导数的几何意义
【主要内容】
设函数f(x)在点x0处可导,则f′(x0)是曲线y=f(x)在点(x0,y0)(y0=f(x0))处切线的斜率.
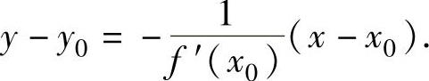
曲线y=f(x)在点(x0,y0)处的切线方程为
y-y0=f′(x0)(x-x0).
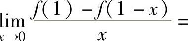
当f′(x0)≠0时,曲线y=f(x)在点(x0,y0)处的法线方程为

注 (ⅰ)如果f′(x0)=∞,则曲线y=f(x)在点(x0,y0)处的切线方程为x=x0;如果f′(x0)=0,则曲线y=f(x)在点(x0,y0)处的法线方程为x=x0.
(ⅱ)曲线y=f(x)在点(x0,y0)处有切线的充分必要条件是f(x)在点x0处可导或导数为∞.
【典型例题】
例1.9.1 设函数f(x)=xn(n为正整数),且曲线y=f(x)在点(1,1)处的切线与x轴交点的横坐标为ξn,求极限
精解 算出曲线y=xn在点(1,1)处的切线方程以及ξn后即可算出极限
由于(xn)′x=1=n,所以曲线y=xn在点(1,1)处的切线方程为
y-1=n(x-1),(1)
它与x轴交点的横坐标
(即在式(1)中令y=0,解出的x).
于是
例1.9.2 设函数f(x)=(x2-x-2)x3-x,求曲线y=f(x)上不存在切线的点.
精解 首先注意:函数φ(x)=x仅在点x=0处不可导,即φ′(0)不存在,但不为∞;函数xx处处可导.
于是,f(x)=(x2-x-2)x3-x=[(x-2)(x+1)x+1]xx-1仅在点x=0,1两点处不可导,即f′(0),f′(1)都不存在,但都不为∞.所以曲线y=f(x)仅在点(0,0)和点(1,0)处不存在切线.
例1.9.3 设周期为4的周期函数f(x)在(-∞,+∞)上可导,且lim(https://www.daowen.com)
x

,求曲线在点(5,f(5))处的法线斜率.
精解 由于法线斜率为
,所以只要算出f′(5)即可.
由
可知,曲线y=f(x)在点(5,f(5))的法线斜率为
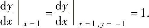
例1.9.4 设曲线C:y=x3-3x2+5的切线l与直线x+9y=1垂直,求l的方程.
精解 设切点为(x0,y0)(其中y0=x30-3x20+5),只要算出x0,就可确定l的方程.由于(x0,y0)满足

由式(2)得 x20-2x0-3=0,即x0=-1,3.将它代入式(1)对应得y0=1,5.所以l的方程为
y-1=9(x+1)及y-5=9(x-3),即y=9x+10及y=9x-22.
注 计算曲线y=f(x)的切线方程时,如果未知切点坐标,则总是设切点坐标为(x0,f(x0)),然后计算x0.
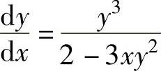
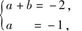
例1.9.5 设两曲线y=x2+ax+b,2y=-1+xy3相切于点(1,-1),求常数a,b及公切线.
精解 由于两曲线相切于点(1,-1),所以a,b应满足

相同的切线斜率,其中,
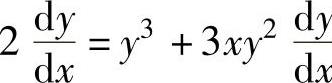
是方程2y=-1+xy3两边对x求导所得)
其中,(x2+ax+b)′x=1=2+a,此外,方程2y=-1+xy3两边对x求导得
y,即
,
所以
将它们代入上面所列方程组得
即 a=b=-1.
并且公切线方程为
y+1=1·(x-1), 即 y=x-2.