随机变量的数学期望
【主要内容】
1.随机变量数学期望的定义
(1)离散型情形设X是离散型随机变量,它的分布律为P(X=xi)=pi(i=1,2,…).如果
收敛,则称
为X的数学期望.
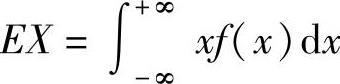
(2)连续型情形设X是连续型随机变量,它的概率密度为f(x)(-∞<x<+∞).如果
收敛,则称
为X的数学期望.
2.随机变量函数的数学期望
(1)离散型情形
设X是离散型随机变量,它的分布律为P(X=xi)=pi(i=1,2,…),又设g(x)是连
续函数,则X的函数g(X)的数学期望
设(X,Y)是二维离散型随机变量,它的分布律为P(X=xi,Y=yi)=pij(i=1,2,…;j=1,2,…),又设h(x,y)是连续函数,则X,Y的函数h(X,Y)的数学期望
(2)连续型情形
设X是连续型随机变量,它的概率密度为f(x)(-∞<x<+∞),又设g(x)是连续函数,则X的函数g(X)的数学期望
设(X,Y)是二维连续型随机变量,它的概率密度为f(x,y)(-∞<x<+∞,-∞<y<+∞),又设h(x,y)是连续函数,则X,Y的函数h(X,Y)的数学期望
3.数学期望的性质
设X,Y是随机变量,c,c1,c2是常数,则
(1)Ec=c;
(2)E(c1X+c2Y)=c1EX+c2EY;
(3)当X与Y相互独立时,E(XY)=EX·EY.
4.常用随机变量的数学期望
设X服从0-1分布,则EX=p;
设X~B(n,p),则EX=np;
设X~π(λ),则EX=λ;
设X~U(a,b),则
;(https://www.daowen.com)
设X~E(λ),则
;
设X~N(μ,σ2),则EX=μ.
【典型例题】
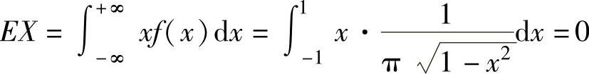
例7.16.1 将3只球随机地放入编号为1,2,3,4的四个盒中,以X表示有球盒的最大号码,求EX.
精解 先计算X的分布律.
X全部可能取的值为1,2,3,4,对应的概率为
P(X=1)=P{3只球全部放入1号盒
,
P(X=2)=P{3只球中至少有1只放入2号盒,而其余的全放入1号盒}
,
P(X=3)=P{3只球中至少有1只放入3号盒,而其余的全放入1号盒或2号盒}
,

所以由数学期望的定义得

例7.16.2 某车站每天8:00~9:00,9:00~10:00都恰有一辆客车到站,但到站时刻是随机的,且两个时间区间里到站时刻相互独立,具体规律如下:

今有一乘客于8:20到车站,求他候车时间X(单位:min)的数学期望.
精解 先写出X的分布律:
X可能取的值为10,30,50,70,90,为了计算对应的概率,记
A1={第一班车8:10到站}, A2={第一班车8:30到站},
A3={第一班车8:50到站}, B1={第二班车9:10到站},
B2={第二班车9:30到站}, B3={第二班车9:50到站},则
,
,
,
,
于是,
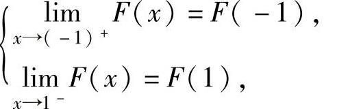
例7.16.3 设连续型随机变量的分布函数为

求EX.
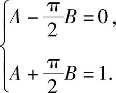
精解 先确定常数A,B.
由于F(x)是连续型随机变量的分布函数,所以它是连续函数,特别在点x=-1,1处连续,于是有
即
解此方程组得
,
因此

由此得到X的概率密度

于是,
(对称区间上奇函数的积分为零).
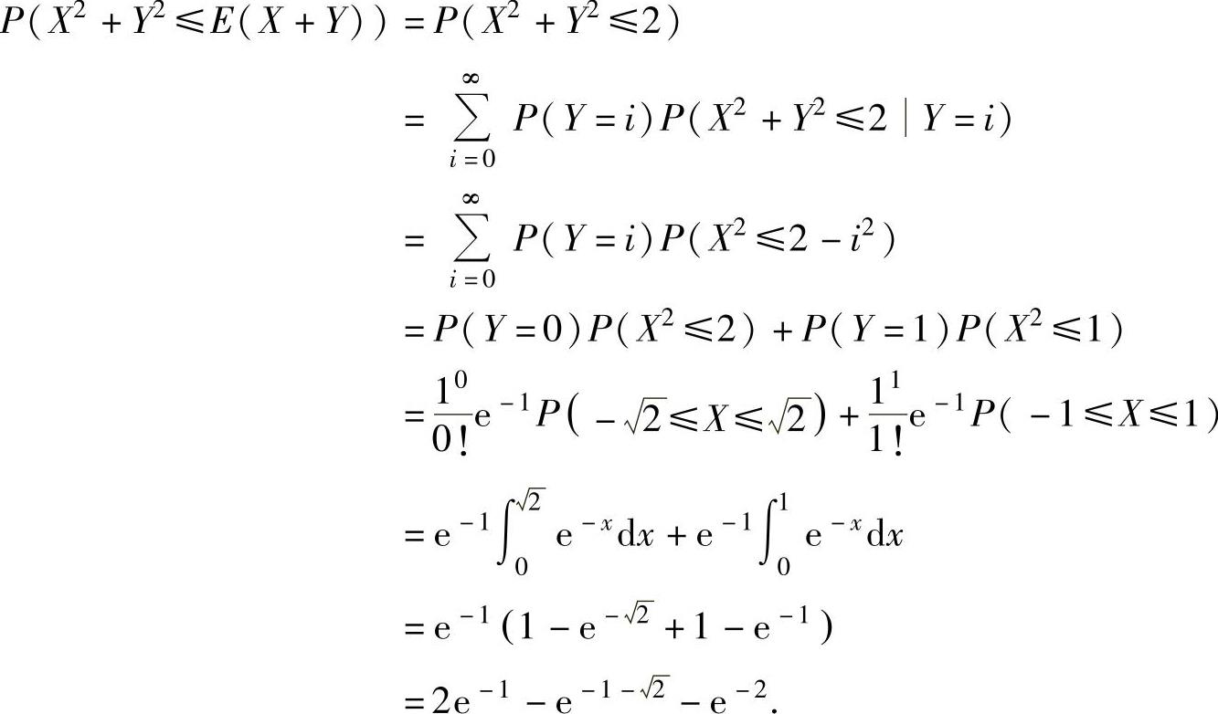
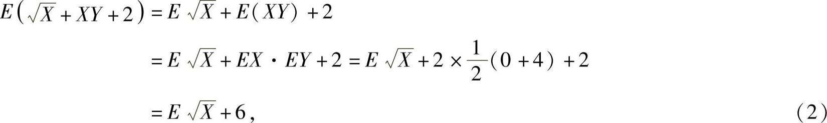
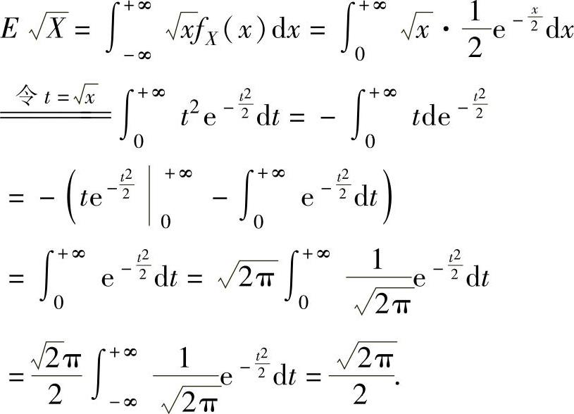
例7.16.4 设随机变量X与Y分别服从参数均为1的指数分布与泊松分布,求概率P(X2+Y2≤E(X+Y)).
精解 由于
,所以

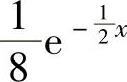
例7.16.5 设随机变量X与Y相互独立,且
,求
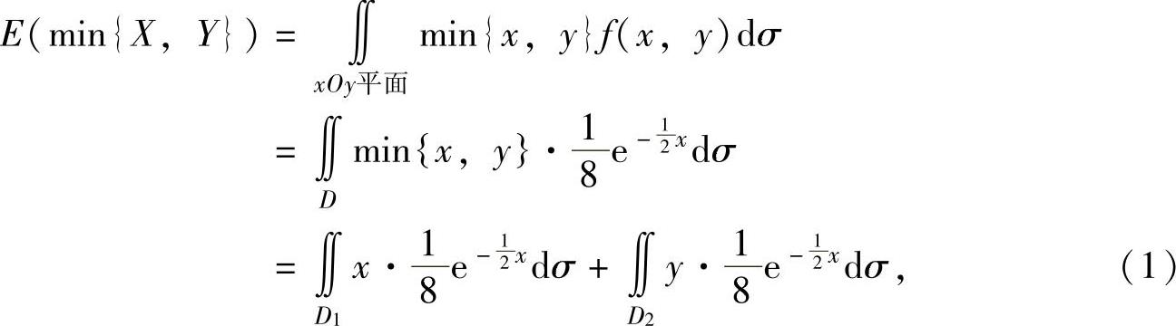
E(min{X,Y})和E(X+XY+2).
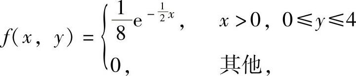
精解 由题设知X与Y的概率密度分别为

所以,由X与Y相互独立知二维随机变量(X,Y)的概率密度为
,
即它在D={(x,y)x>0,0≤y≤4}(如图7.16.5阴影部分所示)上取值为
,在xOy
平面的其他部分取值为零.

图 7.16.5

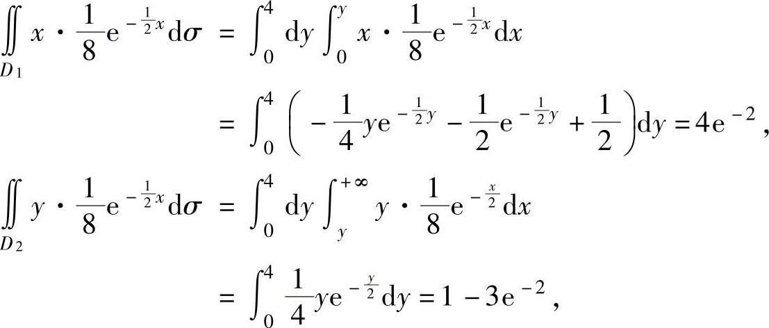
其中,D1与D2是D被直线y=x划分成的两部分,如图7.16.5所示,并且

将它们代入式(1)得
E(min{X,Y})=4e-2+(1-3e-2)=1+e-2.下面计算


其中,
将它代入式(2)得
