定积分大小的比较与估计方法
【主要内容】
1.两个定积分大小的比较方法
设函数f(x)与g(x)在[a,b]上连续.
如果f(x)≤g(x)(x∈[a,b]),则
;
如果f(x)≤g(x)(x∈[a,b]),但至少在[a,b]的某一点处不取等号,则∫

2.定积分值的估计方法当
不易计算时,则对它进行估计,通常有以下两种方法:
(1)设函数f(x)在[a,b]上连续,且不恒为常数,则
,
其中,m,M分别为f(x)在[a,b]上的最小值与最大值.
(2)设函数f(x),g(x),h(x)都在[a,b]上连续,且满足g(x)≤f(x)≤h(x) (在[a,b]上存在点x1,x2,使得g(x1)<f(x1),f(x2)<h(x2)),此外
比较容易计算,它们的值分别为A,B,则有

【典型例题】
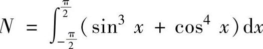
例2.7.1 设
,N
,
,比较这三个定积分的大小.
精解 由于所给的三个定积分都是对称区间
上的积分,所以可以利用奇、偶函
数的定积分性质进行化简和比较.由于
(由于被积函数是奇函数),

(由于sin3x是奇函数,cos4x是偶函数)

(由于x2sin3x是奇函数,cos7x是偶函数)<0,
所以M,N,P有以下的大小关系为:
P<M<N.
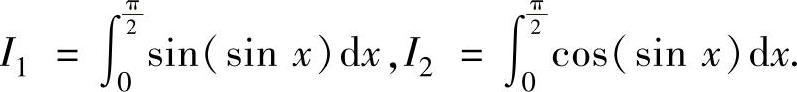
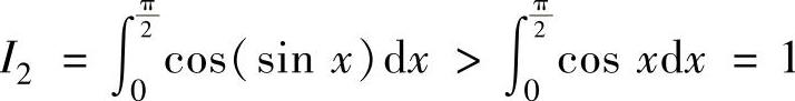
例2.7.2 比较下列两个定积分的大小:
精解 当
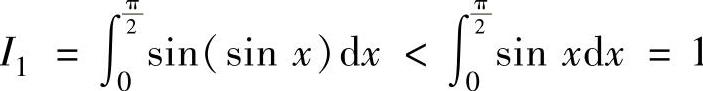
时,sinx<x且sinx单调增加,cosx单调减少,所以有sin(sinx)<sinx,cos(sinx)>cosx,
所以,
,
,
由此可知I1<I2.
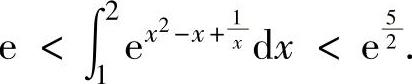
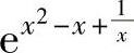
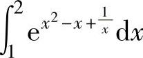
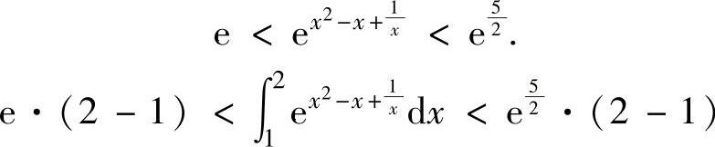
例2.7.3 估计定积分
的值.
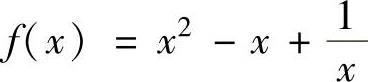
精解 算出被积函数
在[1,2]上的最小值与最大值,即可得到所给定积分的估计
值.
记
,则f(x)在[1,2]上可导且
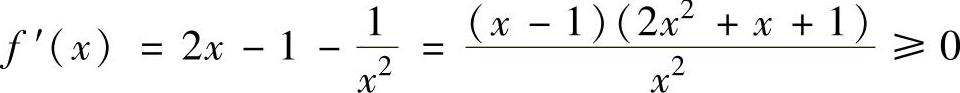
(仅在点x=1处取等号),(https://www.daowen.com)
所以f(x)在[1,2]上的最小值为f(1)=1,最大值为
由于eu是关于u的单调增加
函数,所以有
从而
,
即
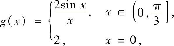
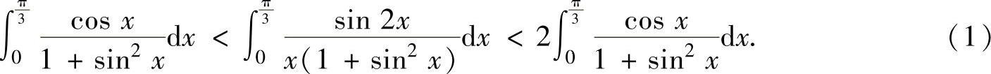
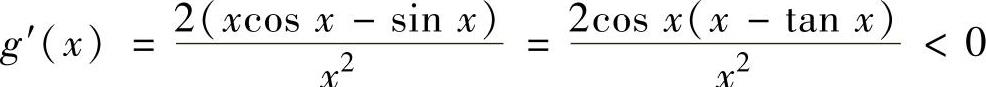
例2.7.4 证明:
精解 对被积函数
作适当的缩小和放大,然后对所给
的定积分进行估计.为此记

则g(x)在
上连续,在
内可导且
,
所以g(x)在
上的最小值为
,最大值为g(0)=2,即
(,仅在有限个点处取等号).
从而
(,仅在有限个点处取等号).
由此得到
由于∫
,所以将它代入
式(1)得

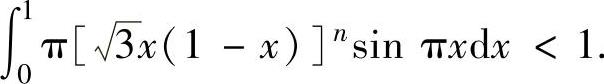
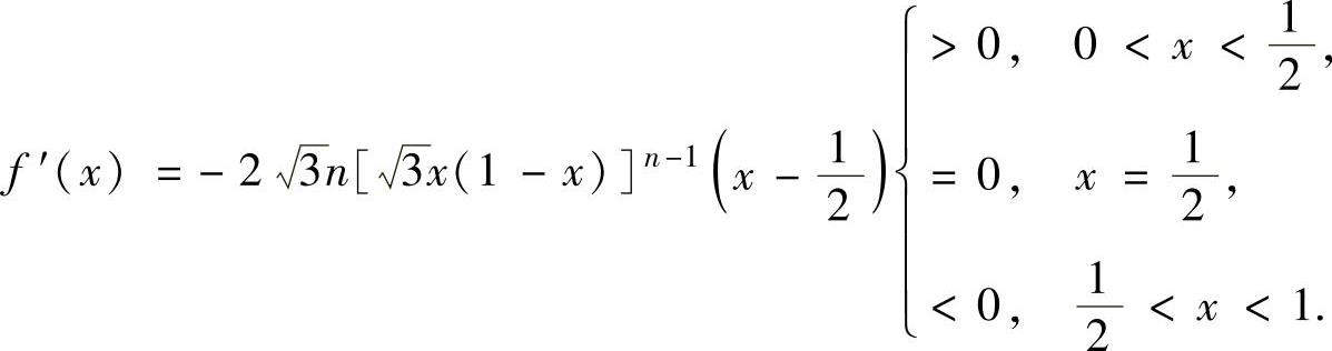
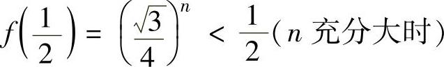
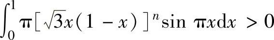
例2.7.5 已知n为正整数,证明:当n充分大时,

精解 显然,对n=1,2,…,
成立.下面证明n充分大时有

记f(x)=[3x(1-x)]n,则f(x)在[0,1]上连续,在(0,1)内可导且

所以,在[0,1]上,f(x)的最大值为
.从而

由此证得,当n充分大时有
