积分上限函数的求导方法
【主要内容】
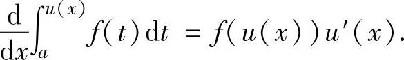
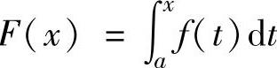
设f(x)是连续函数,则积分上限函数
可导且F′(x)=f(x), 即
由此可知,
是f(x)的一个原函数,即
注 (ⅰ)设f(u)是连续函数,u(x)是可导函数,且f(u)与u=u(x)可复合成复合函数f(u(x)),则

(ⅱ)计算函数
(注意:被积函数f(t,x)中除积分变量t外还含有与积分上限相同的x)的导数时,应先将x从被积函数f(t,x)中移走(即移到积分号之外,或移到积分限中去),然后再计算导数.
【典型例题】
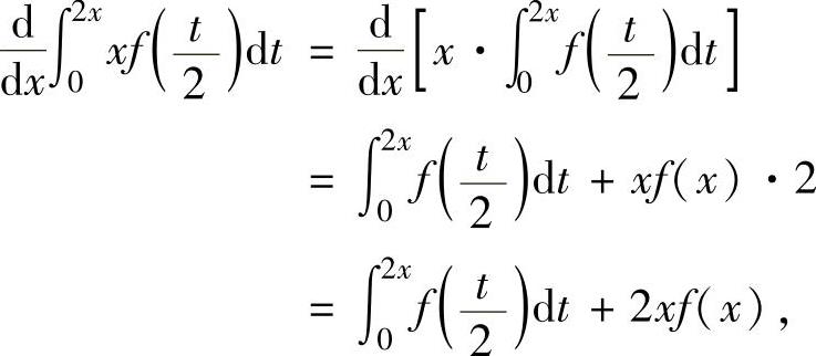
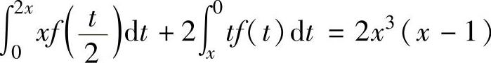
例2.6.1 已知f(x)是连续函数,且满足
,求f(x)的表达式.
精解 所给等式两边对x求导得

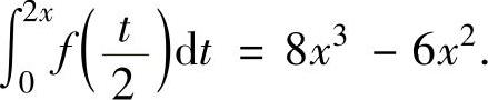
其中,计算
时应将先将x移到积分号之外,即

此外,
将它们代入式(1)得
,
化简后得
上式两边对x求导得f(x)·2=24x2-12x, 即 f(x)=12x2-6x.
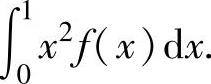
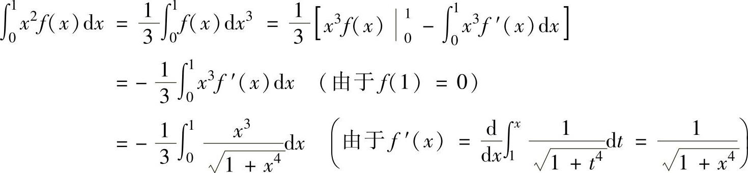
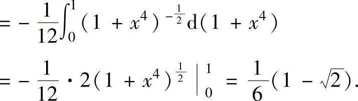
例2.6.2 设函数
,求定积分
精解 用分部积分法计算所给的定积分.


例2.6.3 (单项选择题)把x→0+时的无穷小
,β
,
排列起来,使排在后面的是前面的一个高阶无穷小,则正确的排列次序为().
A.α,β,γ B.α,γ,β
C.β,α,γ D.β,γ,α
精解 只要算出当x→0+时,α,β,γ关于x的阶数即可.
由于
,
,
,
所以,当x→0+时,α,β,γ分别是x的1阶、3阶与2阶无穷小,所以正确排列为α,γ,β.因此本题选B.(https://www.daowen.com)
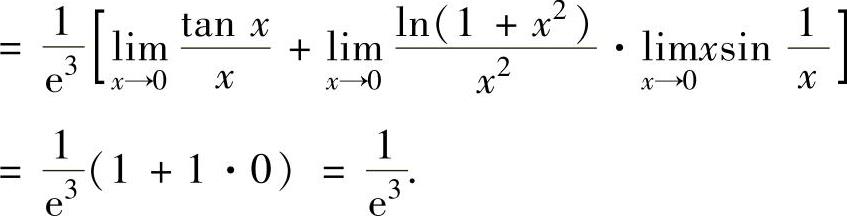
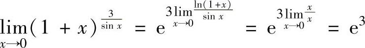
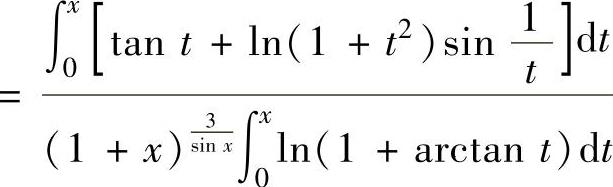
例2.6.4 设函数f(x)
,求极限xl→im0f(x).
精解 先算出
,然后用洛必达法则计算.由于
,所以

(由于x→0时,ln(1+arctanx)~arctanx~x)

注 在计算
型未定式极限时,如果经化简后分子或分母中有积分上限函数,则应使用洛必达法则去掉积分运算,然后再计算极限,本题就是这样处理的.
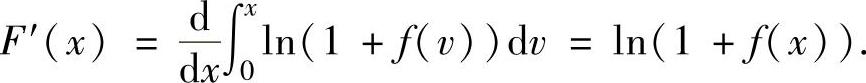
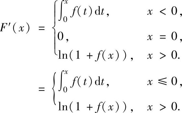
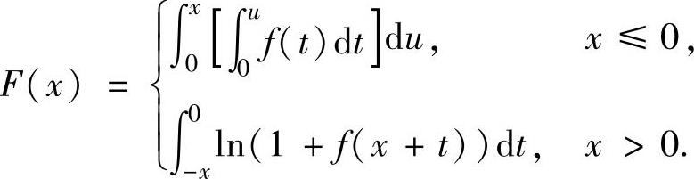
例2.6.5 设函数f(x)连续,且f(0)=0,f′(0)=0.记
求F′(x)和F″(0).
精解 先由积分上限函数求导方法算出x<0和x>0时的F′(x),然后由导数定义计算F′(0)及F″(0).
当x<0时,
当x>0时,由
得
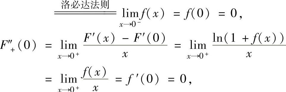
此外,由
,

知F′(0)=0.从而

利用上述的F′(x)表达式得


所以,F″(0)=0.
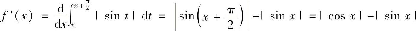
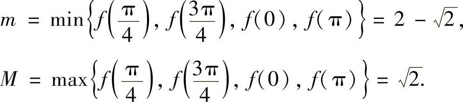
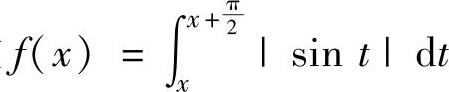
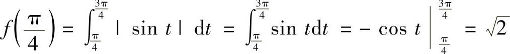
例2.6.6 设函数
,求它的值域.
精解 由于|sint|是以π为周期的周期函数,所以容易证明f(x)也是以π为周期的周期函数.于是只要算出连续函数f(x)在[0,π]上的最小值m和最大值M,即得f(x)的值域为[m,M].
对任意x∈(-∞,+∞)有
(利用|sinu|是以π为周期的周期函数)=f(x)
即f(x)是以π为周期的周期函数,由

知在(0,π)内的可能极值点(即驻点)为
,
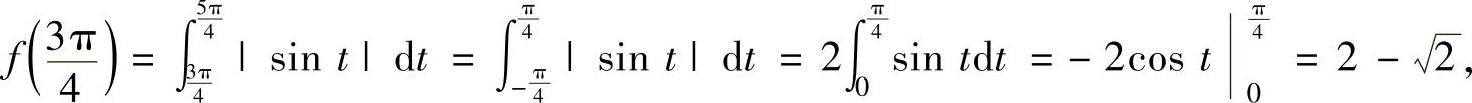
由于f(x)在[0,π]上连续,且
,
,
f(π)=f(0)=1.
所以,f(x)在[0,π]上,即在(-∞,+∞)上的最小值、最大值分别为

从而f(x)的值域为
