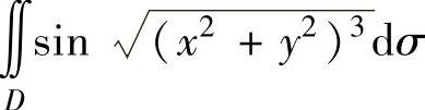
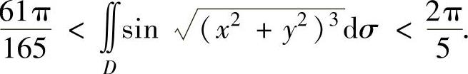
例3.10.5 估计二重积分
,其中,D={(x,y)|x2+y2≤1}.
精解 用极坐标容易将题中所给的二重积分转化成定积分,然后通过估计定积分得到二重积分的估计值.

由于当u≥0时,
(等号仅在u=0处成立),所以有
(等号仅在r=0处成立).
因此有
,
即
将式(2)代入式(1)得
