积分中值定理及其应用
【主要内容】
1.积分中值定理
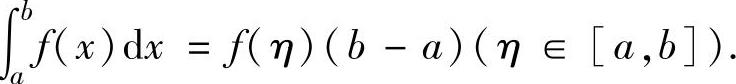
设函数f(x)在[a,b]上连续,则存在ξ∈[a,b],使得

注 (ⅰ)当上述的f(x)是单调函数时,中值ξ∈(a,b).
(ⅱ)积分中值定理具有以下的推广形式:
设函数f(x)在[a,b]上连续,函数g(x)在[a,b]上可积且不变号,则存在ξ∈[a,b],使得

2.积分中值定理的应用
积分中值定理主要用于把抽象函数f(x)的定积分
转换成f(x)在[a,b]上某点
η处的值与(b-a)之积,即
这样可以减少积分运算,
使问题的计算或证明变得简单些.
【典型例题】
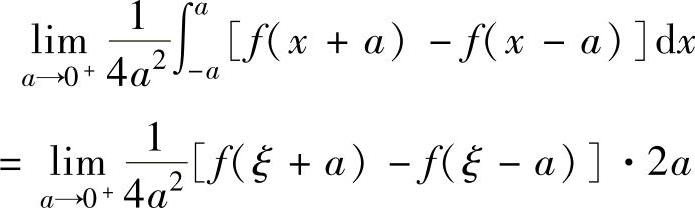
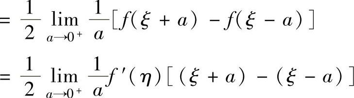
例2.8.1 设函数f(x)在(-∞,+∞)上有连续导数,求极限

精解 先应用积分中值定理去掉积分运算.
(对f(x+a)-f(x-a)在[-a,a]上应用积分中值定理,其中ξ∈[-a,a])
(对f(x)在[ξ-a,ξ+a]上应用拉格朗日中值定理,其中η∈(ξ-a,ξ+a))
,ξ→0,从而η→0).
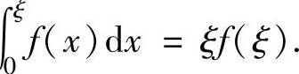
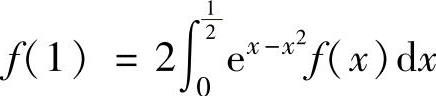
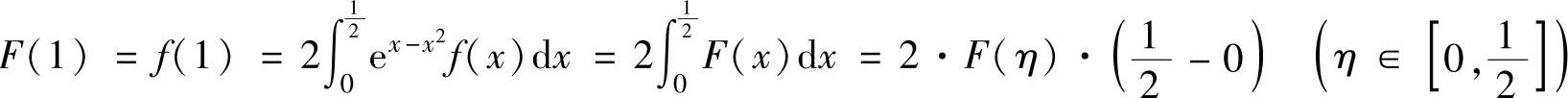
例2.8.2 设函数f(x)在[0,1]上可导,且满足
,证明:存在ξ∈
(0,1),使得f′(ξ)=(2ξ-1)f(ξ).(https://www.daowen.com)
精解 本题需作辅助函数,为此将欲证等式中的ξ改为x得
f′(x)=(2x-1)f(x), 即 ex-x2f′(x)+ex-x2(1-2x)f(x)=0.由此得到[ex-x2f(x)]′=0.故作辅助函数
F(x)=ex-x2f(x),
则F(x)在[0,1]上可导,且由题设及积分中值定理有
,
即F(1)=F(η).所以,对F(x)在[η,1]上应用罗尔定理知,存在ξ∈(η,1)⊂(0,1),使得
F′(ξ)=0, 即 f′(ξ)=(2ξ-1)f(ξ).
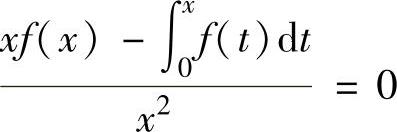
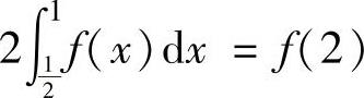
例2.8.3 设函数f(x)在[0,2]上连续,在(0,2)内二阶可导且
,
.证明:存在ξ∈(0,2),使得f″(ξ)=0.
精解 由于f(x)在[0,2]上连续,在(0,2)内二阶可导,所以只要在[0,2]上找到不同的两点,使得在这两点处f′(x)的值相等即可,具体证明如下.由题设知
,即
另由题设
及积分中值定理知,存在
,使得f(η)=f(2).
于是,对f(x)在[η,2]上应用罗尔定理知,存在
,使得f′(ξ1)=0.
由此可知,f′(x)在
上满足罗尔定理条件,从而存在
,使得f″(ξ)=0.
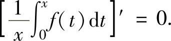
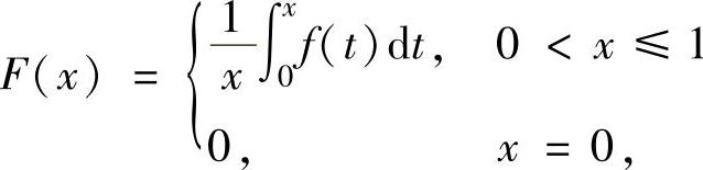
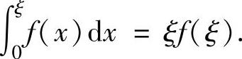
例2.8.4 设函数f(x)在[0,1]上连续,且
证明:存在ξ∈
(0,1),使得∫
精解 本题需作辅助函数,为此将欲证等式中的ξ改为x得

当x∈(0,1)时,上式可改写成
,即
因此作辅助函数
,则F(x)在[0,1]上连续,在(0,1)内可
导,且F(0)=F(1)=0,即F(x)在[0,1]上满足罗尔定理条件,所以存在ξ∈(0,1),使得F′(ξ)=0,即