闭区间上连续函数的性质
【主要内容】
1.最值定理
设函数在[a,b]上连续,则f(x)在[a,b]上必有最大值M与最小值m,即存在ξ1,ξ2∈[a,b],使得f(ξ1)=M,f(ξ2)=m.
2.介值定理
设函数f(x)在[a,b]上连续,则对介于f(x1),f(x2)(x1,x2∈[a,b])的任意实数c,存在介于x1与x2的ξ,使得f(ξ)=c.
特别地,当f(x)在[a,b]上连续,其最大值与最小值分别为M与m时,对任意c∈[m,M],存在ξ∈[a,b],使得f(ξ)=c.
3.零点定理
设函数f(x)在[a,b]上连续,且f(a)·f(b)<0,则存在ξ∈(a,b),使得f(ξ)=0.
零点定理有多种推广形式,例如,
(1)设函数f(x)在[a,b]上连续,且f(a)·f(b)≤0,则存在ξ∈[a,b],使得f(ξ)=0.
(2)设函数f(x)在[a,+∞)上连续,且f(a)·
,则存在ξ∈(a,+∞),
使得f(ξ)=0.
【典型例题】
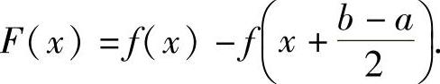
例1.6.1 设函数f(x)在[a,b]上连续,f(a)=f(b).证明:存在ξ∈[a,b],使得
(https://www.daowen.com)
精解 由于本题不是证明存在ξ,使得f(ξ)=0,而是证明
,所以需
要作辅助函数.它可按以下方法得到.
将欲证等式中的ξ改为x得
,即
于是作辅助函数
具体证明如下:
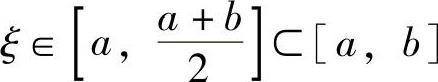
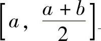
记
,则F(x)在
上连续,且
,
所以,由连续函数零点定理(推广形式)知,存在
,使得F(ξ)=0,即
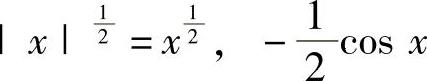
例1.6.2 证明:方程
有且仅有两个实根.
精解 显然x=0不是方程的根.记
,则它是连续的偶函数,于是只要证明方程F(x)=0
在(0,+∞)上有且仅有一个实根即可,故可考虑应用连续函数的零点定理(推广形式).
容易看到,由于
,所以由连续函数零点定理(推广形式)知方程
F(x)=0在(0,+∞)上有实根.下面证明实根是唯一的.
首先,在(0,1)内
,
都是单调增加函数,所以F(x)
是单调增加函数,从而方程F(x)=0在(0,1)内的实根是唯一的.其次,当x≥1时,F(x)>0,即方程F(x)=0在[1,+∞)上无实根.由此得证方程F(x)=0在[0,+∞)上有唯一实根.
从而方程
有且只有两个实根.