练习题八解答
一、单项选择题
(1)D (2)A (3)C (4)B (5)D (6)C
(7)A (8)C (9)C (10)C (11)C (12)C
(13)B
2.解答题
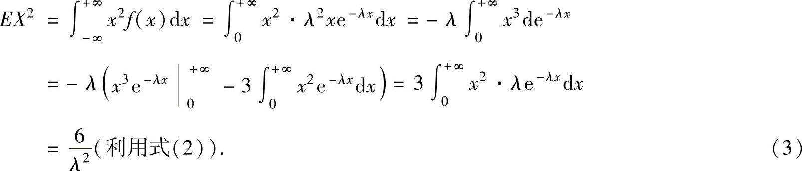
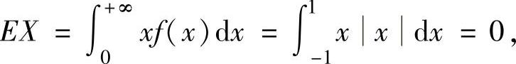
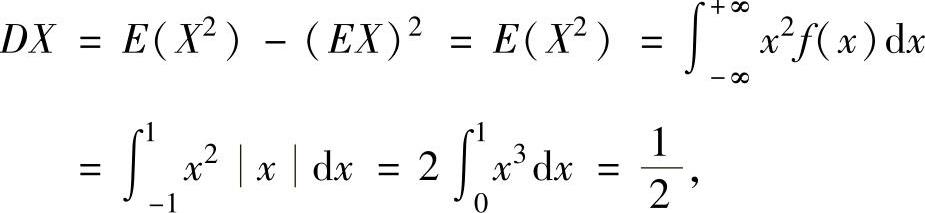
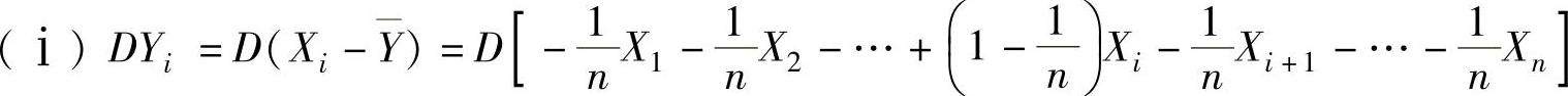
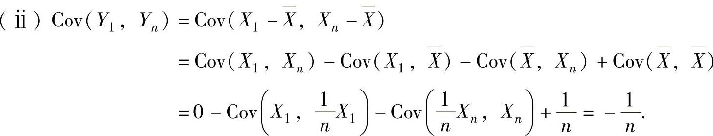
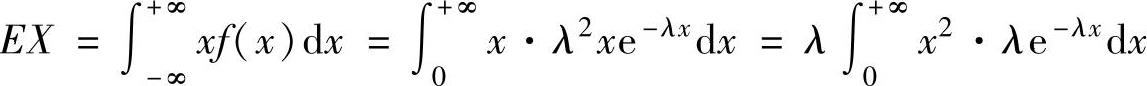
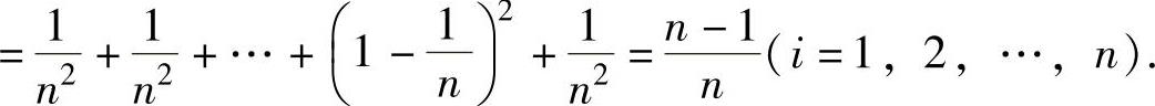
(1)ES2=DX=EX2-(EX)2,(1)
其中
=λET2(其中T~E(λ))
,(2)
将式(2)、式(3)代入式(1)得

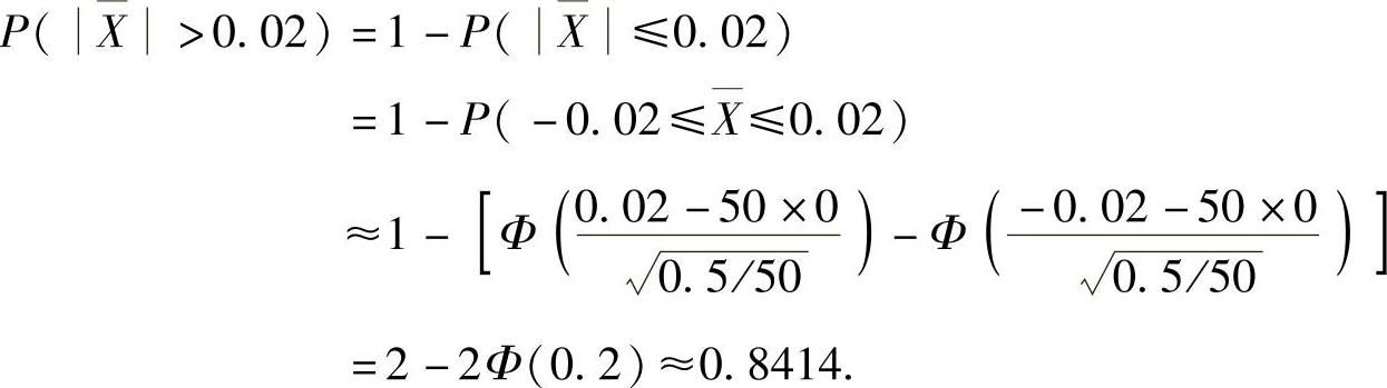
(2)由于

所以,由独立同分布中心极限定理得

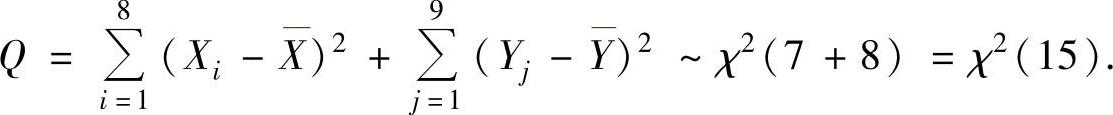
(3)
,其中由
知
,此外由
,
,且
与
相互独立知

并且3Y与Q相互独立.因此由t分布的定义知T~t(15).
(4)
,所以

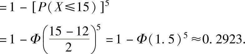
(ⅱ)P(max{X1,X2,…,X5}>15)=1-P(max{X1,X2,…,X5}≤15)
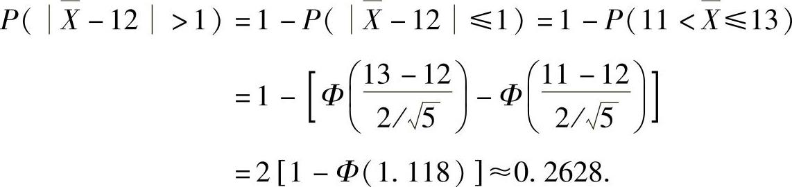
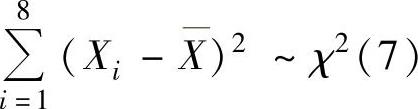
(5)(ⅰ)
,
,并且它们相互独立,所以Z=X-Y~N(0,1).
(ⅱ)
,

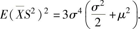
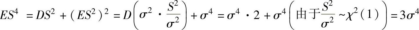
(6)由X与S2相互独立知X2与S4相互独立,所以
,(1)其中,
,(2)
,(3)
将式(2)、式(3)代入式(1)得
(7)
(https://www.daowen.com)

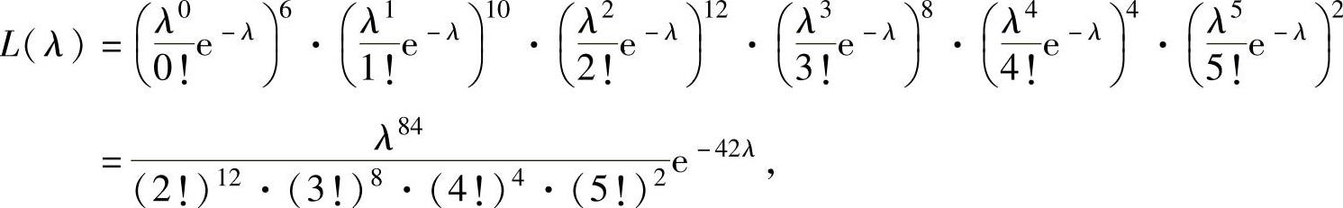
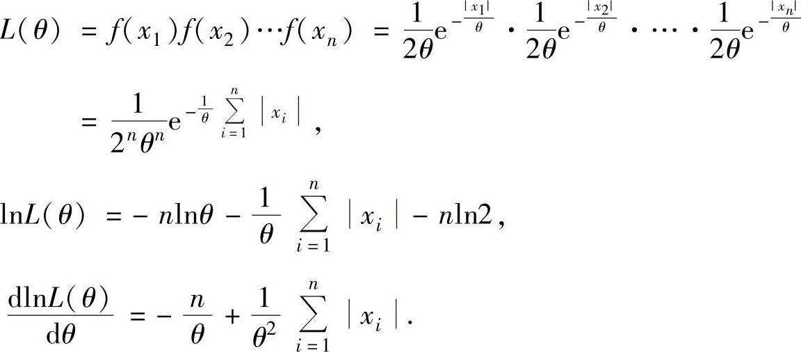
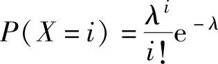
(8)X的分布律为
.于是似然函数为

即 lnL(λ)=K+84lnλ-42λ(其中K=-ln[(2!)12·(3!)8·(4!)4·(5!)2]).
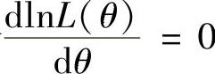
令
得λ的最大似然估计值λ^ =2.
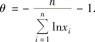
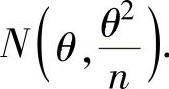
(9)
,记样本均值为X.
令
,即
,所以θ的矩估计量为
设样本观察值为x1,x2,…,xn,则似然函数为
L(θ)=(1+θ)x1θ·(1+θ)x2θ·…·(1+θ)xnθ
=(1+θ)n(x1x2…xn)θ,
lnL(θ)=nln(1+θ)+θln(x1x2…xn),
令
得
所以θ的最大似然估计量为
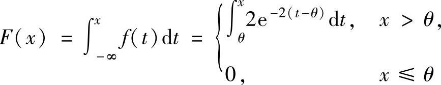
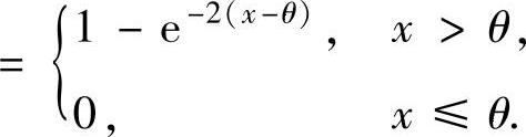
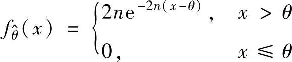
(10)(ⅰ)X的分布函数

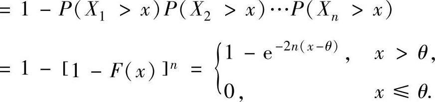
(ⅱ)θ^的分布函数

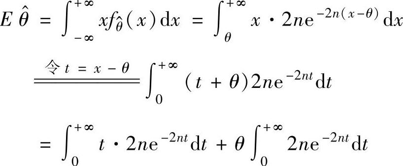
(ⅲ)由
的概率密度
,知

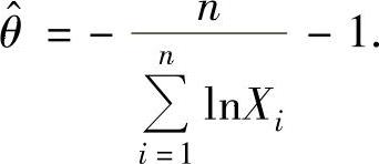
(11)(ⅰ)设样本观察值为x1,x2,…,xn,则似然函数

令
得
.从而θ的最大似然估计量为
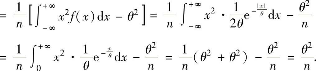
(ⅱ)
(ⅲ)

(12)θ的最大似然估计量为
由于对任意实数x有P
,其中X1,X2,…,
Xn独立同分布,且数学期望为θ,方差为θ2,所以由独立同分布中心极限定理知
(Φ(x)是N(0,1)的分布函数).
由此得到
近似服从